See also the Thematic Series:
Supramolecular chemistry II
Superstructures with cyclodextrins: Chemistry and applications IV
Beilstein J. Org. Chem. 2009, 5, No. 76, doi:10.3762/bjoc.5.76
Beilstein J. Org. Chem. 2009, 5, No. 41, doi:10.3762/bjoc.5.41
Graphical Abstract
Figure 1: Octaaminocryptand with p-xylyl spacers L1, with m-xylyl spacers L2.
Figure 2: ORTEP diagram of the [H6L1]6+ with encapsulated ClO4− (40% probability factor for the thermal ellip...
Figure 3: (a) Mercury diagram depicting the interactions of the encapsulated ClO4− within the [H6L1]6+ and th...
Figure 4: ORTEP diagram with atom numbering scheme depicting the octaprotonated L1 with disordered HSO4− mono...
Figure 5: Mercury diagram depicting the encapsulation of disordered hydrogen sulfate in the cavity of [H8L1]8+...
Figure 6: Interactions of the protonated amino nitrogen centers of the [H8L1]8+ moiety with the surrounding h...
Figure 7: ORTEP diagram depicting the octaprotonated [H8L1]8+ moiety with the encapsulated disordered HSiF6− ...
Figure 8: Mercury diagram depicting the encapsulation of the disordered HSiF6− inside the [H8L1]8+ moiety alo...
Figure 9: Mercury diagram depicting the interaction of the [H8L1]8+ with the surrounding molecules via N–H···...
Beilstein J. Org. Chem. 2009, 5, No. 77, doi:10.3762/bjoc.5.77
Graphical Abstract
Scheme 1: Component building blocks of the supramolecular assembly in I and II.
Figure 1: Fragment of the continuous coordination scheme in I, forming a corrugated layer that is aligned per...
Figure 2: Space-filling representation of the hydrogen-bonded heteromolecular network in II. Note that every ...
Beilstein J. Org. Chem. 2009, 5, No. 78, doi:10.3762/bjoc.5.78
Graphical Abstract
Figure 1: Structural formula of the siderophore enterobactine.
Scheme 1: Preparation of the compound 1a-H3 by utilization of a multiple Claisen-rearrangement.
Figure 2: 1H NMR spectra (300 MHz, CDCl3) of the ether compound 4 (top) and the ligand 1a-H3 (bottom).
Figure 3: Positive ESI MS of [(1a)La] in chloroform showing the peaks of {K[(1a)La]}+ (m/z = 1600.8) as well ...
Figure 4: CD and UV absorption titration curves for complexation of ligand 1a-H3 with lanthanum(III)nitrate h...
Figure 5: Titration curve observed for ligand 1a-H3 upon addition of lanthanum(III) nitrate hexahydrate.
Figure 6: Molecular structures of the Λ2 (left) and Δ2 (right) isomers of complex 1b·La calculated by using B...
Figure 7: UV and CD spectra of the complex (Λ)-1·La. Blue and violet curve: experimentally determined spectra...
Beilstein J. Org. Chem. 2009, 5, No. 79, doi:10.3762/bjoc.5.79
Graphical Abstract
Figure 1: (Top) Tetraimide cavitand 1, the dimeric capsule 1.1 and its cartoon representation. (Bottom) The s...
Figure 2: Room temperature fluorescence spectra at λexc = 318 nm for 10 µM mesitylene solutions of 4,4′-dimet...
Figure 3: (Top) Glycouril 7, the extended capsule 1.74.1, (only one enantiomeric arrangement is shown) and it...
Figure 4: Room temperature emission spectra for 10 µM solutions of 4-ethyl-4′-ethylstilbene (3) in the capsul...
Beilstein J. Org. Chem. 2010, 6, No. 3, doi:10.3762/bjoc.6.3
Graphical Abstract
Figure 1: Self-assembly of zwitterion 1 to give dimer 1·1 and self-assembly of zwitterion 2 to give dimer 2·2...
Scheme 1: Synthesis of zwitterion 2.
Scheme 2: Synthesis of compound 2·H+.
Figure 2: 1H NMR spectra of zwitterion 2 (bottom) and its protonated form 2·H+ (top).
Figure 3: Part of the 1H NMR spectrum of 2 in [D6]DMSO showing the complexation-induced shifts of the indole ...
Figure 4: Representative binding isotherm of the aromatic proton d (left) and the indole NH proton (right).
Figure 5: Binding isotherm of the guanidinium NH2 protons.
Figure 6: Crystal structure of dimer 2·2 with hydrogen bond distances (Å) and dihedral angles.
Figure 7: Side view of dimer 2·2 in the solid state.
Figure 8: Part of the crystal lattice of zwitterion 2.
Scheme 3: An attractive H-bond in 1 (left) is replaced by a repulsive steric interaction in 2 (right).
Figure 9: Energy-minimized structure for dimer 2·2 with hydrogen bond distances (Å) and dihedral angles.
Beilstein J. Org. Chem. 2010, 6, No. 4, doi:10.3762/bjoc.6.4
Graphical Abstract
Scheme 1: The chemical structures of the salts 1–13.
Figure 1: X-ray structure of 4-IPhNH3Cl (1) with numbering for selected atoms (a) and the packing scheme view...
Figure 2: Interaction contacts in 4-IPhNH3Cl (1; a), 4-BrPhNH3Cl (2; b), 4-ClPhNH3Cl (3; c) and 4-FPhNH3Cl (4...
Figure 3: X-ray structure of 4-IPhNH3Br (5) with selected numbering scheme (a) and the packing scheme viewed ...
Figure 4: X-ray structure of 4-IPhNH3H2PO4 (6) with selected numbering scheme of the asymmetric unit and the ...
Figure 5: X-ray structure of 3-IPyBnCl (9) with the selected numbering scheme of the asymmetric unit (a) and ...
Figure 6: X-ray structure of 3-IPyHCl (10) with the selected numbering scheme of the asymmetric unit (a) and ...
Figure 7: X-ray structure of 3-IPyH-5-NIPA (13) with selected numbering scheme of the asymmetric unit (a). A ...
Beilstein J. Org. Chem. 2010, 6, No. 5, doi:10.3762/bjoc.6.5
Graphical Abstract
Figure 1: Schematic representation of the design of a host–guest complex based on antiparallel β-sheet geomet...
Figure 2: Molecular structures of the two designed receptors 1 and 2 having different relative orientations o...
Figure 3: CAChe minimized structures for the “endo” complexes formed between receptors 1 (a) and 2 (b) and th...
Scheme 1: Synthesis of tetraprotected bis(alanyl)benzophenones 3 from L-phenylalanine 7.
Scheme 2: Deprotection reactions of bis(alanyl)benzophenone units 3.
Scheme 3: Synthesis of the linear tetrapeptides 15 and 17 as mixtures of diastereoisomers.
Figure 4: a) Molecular structures of the two major diastereoisomers of the cyclic receptors obtained from the...
Figure 5: Reverse-phase HPLC chromatograms of the purified fraction obtained from macrocyclization reactions ...
Figure 6: Variable-temperature 1H NMR experiments of 1 in chloroform-d solution. The proton signals that appe...
Figure 7: Small fraction of the columnar arrangement observed in solid-state packing of receptor 1. Two adjac...
Figure 8: Molecular structures of the guests used in the binding experiments.
Figure 9: Selected region of the variable-concentration 1H NMR spectra acquired using chloroform-d solutions ...
Figure 10: a) Selected region of a series 1H NMR spectra acquired during titration of receptor 2 with n-C6H13-...
Figure 11: CAChe minimized structures for two possible binding geometries, a) exo and b) endo complexes formed...
Beilstein J. Org. Chem. 2010, 6, No. 9, doi:10.3762/bjoc.6.9
Graphical Abstract
Figure 1: Examples of hydrogen bonds in the complex of a) galactose-binding protein with D-glucose [3], b) Amara...
Figure 2: Structures of receptors 1–5.
Figure 3: Structures of sugars investigated in this study.
Scheme 1: Reaction conditions: a) AlCl3, CH3CH2Br, 0 °C to r. t., 12 h (85%) [47]; b) 33% HBr in CH3COOH, ZnBr2, ...
Figure 4: Structures of the recently described phenanthroline/aminopyridine-based receptors showing α- vs. β-...
Figure 5: Partial 1H NMR spectra (400 MHz; CDCl3) of receptor 4 (a), 5 (b), 1 (c), and 3 (d) before (bottom) ...
Figure 6: Partial 1H NMR spectra (400 MHz, CDCl3) of 5 after addition of (from bottom to top) 0.00–1.63 equiv...
Figure 7: Energy-minimized structure of the 1:1 a) and 2:1 complex b) formed between receptor 4 and β-galacto...
Figure 8: Examples of hydrogen bonding motifs indicated by molecular modeling studies in the 1:1 complex betw...
Beilstein J. Org. Chem. 2010, 6, No. 10, doi:10.3762/bjoc.6.10
Graphical Abstract
Scheme 1: Bis(resorcinarene) esters of 4,4′- and 4,6′-(2,2′-bipyridyl)dicarboxylic acid, 1 and 2, respectivel...
Scheme 2: Simple esters used as model substrates in this study.
Figure 1: Qualitative binding studies of 2 and the model substrates 3–7. 1H NMR spectra (500.1 MHz, 298 K in ...
Figure 2: 1H NMR titration (500.1 MHz, 298 K, c0(2) = 5.3 mmol/L) of 2 with increasing amounts of ethyl aceta...
Scheme 3: Binding model of the negative cooperative allosteric behaviour of 2.
Beilstein J. Org. Chem. 2010, 6, No. 14, doi:10.3762/bjoc.6.14
Graphical Abstract
Scheme 1: Two synthetic procedures for the preparation of benzo-21-crown-7 (C7) and its formyl analogue 4: To...
Scheme 2: Molecular structures of guests 5-H•PF6, 6-H•PF6, and 7-H•PF6, and their complexes with 2-(n), C7 an...
Figure 1: 1H NMR spectra (500 MHz, 298 K, CDCl3:CD3CN = 2:1, 10.0 mM) of 5-H•PF6 (a), mixture of 5-H•PF6 and ...
Figure 2: ESI-FTICR mass spectrum of a mixture of 5-H•PF6 and 2-(n) in dichloromethane.
Figure 3: 1H NMR spectra (500 MHz, 298 K, CDCl3, 10.0 mM) of (a) C7, (b) C7 in the presence of 1 eq. KPF6, (c...
Figure 4: 1H NMR spectra (500 MHz, 298 K, CDCl3:CD3CN = 2:1, 10.0 mM) of (a) 6-HoPF6, (b) mixture of 6-HoPF6 ...
Figure 5: 1H NMR spectra (500 MHz, 298 K, CDCl3:CD3CN = 2:1, 10.0 mM) of (a) 6-H•PF6, equimolar mixtures of (b...
Beilstein J. Org. Chem. 2010, 6, No. 32, doi:10.3762/bjoc.6.32
Graphical Abstract
Figure 1: Biologically important amines and quaternary ammonium salts: histamine (1), dopamine (2) and acetyl...
Figure 2: Crown ether 18-crown-6.
Figure 3: Conformations of 18-crown-6 (4) in solvents of different polarity.
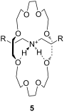
Figure 4: Binding topologies of the ammonium ion depending on the crown ring size.
Figure 5: A “pseudorotaxane” structure consisting of 24-crown-8 and a secondary ammonium ion (5); R = Ph.
Figure 6: Typical examples of azacrown ethers, cryptands and related aza macrocycles.
Figure 7: Binding of ammonium to azacrown ethers and cryptands [111-113].
Figure 8: A 19-crown-6-ether with decalino blocking groups (11) and a thiazole-dibenzo-18-crown-6-ether (12).
Figure 9: 1,3-Bis(6-oxopyridazin-1-yl)propane derivatives 13 and 14 by Campayo et al.
Figure 10: Fluorescent azacrown-PET-sensors based on coumarin.
Figure 11: Two different pyridino-cryptands (17 and 18) compared to a pyridino-crown (19); chiral ammonium ion...
Figure 12: Pyridino-18-crown-6 ligand (21), a similar acridino-18-crown-6 ligand (22) and a structurally relat...
Figure 13: Ciral pyridine-azacrown ether receptors 24.
Figure 14: Chiral 15-crown-5 receptors 26 and an analogue 18-crown-6 ligand 27 derived from amino alcohols.
Figure 15: C2-symmetric chiral 18-crown-6 amino alcohol derivatives 28 and related macrocycles.
Figure 16: Macrocycles with diamide-diester groups (30).
Figure 17: C2-symmetric chiral aza-18-crown-6 ethers (31) with phenethylamine residues.
Figure 18: Chiral C-pivot p-methoxy-phenoxy-lariat ethers.
Figure 19: Chiral lariat crown ether 34.
Figure 20: Sucrose-based chiral crown ether receptors 36.
Figure 21: Permethylated fructooligosaccharide 37 showing induced-fit chiral recognition.
Figure 22: Biphenanthryl-18-crown-6 derivative 38.
Figure 23: Chiral lariat crown ethers derived from binol by Fuji et al.
Figure 24: Chiral phenolic crown ether 41 with “aryl chiral barriers” and guest amines.
Figure 25: Chiral bis-crown receptor 43 with a meso-ternaphthalene backbone.
Figure 26: Chromogenic pH-dependent bis-crown chemosensor 44 for diamines.
Figure 27: Triamine guests for binding to receptor 44.
Figure 28: Chiral bis-crown phenolphthalein chemosensors 46.
Figure 29: Crown ether amino acid 47.
Figure 30: Luminescent receptor 48 for bis-alkylammonium guests.
Figure 31: Luminescent CEAA (49a), a bis-CEAA receptor for amino acids (49b) and the structure of lysine bindi...
Figure 32: Luminescent CEAA tripeptide for binding small peptides.
Figure 33: Bis crown ether 51a self assembles co-operatively with C60-ammonium ion 51b.
Figure 34: Triptycene-based macrotricyclic dibenzo-[24]-crown-8 ether host 52 and guests.
Figure 35: Copper imido diacetic acid azacrown receptor 53a and the suggested His-Lys binding motif; a copper ...
Figure 36: Urea (54) and thiourea (55) benzo crown receptor for transport and extraction of amino acids.
Figure 37: Crown pyryliums ion receptors 56 for amino acids.
Figure 38: Ditopic sulfonamide bridged crown ether receptor 57.
Figure 39: Luminescent peptide receptor 58.
Figure 40: Luminescent receptor 59 for the detection of D-glucosamine hydrochloride in water/ethanol and lumin...
Figure 41: Guanidinium azacrown receptor 61 for simple amino acids and ditopic receptor 62 with crown ether an...
Figure 42: Chiral bicyclic guanidinium azacrown receptor 63 and similar receptor 64 for the enantioselective t...
Figure 43: Receptors for zwitterionic species based on luminescent CEAAs.
Figure 44: 1,10-Azacrown ethers with sugar podand arms and the anticancer agent busulfan.
Figure 45: Benzo-18-crown-6 modified β-cyclodextrin 69 and β-cyclodextrin functionalized with diaza-18-crown-6...
Figure 46: Receptors for colorimetric detection of primary and secondary ammonium ions.
Figure 47: Porphyrine-crown-receptors 72.
Figure 48: Porphyrin-crown ether conjugate 73 and fullerene-ammonium ion guest 74.
Figure 49: Calix[4]arene (75a), homooxocalix[4]arene (75b) and resorcin[4]arene (75c) compared (R = H, alkyl c...
Figure 50: Calix[4]arene and ammonium ion guest (R = H, alkyl, OAcyl etc.), possible binding sites; A: co-ordi...
Figure 51: Typical guests for studies with calixarenes and related molecules.
Figure 52: Lower rim modified p-tert-butylcalix[5]arenes 82.
Figure 53: The first example of a water soluble calixarene.
Figure 54: Sulfonated water soluble calix[n]arenes that bind ammonium ions.
Figure 55: Displacement assay for acetylcholine (3) with a sulfonato-calix[6]arene (84b).
Figure 56: Amino acid inclusion in p-sulfonatocalix[4]arene (84a).
Figure 57: Calixarene receptor family 86 with upper and lower rim functionalization.
Figure 58: Calix[6]arenes 87 with one carboxylic acid functionality.
Figure 59: Sulfonated calix[n]arenes with mono-substitution at the lower rim systematically studied on their r...
Figure 60: Cyclotetrachromotropylene host (91) and its binding to lysine (81c).
Figure 61: Calixarenes 92 and 93 with phosphonic acids groups.
Figure 62: Calix[4]arene tetraphosphonic acid (94a) and a double bridged analogue (94b).
Figure 63: Calix[4]arene tetraphosphonic acid ester (92c) for surface recognition experiments.
Figure 64: Calixarene receptors 95 with α-aminophosphonate groups.
Figure 65: A bridged homocalix[3]arene 95 and a distally bridged homocalix[4]crown 96.
Figure 66: Homocalix[3]arene ammonium ion receptor 97a and the Reichardt’s dye (97b) for colorimetric assays.
Figure 67: Chromogenic diazo-bridged calix[4]arene 98.
Figure 68: Calixarene receptor 99 by Huang et al.
Figure 69: Calixarenes 100 reported by Parisi et al.
Figure 70: Guest molecules for inclusion in calixarenes 100: DAP × 2 HCl (101a), APA (101b) and Lys-OMe × 2 HC...
Figure 71: Different N-linked peptido-calixarenes open and with glycol chain bridges.
Figure 72: (S)-1,1′-Bi-2-naphthol calixarene derivative 104 published by Kubo et al.
Figure 73: A chiral ammonium-ion receptor 105 based on the calix[4]arene skeleton.
Figure 74: R-/S-phenylalaninol functionalized calix[6]arenes 106a and 106b.
Figure 75: Capped homocalix[3]arene ammonium ion receptor 107.
Figure 76: Two C3 symmetric capped calix[6]arenes 108 and 109.
Figure 77: Phosphorous-containing rigidified calix[6]arene 110.
Figure 78: Calix[6]azacryptand 111.
Figure 79: Further substituted calix[6]azacryptands 112.
Figure 80: Resorcin[4]arene (75c) and the cavitands (113).
Figure 81: Tetrasulfonatomethylcalix[4]resorcinarene (114).
Figure 82: Resorcin[4]arenes (115a/b) and pyrogallo[4]arenes (115c, 116).
Figure 83: Displacement assay for acetylcholine (3) with tetracyanoresorcin[4]arene (117).
Figure 84: Tetramethoxy resorcinarene mono-crown-5 (118).
Figure 85: Components of a resorcinarene based displacement assay for ammonium ions.
Figure 86: Chiral basket resorcin[4]arenas 121.
Figure 87: Resorcinarenes with deeper cavitand structure (122).
Figure 88: Resorcinarene with partially open deeper cavitand structure (123).
Figure 89: Water-stabilized deep cavitands with partially structure (124, 125).
Figure 90: Charged cavitands 126 for tetralkylammonium ions.
Figure 91: Ditopic calix[4]arene receptor 127 capped with glycol chains.
Figure 92: A calix[5]arene dimer for diammonium salt recognition.
Figure 93: Calixarene parts 92c and 129 for the formation molecular capsules.
Figure 94: Encapsulation of a quaternary ammonium cation by two resorcin[4]arene molecules (NMe4+@[75c]2 × Cl−...
Figure 95: Encapsulation of a quaternary ammonium cation by six resorcin[4]arene molecules (NMe3D+@[130]6 × Cl−...
Figure 96: Structure and schematic of cucurbit[6]uril (CB[6], 131a).
Figure 97: Cyclohexanocucurbit[6]uril (CB′[6], 132) and the guest molecule spermine (133).
Figure 98: α,α,δ,δ-Tetramethylcucurbit[6]uril (134).
Figure 99: Structure of the cucurbituril-phthalhydrazide analogue 135.
Figure 100: Organic cavities for the displacement assay for amine differentiation.
Figure 101: Displacement assay methodology for diammonium- and related guests involving cucurbiturils and some ...
Figure 102: Nor-seco-Cucurbituril (±)-bis-ns-CB[6] (140) and guest molecules.
Figure 103: The cucurbit[6]uril based complexes 141 for chiral discrimination.
Figure 104: Cucurbit[7]uril (131c) and its ferrocene guests (142) opposed.
Figure 105: Cucurbit[7]uril (131c) guest inclusion and representative guests.
Figure 106: Cucurbit[7]uril (131c) binding to succinylcholine (145) and different bis-ammonium and bis-phosphon...
Figure 107: Paraquat-cucurbit[8]uril complex 149.
Figure 108: Gluconuril-based ammonium receptors 150.
Figure 109: Examples of clefts (151a), tweezers (151b, 151c, 151d) and clips (151e).
Figure 110: Kemp’s triacid (152a), on example of Rebek’s receptors (152b) and guests.
Figure 111: Amino acid receptor (154) by Rebek et al.
Figure 112: Hexagonal lattice designed hosts by Bell et al.
Figure 113: Bell’s amidinium receptor (156) and the amidinium ion (157).
Figure 114: Aromatic phosphonic acids.
Figure 115: Xylene phosphonates 159 and 160a/b for recognition of amines and amino alcohols.
Figure 116: Bisphosphonate recognition motif 161 for a colorimetric assay with alizarin complexone (163) for ca...
Figure 117: Bisphosphonate/phosphate clip 164 and bisphosphonate cleft 165.
Figure 118: N-Methylpyrazine 166a, N-methylnicotinamide iodide (166b) and NAD+ (166c).
Figure 119: Bisphosphate cavitands.
Figure 120: Bisphosphonate 167 of Schrader and Finocchiaro.
Figure 121: Tweezer 168 for noradrenaline (80b).
Figure 122: Different tripods and heparin (170).
Figure 123: Squaramide based receptors 172.
Figure 124: Cage like NH4+ receptor 173 of Kim et al.
Figure 125: Ammonium receptors 174 of Chin et al.
Figure 126: 2-Oxazolin-based ammonium receptors 175a–d and 176 by Ahn et al.
Figure 127: Racemic guest molecules 177.
Figure 128: Tripods based on a imidazole containing macrocycle (178) and the guest molecules employed in the st...
Figure 129: Ammonium ion receptor 180.
Figure 130: Tetraoxa[3.3.3.3]paracyclophanes 181 and a cyclophanic tetraester (182).
Figure 131: Peptidic bridged paraquat-cyclophane.
Figure 132: Shape-selective noradrenaline host.
Figure 133: Receptor 185 for binding of noradrenaline on surface layers from Schrader et al.
Figure 134: Tetraphosphonate receptor for binding of noradrenaline.
Figure 135: Tetraphosphonate 187 of Schrader and Finocchiaro.
Figure 136: Zinc-Porphyrin ammonium-ion receptors 188 and 189 of Mizutani et al.
Figure 137: Zinc porphyrin receptor 190.
Figure 138: Zinc porphyrin receptors 191 capable of amino acid binding.
Figure 139: Zinc-porphyrins with amino acid side chains for stereoinduction.
Figure 140: Bis-zinc-bis-porphyrin based on Tröger’s base 193.
Figure 141: BINAP-zinc-prophyrin derivative 194 and it’s guests.
Figure 142: Bisaryl-linked-zinc-porphyrin receptors.
Figure 143: Bis-zinc-porphyrin 199 for diamine recognition and guests.
Figure 144: Bis-zinc-porphyrin crown ether 201.
Figure 145: Bis-zinc-porphyrin 202 for stereodiscrimination (L = large substituent; S = small substituent).
Figure 146: Bis-zinc-porphyrin[3]rotaxane and its copper complex and guests.
Figure 147: Dien-bipyridyl ligand 206 for co-ordination of two metal atoms.
Figure 148: The ligand and corresponding tetradentate co-complex 207 serving as enantioselective receptor for a...
Figure 149: Bis(oxazoline)–copper(II) complex 208 for the recognition of amino acids in aqueous solution.
Figure 150: Zinc-salen-complexes 209 for the recognition tertiary amines.
Figure 151: Bis(oxazoline)–copper(II) 211 for the recognition of amino acids in aqueous solution.
Figure 152: Zn(II)-complex of a C2 terpyridine crown ether.
Figure 153: Displacement assay and receptor for aspartate over glutamate.
Figure 154: Chiral complex 214 for a colorimetric displacement assay for amino acids.
Figure 155: Metal complex receptor 215 with tripeptide side arms.
Figure 156: A sandwich complex 216 and its displaceable dye 217.
Figure 157: Lanthanide complexes 218–220 for amino acid recognition.
Figure 158: Nonactin (221), valinomycin (222) and vancomycin (223).
Figure 159: Monesin (224a) and a chiral analogue for enantiodiscrimination of ammonium guests (224b).
Figure 160: Chiral podands (226) compared to pentaglyme-dimethylether (225) and 18-crown-6 (4).
Figure 161: Lasalocid A (228).
Figure 162: Lasalocid derivatives (230) of Sessler et al.
Figure 163: The Coporphyrin I tetraanion (231).
Figure 164: Linear and cyclic peptides for ammonium ion recognition.
Figure 165: Cyclic and bicyclic depsipeptides for ammonium ion recognition.
Figure 166: α-Cyclodextrin (136a) and novocaine (236).
Figure 167: Helical diol receptor 237 by Reetz and Sostmann.
Figure 168: Ammonium binding spherand by Cram et al. (238a) and the cyclic[6]metaphenylacetylene 238b in compar...
Figure 169: Receptor for peptide backbone and ammonium binding (239).
Figure 170: Anion sensor principle with 3-hydroxy-2-naphthanilide of Jiang et al.
Figure 171: 7-bromo-3-hydroxy-N-(2-hydroxyphenyl)naphthalene 2-carboxamide (241) and its amine binding.
Figure 172: Naturally occurring catechins with affinity to quaternary ammonium ions.
Figure 173: Spiropyran (244) and merocyanine form (244a) of the amino acid receptors of Fuji et al.
Figure 174: Coumarin aldehyde (245) and its iminium species with amino acid bound (245a) by Glass et al.
Figure 175: Coumarin aldehyde appended with boronic acid.
Figure 176: Quinolone aldehyde dimers by Glass et al.
Figure 177: Chromogenic ammonium ion receptors with trifluoroacetophenone recognition motifs.
Figure 178: Chromogenic ammonium ion receptor with trifluoroacetophenone recognition motif bound on different m...
Beilstein J. Org. Chem. 2010, 6, No. 50, doi:10.3762/bjoc.6.50
Graphical Abstract
Figure 1: Structures of thiazine-1,1-dioxide heterocycle (A) and sulfonamide function (B).
Figure 2: Structures of anion receptors 1–4.
Scheme 1: Syntheses of 1 and 2. Reaction conditions: (a) (X = CH) NBS, TsOH, CH3CN, reflux or (X = N) Br2, Al...
Figure 3: Stick representations of the X-ray crystal structures of (a) receptor 1 and (b) receptor 2. Non-aci...
Beilstein J. Org. Chem. 2010, 6, No. 66, doi:10.3762/bjoc.6.66
Graphical Abstract
Figure 1: Structures of monomers 1–7 and chain transfer agent 8 used in the RAFT polymerizations.
Figure 2: a) Second derivative UV–vis spectra [17-19] observed during a full titration of a stock solution of RAFT c...
Figure 3: Isothermal calorimetric binding curves for selected polymer/protein host–guest pairs. a) Typical bi...
Figure 4: Graphical illustration of the potential binding mode on hemoglobin tetramer (represented as electro...