Natural products in synthesis and biosynthesis

editorImage
Editor: Dr. Jeroen S. Dickschat
Technische Universität Braunschweig
 
This is the second Thematic Series in this journal focused on natural products. While the first series summarized recent research work on the biosynthesis and function of natural products, the present one deals with synthetic and biosynthetic aspects. Of course, the chemistry of nature and as it is used by chemists is one and the same and makes use of the same intrinsic reactivity of molecules. It is fascinating to see that a particular chemical reaction, believed to be invented by man, is in fact already used for millions of years by Mother Nature. An interesting example is the discovery of the Diels–Alder reaction in the 1920s and its later enhancement into an enantioselective reaction by the development of chiral catalysts. But a Diels–Alder reaction also occurs in the biosynthesis of lovastatin and is likely catalysed by a Diels–Alderase, a natural analogue of man-made chiral catalysts.

See also the Thematic Series:
Natural products in synthesis and biosynthesis II

See videos about natural products at Beilstein TV.

Back to all Issues

Natural products in synthesis and biosynthesis

  • Jeroen S. Dickschat

Beilstein J. Org. Chem. 2013, 9, 1897–1898, doi:10.3762/bjoc.9.223

Graphical Abstract
PDF
Album
Editorial
Published 19 Sep 2013

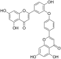
Total synthesis of ochnaflavone

  • Monica M. Ndoile and
  • Fanie R. van Heerden

Beilstein J. Org. Chem. 2013, 9, 1346–1351, doi:10.3762/bjoc.9.152

Graphical Abstract
PDF
Album
Full Research Paper
Published 08 Jul 2013

Synthesis and biological activities of the respiratory chain inhibitor aurachin D and new ring versus chain analogues

  • Xu-Wen Li,
  • Jennifer Herrmann,
  • Yi Zang,
  • Philippe Grellier,
  • Soizic Prado,
  • Rolf Müller and
  • Bastien Nay

Beilstein J. Org. Chem. 2013, 9, 1551–1558, doi:10.3762/bjoc.9.176

Graphical Abstract
PDF
Album
Supp Info
Full Research Paper
Published 31 Jul 2013

New tridecapeptides of the theonellapeptolide family from the Indonesian sponge Theonella swinhoei

  • Annamaria Sinisi,
  • Barbara Calcinai,
  • Carlo Cerrano,
  • Henny A. Dien,
  • Angela Zampella,
  • Claudio D’Amore,
  • Barbara Renga,
  • Stefano Fiorucci and
  • Orazio Taglialatela-Scafati

Beilstein J. Org. Chem. 2013, 9, 1643–1651, doi:10.3762/bjoc.9.188

Graphical Abstract
PDF
Album
Supp Info
Full Research Paper
Published 13 Aug 2013

Synthesis of the reported structure of piperazirum using a nitro-Mannich reaction as the key stereochemical determining step

  • James C. Anderson,
  • Andreas S. Kalogirou,
  • Michael J. Porter and
  • Graham J. Tizzard

Beilstein J. Org. Chem. 2013, 9, 1737–1744, doi:10.3762/bjoc.9.200

Graphical Abstract
PDF
Album
Supp Info
Letter
Published 23 Aug 2013

Activation of cryptic metabolite production through gene disruption: Dimethyl furan-2,4-dicarboxylate produced by Streptomyces sahachiroi

  • Dinesh Simkhada,
  • Huitu Zhang,
  • Shogo Mori,
  • Howard Williams and
  • Coran M. H. Watanabe

Beilstein J. Org. Chem. 2013, 9, 1768–1773, doi:10.3762/bjoc.9.205

Graphical Abstract
PDF
Album
Supp Info
Letter
Published 29 Aug 2013

Synthesis and antibacterial activity of monocyclic 3-carboxamide tetramic acids

  • Yong-Chul Jeong and
  • Mark G. Moloney

Beilstein J. Org. Chem. 2013, 9, 1899–1906, doi:10.3762/bjoc.9.224

Graphical Abstract
PDF
Album
Supp Info
Full Research Paper
Published 19 Sep 2013

Stereoselective synthesis of the C79–C97 fragment of symbiodinolide

  • Hiroyoshi Takamura,
  • Takayuki Fujiwara,
  • Isao Kadota and
  • Daisuke Uemura

Beilstein J. Org. Chem. 2013, 9, 1931–1935, doi:10.3762/bjoc.9.228

Graphical Abstract
PDF
Album
Supp Info
Letter
Published 25 Sep 2013

A concise enantioselective synthesis of the guaiane sesquiterpene (−)-oxyphyllol

  • Martin Zahel and
  • Peter Metz

Beilstein J. Org. Chem. 2013, 9, 2028–2032, doi:10.3762/bjoc.9.239

Graphical Abstract
PDF
Album
Supp Info
Full Research Paper
Published 08 Oct 2013

The chemistry of isoindole natural products

  • Klaus Speck and
  • Thomas Magauer

Beilstein J. Org. Chem. 2013, 9, 2048–2078, doi:10.3762/bjoc.9.243

Graphical Abstract
PDF
Album
Video
Review
Published 10 Oct 2013

Flexible synthesis of anthracycline aglycone mimics via domino carbopalladation reactions

  • Markus Leibeling and
  • Daniel B. Werz

Beilstein J. Org. Chem. 2013, 9, 2194–2201, doi:10.3762/bjoc.9.258

Graphical Abstract
PDF
Album
Supp Info
Full Research Paper
Published 24 Oct 2013

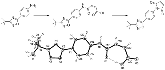
Synthesis and characterization of novel bioactive 1,2,4-oxadiazole natural product analogs bearing the N-phenylmaleimide and N-phenylsuccinimide moieties

  • Catalin V. Maftei,
  • Elena Fodor,
  • Peter G. Jones,
  • M. Heiko Franz,
  • Gerhard Kelter,
  • Heiner Fiebig and
  • Ion Neda

Beilstein J. Org. Chem. 2013, 9, 2202–2215, doi:10.3762/bjoc.9.259

Graphical Abstract
PDF
Album
Full Research Paper
Published 25 Oct 2013

Elucidation of the regio- and chemoselectivity of enzymatic allylic oxidations with Pleurotus sapidus – conversion of selected spirocyclic terpenoids and computational analysis

  • Verena Weidmann,
  • Mathias Schaffrath,
  • Holger Zorn,
  • Julia Rehbein and
  • Wolfgang Maison

Beilstein J. Org. Chem. 2013, 9, 2233–2241, doi:10.3762/bjoc.9.262

Graphical Abstract
PDF
Album
Supp Info
Full Research Paper
Published 29 Oct 2013

Cyclopamine analogs bearing exocyclic methylenes are highly potent and acid-stable inhibitors of hedgehog signaling

  • Johann Moschner,
  • Anna Chentsova,
  • Nicole Eilert,
  • Irene Rovardi,
  • Philipp Heretsch and
  • Athanassios Giannis

Beilstein J. Org. Chem. 2013, 9, 2328–2335, doi:10.3762/bjoc.9.267

Graphical Abstract
PDF
Album
Supp Info
Full Research Paper
Published 31 Oct 2013

Towards stereochemical control: A short formal enantioselective total synthesis of pumiliotoxins 251D and 237A

  • Jie Zhang,
  • Hong-Kui Zhang and
  • Pei-Qiang Huang

Beilstein J. Org. Chem. 2013, 9, 2358–2366, doi:10.3762/bjoc.9.271

Graphical Abstract
PDF
Album
Supp Info
Full Research Paper
Published 05 Nov 2013

A protecting group-free synthesis of the Colorado potato beetle pheromone

  • Zhongtao Wu,
  • Manuel Jäger,
  • Jeffrey Buter and
  • Adriaan J. Minnaard

Beilstein J. Org. Chem. 2013, 9, 2374–2377, doi:10.3762/bjoc.9.273

Graphical Abstract
PDF
Album
Supp Info
Letter
Published 06 Nov 2013

Biosynthesis of rare hexoses using microorganisms and related enzymes

  • Zijie Li,
  • Yahui Gao,
  • Hideki Nakanishi,
  • Xiaodong Gao and
  • Li Cai

Beilstein J. Org. Chem. 2013, 9, 2434–2445, doi:10.3762/bjoc.9.281

Graphical Abstract
PDF
Album
Review
Published 12 Nov 2013

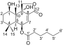
Synthesis of the spiroketal core of integramycin

  • Evgeny. V. Prusov

Beilstein J. Org. Chem. 2013, 9, 2446–2450, doi:10.3762/bjoc.9.282

Graphical Abstract
PDF
Album
Supp Info
Letter
Published 12 Nov 2013
Graphical Abstract
PDF
Album
Supp Info
Full Research Paper
Published 18 Nov 2013

The regulation and biosynthesis of antimycins

  • Ryan F. Seipke and
  • Matthew I. Hutchings

Beilstein J. Org. Chem. 2013, 9, 2556–2563, doi:10.3762/bjoc.9.290

Graphical Abstract
PDF
Album
Review
Published 19 Nov 2013

Stereodivergent synthesis of jaspine B and its isomers using a carbohydrate-derived alkoxyallene as C3-building block

  • Volker M. Schmiedel,
  • Stefano Stefani and
  • Hans-Ulrich Reissig

Beilstein J. Org. Chem. 2013, 9, 2564–2569, doi:10.3762/bjoc.9.291

Graphical Abstract
PDF
Album
Supp Info
Full Research Paper
Published 19 Nov 2013

The myxocoumarins A and B from Stigmatella aurantiaca strain MYX-030

  • Tobias A. M. Gulder,
  • Snežana Neff,
  • Traugott Schüz,
  • Tammo Winkler,
  • René Gees and
  • Bettina Böhlendorf

Beilstein J. Org. Chem. 2013, 9, 2579–2585, doi:10.3762/bjoc.9.293

Graphical Abstract
PDF
Album
Supp Info
Full Research Paper
Published 20 Nov 2013

Garner’s aldehyde as a versatile intermediate in the synthesis of enantiopure natural products

  • Mikko Passiniemi and
  • Ari M.P. Koskinen

Beilstein J. Org. Chem. 2013, 9, 2641–2659, doi:10.3762/bjoc.9.300

Graphical Abstract
PDF
Album
Review
Published 26 Nov 2013

Halogenated volatiles from the fungus Geniculosporium and the actinomycete Streptomyces chartreusis

  • Tao Wang,
  • Patrick Rabe,
  • Christian A. Citron and
  • Jeroen S. Dickschat

Beilstein J. Org. Chem. 2013, 9, 2767–2777, doi:10.3762/bjoc.9.311

Graphical Abstract
PDF
Album
Supp Info
Full Research Paper
Published 03 Dec 2013

[2H26]-1-epi-Cubenol, a completely deuterated natural product from Streptomyces griseus

  • Christian A. Citron and
  • Jeroen S. Dickschat

Beilstein J. Org. Chem. 2013, 9, 2841–2845, doi:10.3762/bjoc.9.319

Graphical Abstract
PDF
Album
Full Research Paper
Published 10 Dec 2013

SF002-96-1, a new drimane sesquiterpene lactone from an Aspergillus species, inhibits survivin expression

  • Silke Felix,
  • Louis P. Sandjo,
  • Till Opatz and
  • Gerhard Erkel

Beilstein J. Org. Chem. 2013, 9, 2866–2876, doi:10.3762/bjoc.9.323

Graphical Abstract
PDF
Album
Supp Info
Full Research Paper
Published 13 Dec 2013

Studies toward bivalent κ opioids derived from salvinorin A: heteromethylation of the furan ring reduces affinity

  • Thomas A. Munro,
  • Wei Xu,
  • Douglas M. Ho,
  • Lee-Yuan Liu-Chen and
  • Bruce M. Cohen

Beilstein J. Org. Chem. 2013, 9, 2916–2924, doi:10.3762/bjoc.9.328

Graphical Abstract
PDF
Album
Supp Info
Full Research Paper
Published 20 Dec 2013

Synthesis and determination of the absolute configuration of (−)-(5R,6Z)-dendrolasin-5-acetate from the nudibranch Hypselodoris jacksoni

  • I. Wayan Mudianta,
  • Victoria L. Challinor,
  • Anne E. Winters,
  • Karen L. Cheney,
  • James J. De Voss and
  • Mary J. Garson

Beilstein J. Org. Chem. 2013, 9, 2925–2933, doi:10.3762/bjoc.9.329

Graphical Abstract
PDF
Album
Supp Info
Full Research Paper
Published 23 Dec 2013

Synthesis of novel derivatives of 5-hydroxymethylcytosine and 5-formylcytosine as tools for epigenetics

  • Anna Chentsova,
  • Era Kapourani and
  • Athanassios Giannis

Beilstein J. Org. Chem. 2014, 10, 7–11, doi:10.3762/bjoc.10.2

Graphical Abstract
PDF
Album
Supp Info
Full Research Paper
Published 03 Jan 2014

Total synthesis of (+)-grandiamide D, dasyclamide and gigantamide A from a Baylis–Hillman adduct: A unified biomimetic approach

  • Andivelu Ilangovan and
  • Shanmugasundar Saravanakumar

Beilstein J. Org. Chem. 2014, 10, 127–133, doi:10.3762/bjoc.10.9

Graphical Abstract
PDF
Album
Supp Info
Full Research Paper
Published 10 Jan 2014

Physalin H from Solanum nigrum as an Hh signaling inhibitor blocks GLI1–DNA-complex formation

  • Midori A. Arai,
  • Kyoko Uchida,
  • Samir K. Sadhu,
  • Firoj Ahmed and
  • Masami Ishibashi

Beilstein J. Org. Chem. 2014, 10, 134–140, doi:10.3762/bjoc.10.10

Graphical Abstract
PDF
Album
Full Research Paper
Published 13 Jan 2014

Recent applications of the divinylcyclopropane–cycloheptadiene rearrangement in organic synthesis

  • Sebastian Krüger and
  • Tanja Gaich

Beilstein J. Org. Chem. 2014, 10, 163–193, doi:10.3762/bjoc.10.14

Graphical Abstract
PDF
Album
Review
Published 16 Jan 2014

Synthesis of the B-seco limonoid core scaffold

  • Hanna Bruss,
  • Hannah Schuster,
  • Rémi Martinez,
  • Markus Kaiser,
  • Andrey P. Antonchick and
  • Herbert Waldmann

Beilstein J. Org. Chem. 2014, 10, 194–208, doi:10.3762/bjoc.10.15

Graphical Abstract
PDF
Album
Supp Info
Full Research Paper
Published 16 Jan 2014

Tanzawaic acids I–L: Four new polyketides from Penicillium sp. IBWF104-06

  • Louis P. Sandjo,
  • Eckhard Thines,
  • Till Opatz and
  • Anja Schüffler

Beilstein J. Org. Chem. 2014, 10, 251–258, doi:10.3762/bjoc.10.20

Graphical Abstract
PDF
Album
Supp Info
Full Research Paper
Published 22 Jan 2014

Decandrinin, an unprecedented C9-spiro-fused 7,8-seco-ent-abietane from the Godavari mangrove Ceriops decandra

  • Hui Wang,
  • Min-Yi Li,
  • Félix Zongwe Katele,
  • Tirumani Satyanandamurty,
  • Jun Wu and
  • Gerhard Bringmann

Beilstein J. Org. Chem. 2014, 10, 276–281, doi:10.3762/bjoc.10.23

Graphical Abstract
PDF
Album
Supp Info
Video
Full Research Paper
Published 27 Jan 2014

Total synthesis and cytotoxicity of the marine natural product malevamide D and a photoreactive analog

  • Werner Telle,
  • Gerhard Kelter,
  • Heinz-Herbert Fiebig,
  • Peter G. Jones and
  • Thomas Lindel

Beilstein J. Org. Chem. 2014, 10, 316–322, doi:10.3762/bjoc.10.29

Graphical Abstract
PDF
Album
Supp Info
Full Research Paper
Published 03 Feb 2014

Intermediates in monensin biosynthesis: A late step in biosynthesis of the polyether ionophore monensin is crucial for the integrity of cation binding

  • Wolfgang Hüttel,
  • Jonathan B. Spencer and
  • Peter F. Leadlay

Beilstein J. Org. Chem. 2014, 10, 361–368, doi:10.3762/bjoc.10.34

Graphical Abstract
PDF
Album
Letter
Published 10 Feb 2014

Concise, stereodivergent and highly stereoselective synthesis of cis- and trans-2-substituted 3-hydroxypiperidines – development of a phosphite-driven cyclodehydration

  • Peter H. Huy,
  • Julia C. Westphal and
  • Ari M. P. Koskinen

Beilstein J. Org. Chem. 2014, 10, 369–383, doi:10.3762/bjoc.10.35

Graphical Abstract
PDF
Album
Supp Info
Full Research Paper
Published 11 Feb 2014

Preparation of new alkyne-modified ansamitocins by mutasynthesis

  • Kirsten Harmrolfs,
  • Lena Mancuso,
  • Binia Drung,
  • Florenz Sasse and
  • Andreas Kirschning

Beilstein J. Org. Chem. 2014, 10, 535–543, doi:10.3762/bjoc.10.49

Graphical Abstract
PDF
Album
Supp Info
Full Research Paper
Published 03 Mar 2014

New sesquiterpene hydroquinones from the Caribbean sponge Aka coralliphagum

  • Qun Göthel and
  • Matthias Köck

Beilstein J. Org. Chem. 2014, 10, 613–621, doi:10.3762/bjoc.10.52

Graphical Abstract
PDF
Album
Supp Info
Full Research Paper
Published 06 Mar 2014

Synthesis of complex intermediates for the study of a dehydratase from borrelidin biosynthesis

  • Frank Hahn,
  • Nadine Kandziora,
  • Steffen Friedrich and
  • Peter F. Leadlay

Beilstein J. Org. Chem. 2014, 10, 634–640, doi:10.3762/bjoc.10.55

Graphical Abstract
PDF
Album
Supp Info
Full Research Paper
Published 11 Mar 2014

Synthesis of (2S,3R)-3-amino-2-hydroxydecanoic acid and its enantiomer: a non-proteinogenic amino acid segment of the linear pentapeptide microginin

  • Rajendra S. Rohokale and
  • Dilip D. Dhavale

Beilstein J. Org. Chem. 2014, 10, 667–671, doi:10.3762/bjoc.10.59

Graphical Abstract
PDF
Album
Supp Info
Full Research Paper
Published 17 Mar 2014

Asymmetric total synthesis of a putative sex pheromone component from the parasitoid wasp Trichogramma turkestanica

  • Danny Geerdink,
  • Jeffrey Buter,
  • Teris A. van Beek and
  • Adriaan J. Minnaard

Beilstein J. Org. Chem. 2014, 10, 761–766, doi:10.3762/bjoc.10.71

Graphical Abstract
PDF
Album
Supp Info
Full Research Paper
Published 02 Apr 2014

Structure elucidation of female-specific volatiles released by the parasitoid wasp Trichogramma turkestanica (Hymenoptera: Trichogrammatidae)

  • Armin Tröger,
  • Teris A. van Beek,
  • Martinus E. Huigens,
  • Isabel M. M. S. Silva,
  • Maarten A. Posthumus and
  • Wittko Francke

Beilstein J. Org. Chem. 2014, 10, 767–773, doi:10.3762/bjoc.10.72

Graphical Abstract
PDF
Album
Supp Info
Full Research Paper
Published 02 Apr 2014

Amino acid motifs in natural products: synthesis of O-acylated derivatives of (2S,3S)-3-hydroxyleucine

  • Oliver Ries,
  • Martin Büschleb,
  • Markus Granitzka,
  • Dietmar Stalke and
  • Christian Ducho

Beilstein J. Org. Chem. 2014, 10, 1135–1142, doi:10.3762/bjoc.10.113

Graphical Abstract
PDF
Album
Supp Info
Full Research Paper
Published 16 May 2014

Heronapyrrole D: A case of co-inspiration of natural product biosynthesis, total synthesis and biodiscovery

  • Jens Schmidt,
  • Zeinab Khalil,
  • Robert J. Capon and
  • Christian B. W. Stark

Beilstein J. Org. Chem. 2014, 10, 1228–1232, doi:10.3762/bjoc.10.121

Graphical Abstract
PDF
Album
Supp Info
Letter
Published 26 May 2014

Selective allylic hydroxylation of acyclic terpenoids by CYP154E1 from Thermobifida fusca YX

  • Anna M. Bogazkaya,
  • Clemens J. von Bühler,
  • Sebastian Kriening,
  • Alexandrine Busch,
  • Alexander Seifert,
  • Jürgen Pleiss,
  • Sabine Laschat and
  • Vlada B. Urlacher

Beilstein J. Org. Chem. 2014, 10, 1347–1353, doi:10.3762/bjoc.10.137

Graphical Abstract
PDF
Album
Supp Info
Full Research Paper
Published 13 Jun 2014

Streptopyridines, volatile pyridine alkaloids produced by Streptomyces sp. FORM5

  • Ulrike Groenhagen,
  • Michael Maczka,
  • Jeroen S. Dickschat and
  • Stefan Schulz

Beilstein J. Org. Chem. 2014, 10, 1421–1432, doi:10.3762/bjoc.10.146

Graphical Abstract
PDF
Album
Supp Info
Video
Full Research Paper
Published 24 Jun 2014

C–H-Functionalization logic guides the synthesis of a carbacyclopamine analog

  • Sebastian Rabe,
  • Johann Moschner,
  • Marina Bantzi,
  • Philipp Heretsch and
  • Athanassios Giannis

Beilstein J. Org. Chem. 2014, 10, 1564–1569, doi:10.3762/bjoc.10.161

Graphical Abstract
PDF
Album
Supp Info
Full Research Paper
Published 09 Jul 2014

Synthesis and bioactivity of analogues of the marine antibiotic tropodithietic acid

  • Patrick Rabe,
  • Tim A. Klapschinski,
  • Nelson L. Brock,
  • Christian A. Citron,
  • Paul D’Alvise,
  • Lone Gram and
  • Jeroen S. Dickschat

Beilstein J. Org. Chem. 2014, 10, 1796–1801, doi:10.3762/bjoc.10.188

Graphical Abstract
PDF
Album
Supp Info
Letter
Published 06 Aug 2014

Sacrolide A, a new antimicrobial and cytotoxic oxylipin macrolide from the edible cyanobacterium Aphanothece sacrum

  • Naoya Oku,
  • Miyako Matsumoto,
  • Kohsuke Yonejima,
  • Keijiroh Tansei and
  • Yasuhiro Igarashi

Beilstein J. Org. Chem. 2014, 10, 1808–1816, doi:10.3762/bjoc.10.190

Graphical Abstract
PDF
Album
Supp Info
Full Research Paper
Published 07 Aug 2014
Other Beilstein-Institut Open Science Activities