Search for "endoperoxide" in Full Text gives 22 result(s) in Beilstein Journal of Organic Chemistry.
Beilstein J. Org. Chem. 2026, 22, 289–343, doi:10.3762/bjoc.22.21
Graphical Abstract
Scheme 1: Mechanistic overview of enzymes involved in ring-size-altering reactions: A: Difference in ionisati...
Scheme 2: A: Ring contraction through involvement of carbocationic intermediates in thujane monoterpene biosy...
Scheme 3: Examples of concerted ring expansions of carbocation intermediates in PxaTPS8-catalysed cyclisation...
Scheme 4: Sequential ring expansions during astellifadiene (17) synthesis reported by Abe and co-workers.
Scheme 5: Cyclobutane ring expansion and sequential ring contractions catalysed by the synthase AITS in the b...
Scheme 6: Ring expansion and transannular ring contraction of a cyclopentane to cyclobutane in the biosynthes...
Scheme 7: Computationally elucidated concerted cyclisations/alkyl/hydride shifts during the biosynthesis of t...
Scheme 8: Cyclisation events and 6→5-ring contraction during the construction of epi-isozizaene (26) catalyse...
Scheme 9: Transannular cyclisations and 4→5-membered ring expansion through dyotropic 1,2-rearrangement of al...
Scheme 10: Ring expansion in presilphiperfolan-8b-ol (31) biosynthesis and ring contraction of the presilphipe...
Scheme 11: Ring contraction via transannular cyclopropanation and opening of cyclopropane in the biosynthesis ...
Scheme 12: The crucial CYP450-catalysed oxidative rearrangement defining the skeleton in gibberellin biosynthe...
Scheme 13: CYP450-mediated oxidation of cyclopentane methylene expanding the 8-membered ring in the biosynthes...
Scheme 14: CYP450-mediated oxidation of an exocyclic methyl group to effect transannular cyclisation across th...
Scheme 15: Non-enzymatic transannular aldol reaction enables the formation of the 5/13/3-tricyclic ring system...
Scheme 16: A: Oxidative ring expansion of a cyclopentane by incorporation of a methyl group in the biosynthesi...
Scheme 17: Rearrangement and ring expansion in the construction of the complex bridged carbon framework of and...
Scheme 18: Ketoglutarate-mediated oxidations of preaustinoid A1 (53) en route to complex meroterpenoids, B-rin...
Scheme 19: Proposed putative biosynthetic formation of the tigliane skeleton from an E,E,Z-triene.
Scheme 20: Photocatalytic tandem ring expansion/contraction of santonin to give photosantonin products and gua...
Scheme 21: A: Proposed biosynthesis of stelleroid B (66) from stelleranoid I (65) by ketol rearrangement; B: o...
Scheme 22: Singular examples of A,B-ring contractions and expansions in the biosynthesis of sesquiterpenoids e...
Scheme 23: A: plausible proposed biosynthetic pathway for the tigliane/ingenane skeletal rearrangement and 1,2...
Scheme 24: A: Multiple ring-size alterations during xenovulene A (90) biosynthesis; B: Ring contraction and re...
Scheme 25: Proposed biosyntheses of the complex, polycyclic terpenoid illisimonin A (97) and the bridged antro...
Scheme 26: Proposed biogenetic origin for the meroterpenoid liphagal (104) via epoxide-mediated ring expansion....
Scheme 27: Proposed biogenetic origin for the ring-contracted members of the taiwaniaquinol family.
Scheme 28: A: Schenck ene/Hock/Aldol cascade effecting B-ring contraction in atheronal B (113); B: Selective C...
Scheme 29: A: D-ring expansion of buxenone (118) via cyclopropanation towards buxaustroine A (119); B: Propose...
Scheme 30: Biosynthetic origin of alstoscholarinoids A (124) and B (125) via cascade oxidative rearrangement c...
Scheme 31: Biogenetic origin of the hedgehog signalling inhibitor cyclopamine (129) by tandem ring contraction...
Scheme 32: Proposed biogenetic origin of the B-ring contracted spirocyclic triterpenoid spirochensilide A (131...
Scheme 33: A: Proposed B-ring contraction during the biosynthesis of holophyllane A (133); B: B-ring contracti...
Scheme 34: Radical and ionic/polar mechanisms for the C-ring-contracted triterpenoids phomopsterone B (139) an...
Scheme 35: A: Plausible mechanism for the formation of schiglautone A (144) from anwuweizic acid (145); B: Pro...
Scheme 36: Reported biosynthetic proposal for the formation of B-ring expanded triterpenoids rhodoterpenoids A...
Scheme 37: A: Final reaction step in the synthesis of euphorikanin A (154), benzilic acid-type ring contractio...
Scheme 38: Tricyclic ring expansion in the Gui synthesis of gibbosterol A (158) and sarocladione (160) via Ru-...
Scheme 39: A: A-ring expansion during the Gui synthesis of rubriflordilactone B (161); B: Mechanism for the bi...
Scheme 40: Photosantonin rearrangement effects A/B ring contraction/expansion in Li’s synthesis of the complex...
Scheme 41: Tandem A/B ring expansion/contraction of an ergosterol derivative via pinacol rearrangement in the ...
Scheme 42: Synthetic studies towards cyclocitrinol (179) by A) the semisynthetic approach by Gui et al. using ...
Scheme 43: A: Bioinspired synthesis of spirochensilide A (131) by the Heretsch group via selective 8,9-epoxida...
Scheme 44: Baran’s synthesis of cortistatin A (191), expanding the B-ring through a cyclopropane fragmentation....
Scheme 45: Ding’s total synthesis of retigeranic acid (198) showcasing sequential 6→5 ring contractions.
Scheme 46: A: Oxa-di-π-methane (ODPM) rearrangement of a bicyclic ketone en route to silphiperfolenone (203); ...
Scheme 47: Biomimetic synthesis of liphagal (104) from sclareolide (221) by George and co-workers.
Scheme 48: Wu’s bioinspired synthesis of cucurbalsaminones B (224) and C (225) by photocatalytic oxa-di-π-meth...
Scheme 49: Baran’s total synthesis of maoecrystal V (230) featuring a pinacol rearrangement for ring expansion...
Scheme 50: A: Ketol rearrangement leading to ring contraction in the total synthesis of preaustinoid B; B: Ben...
Scheme 51: A: Scheidt’s synthesis of isovelleral (251) by pinacol rearrangement triggered by Mitsunobu conditi...
Scheme 52: Biomimetic transformations of simplified test substrates related to Euphorbia diterpenoids.
Scheme 53: A: First generation synthesis of taiwaniaquinones by benzilic acid-type rearrangement of the B-ring...
Scheme 54: A: Norrish type 1 radical recombination leading to ring contraction en route to cuparenone (272): 1...
Scheme 55: Ring contraction of a bridged D-ring system in the total synthesis of andrastatin D (280), terrenoi...
Scheme 56: Biomimetic synthesis of hyperjapone A (284) and hyperjaponol C (285) by George et al.
Scheme 57: Heretsch’ synthesis of dankastarones A (288) and B (289), swinhoeisterol A (290), and periconiaston...
Scheme 58: A: Zhang’s ring contraction during the synthesis of stemar-13-ene (295) by pinacol rearrangement; B...
Scheme 59: Trauner’s biomimetic synthesis of preuisolactone A (307) featuring a ring contraction via benzilic ...
Scheme 60: Bioinspired approaches for ring contraction/expansion reactions in the synthesis of alstoscholarino...
Scheme 61: A: Sarpong and Li, Wang and co-workers’ ring expansion of cephanolide A (313) to reach harringtonol...
Beilstein J. Org. Chem. 2025, 21, 2571–2583, doi:10.3762/bjoc.21.199
Graphical Abstract
Figure 1: The categorization of Illicium sesquiterpenes and representative natural products.
Figure 2: The original assigned (−)-illisimonin A, revised (−)-illisimonin A, and their different draws.
Scheme 1: Proposed biosynthetic pathway of illisimonin A by Yu et al.
Scheme 2: Rychnovsky’s racemic synthesis of illisimonin A (1).
Scheme 3: The absolute configuration revision of (−)-illisimonin A.
Scheme 4: Kalesse’s asymmetric synthesis of (−)-illisimonin A.
Scheme 5: Yang group proposed biosynthetic pathway of illisimonin A.
Scheme 6: Yang’s bioinspired synthesis of illisimonin A.
Scheme 7: Dai’s asymmetric synthesis of (–)-illisimonin A.
Scheme 8: Lu’s total synthesis of illisimonin A.
Scheme 9: Initial efforts toward the total synthesis of illisimonin A by the Lu Group.
Scheme 10: Suzuki’s synthetic effort towards illisimonin A.
Beilstein J. Org. Chem. 2025, 21, 616–629, doi:10.3762/bjoc.21.49
Graphical Abstract
Figure 1: Representation of an antibody–drug conjugate. The antibody shown in this figure is from https://www...
Figure 2: a. Photoredox catalytic cycles; b. absorption spectrum of photosensitizers. Therapeutic window indi...
Figure 3: Graph representing the average number of publications focusing on photoredox chemistry applied to p...
Figure 4: Schematic procedure developed by Sato et al. on histidine photoinduced modification. The antibody s...
Figure 5: Schematic procedure of the divergent method developed by Sato et al. on histidine/tyrosine photoind...
Figure 6: Schematic procedure developed by Bräse et al. on photoinduced disulfide rebridging method.
Figure 7: Schematic procedure developed by Lang et al. on a photoinduced dual nickel photoredox-catalyzed app...
Figure 8: Schematic of the procedure developed by Chang et al. on photoinduced high affinity IgG Fc-binding s...
Figure 9: Potential advantages of photoredox chemistry for bioconjugation applied to antibodies. The antibody...
Figure 10: Representation of the photoinduced control of the DAR. The antibody shown in this figure is from ht...
Figure 11: Representation of a photoinduced control of multi-payloads ADC strategy. The antibody shown in this...
Beilstein J. Org. Chem. 2025, 21, 515–525, doi:10.3762/bjoc.21.39
Graphical Abstract
Scheme 1: List of reactions, experimental conditions and yields studied in this work.
Figure 1: Top: 379 MHz 19F NMR spectrum of 9,10-ANTH(BnF)2 in CDCl3. Bottom: absorption (aerobic, solid line)...
Figure 2: Top: X-ray structure of 9,10-ANTH(BnF)2, thermal ellipsoids 50% probability. Bottom: a view down th...
Figure 3: Absorption spectra of ANTH and 9,10-ANTH(BnF)2 in CH2Cl2 recorded over the period of 53 days in air...
Figure 4: Direct analysis in real time (DART) positive ion mass spectrum of the photoirradiated 9,10-ANTH(BnF)...
Figure 5: The % remaining of ANTH and 9,10-ANTH(BnF)2 dissolved in CDCl3 upon irradiation. Resonances δ = 7.4...
Beilstein J. Org. Chem. 2024, 20, 287–305, doi:10.3762/bjoc.20.30
Graphical Abstract
Scheme 1: “Precursor approach” for the synthesis of π-conjugated polycyclic compounds, with the thermally- or...
Scheme 2: Valence isomerization of chalcogen heteropines and subsequent cheletropic extrusion in the case of ...
Scheme 3: Early example of phenanthrene synthesis via a chemically-induced S-extrusion (and concomitant decar...
Scheme 4: Top: Conversion of dinaphthothiepine bisimides 3a,b and their sulfoxide analogues 4a,b into PBIs 6a,...
Figure 1: Top view (a) and side view (b) of the X-ray crystal structure of thiepine 3b showing its bent confo...
Scheme 5: Modular synthetic route towards dinaphthothiepines 3a–f and the corresponding S-oxides 4a–d, incorp...
Scheme 6: Top: Conversion of dithienobenzothiepine monomeric units into dithienonaphthalenes, upon S-extrusio...
Scheme 7: Synthesis of S-doped extended triphenylene derivative 22 from 3-bromothiophene (17) with the therma...
Scheme 8: Top: Synthesis of thermally-stable O-doped HBC 26a. Bottom: Synthesis of S- and Se-based soluble pr...
Scheme 9: Synthesis of dinaphthooxepine bisimide 33 and conversion into PBI 6f by O-extrusion triggered by el...
Figure 2: Cyclic voltammogram of dinaphthooxepine 33, evidencing the irreversibility of the reduction process...
Scheme 10: Top: Early example of 6-membered ring contraction with concomitant S-extrusion leading to dinaphtho...
Scheme 11: Examples of S-extrusion from annelated 1,2-dithiins under photoactivation (top) or thermal activati...
Scheme 12: Synthesis of dibenzo[1,4]dithiapentalene upon photoextrusion of SO2 [78].
Scheme 13: Extrusion of SO in naphthotrithiin-2-oxides for the synthesis of 2,5-dihydrothiophene 1-oxides [79].
Scheme 14: SO-extrusion as a key step in the synthesis of fullerenes (C60 and C70) encapsulating H2 molecules [80,82]....
Scheme 15: Synthesis of diepoxytetracene precursor 56 and its on-surface conversion into tetracene upon O-extr...
Scheme 16: Soluble precursors of hexacene, decacene and dodecacene incorporating 1,4-epoxides in their hydroca...
Scheme 17: Synthesis of tetraepoxide 59 as soluble precursor of decacene [85].
Figure 3: Constant-height STM measurement of decacene on Au(111) using a CO-functionalized tip (sample voltag...
Beilstein J. Org. Chem. 2022, 18, 1539–1543, doi:10.3762/bjoc.18.163
Graphical Abstract
Figure 1: Some biologically active aziridine-bearing compounds 1, 2 and aminocyclitol 3.
Scheme 1: Synthesis of dimesylate 8.
Scheme 2: Synthesis of aminocyclooctanetriol 13.
Scheme 3: Synthesis of aziridinecyclooctanediol 16.
Beilstein J. Org. Chem. 2022, 18, 1355–1378, doi:10.3762/bjoc.18.141
Graphical Abstract
Figure 1: Structure of halicin (1).
Figure 2: Structures of compounds 2–7.
Figure 3: Structures of compounds 8–12.
Figure 4: Structures of compounds 13–17.
Figure 5: Structures of compounds 18–21.
Figure 6: Structures of compounds 22–36 and SAR of compound 22.
Figure 7: Structures of compounds 37 and 38.
Figure 8: Structures of compounds 39–44.
Scheme 1: Retrosynthesis of pyrazolones A and B.
Scheme 2: Reaction conditions: i: HF, SbF6, CCl4. ii: (CF3SO2)2Zn, t-BuO2H, CH2Cl2/H2O.
Figure 9: Structures of compounds 49–61.
Figure 10: Structures of compounds 62–65.
Figure 11: Structures of compounds 66 and 67.
Beilstein J. Org. Chem. 2022, 18, 1225–1235, doi:10.3762/bjoc.18.128
Graphical Abstract
Figure 1: Representation of (a) cavitation and elongational flow caused by pulsed ultrasonication, (b) mixer ...
Scheme 1: (a) Mechanochemical activation of anthracene–endoperoxide mechanophore incorporated in the cross-li...
Scheme 2: Mechanochemical activation of dendronized polymer-based compound 4 by ultrasonication and ball mill...
Figure 2: Structure of cellulose and chitin and approximation to the structure of lignin.
Figure 3: Tensile forces by ball milling change the conformation of a chitin model compound. This deformation...
Figure 4: (a) Representation of a collision between the ball and a particle of a chitin sample and (b) mechan...
Figure 5: (a) Ultrasound-induced ATRP using piezoelectric BaTiO3 and (b) mechanochemical atom transfer radica...
Figure 6: Mechanochemical solid-state complexation of organic capsule 5 with fullerenes C70 in a planetary ba...
Scheme 3: Comparative mechanochemical dissociation of the central C–C bond in TASN derivatives 6 and 8.
Beilstein J. Org. Chem. 2022, 18, 754–768, doi:10.3762/bjoc.18.76
Graphical Abstract
Figure 1: The olfactory spectrum wheel ordering different types of odorants from fruity to musky.
Figure 2: Classification of odorants as “top note”, “middle note” and “base note” depending on their substant...
Scheme 1: Synthesis of raspberry ketone (5) and raspberry ketone methyl ether (6) in two steps in flow.
Scheme 2: Autoxidation of (+)-valencene (7) to (+)-nootkatone (8) under catalyst and solvent-free conditions ...
Scheme 3: Enzyme-catalyzed acetylation of isoamyl alcohol (9) in a biphasic n-heptane/water mixture utilizing...
Scheme 4: Esterification of alcohols by transesterification, catalyzed by immobilized acyltransferase in a pa...
Scheme 5: Synthesis of homologated alcohols 20 by iterative homologation of terpenyl boronate esters 17 follo...
Scheme 6: Sequential three-step synthesis of (S)-α-phellandrene (30) from (R)-carvone (25) via selective hydr...
Scheme 7: Selective hydrogenation of alkyne 31 to “leaf alcohol” 32 employing a solid-supported palladium cat...
Scheme 8: A) Synthesis of jasmonal (35) by crossed aldol condensation of benzaldehyde (33) and heptanal (34) ...
Scheme 9: Synthesis of thymol (41) from m-cresol (39) and isopropyl alcohol via Fries-type rearrangement of e...
Scheme 10: Preparation of coumarin (46) by reaction of salicylaldehyde (44) with potassium acetate, acetic aci...
Scheme 11: Synthesis of phthalide (50) by photoinduced decatungstate catalysis.
Scheme 12: Synthesis of woody acetate (54) by reduction of cyclohexanone 51 and subsequent acetylation; ADH200...
Scheme 13: Synthesis of juniper lactone (56) by pyrolysis of triperoxide 55 generated by oxidation of cyclohex...
Scheme 14: Synthesis of macrocyclic olefine 60 by ring-closing metathesis of diene 58 in a continuously stirre...
Scheme 15: Synthesis of macrocycles 65 and 66 by ring-closing metathesis of dienes 62 or 63, respectively, in ...
Scheme 16: Z-Selective synthesis of civetone (69) enabled by metathesis catalyst 68 in a tube-in-tube reactor.
Scheme 17: Synthesis of macrocyclic olefine 72 by ring-closing metathesis of diene 70.
Beilstein J. Org. Chem. 2022, 18, 707–721, doi:10.3762/bjoc.18.71
Graphical Abstract
Figure 1: Examples of endoperoxide-containing natural products.
Scheme 1: Reactions of COXs.
Figure 2: Structures of COXs [52,53]. (A) The overall structure of ovine COX-1. (B and C) Comparison of the cyclooxy...
Scheme 2: Proposed reaction mechanisms of COXs [24].
Scheme 3: General reaction mechanism of Fe/2OG oxygenases.
Scheme 4: Reaction of FtmOx1 [68-71].
Figure 3: Structure of FtmOx1 [71]. (A) The FtmOx1 binary structure in complex with 2OG. (B and C) Comparison of ...
Scheme 5: Proposed COX-like mechanism of FtmOx1 [68].
Scheme 6: Proposed CarC-like mechanism of FtmOx1 [70].
Scheme 7: Reaction of NvfI [28].
Scheme 8: Possible reaction pathways leading to fumigatonoid A [28].
Figure 4: Structure of NvfI [28]. (A–C) Conformational changes of loop regions: (A) open conformation, (B) partia...
Scheme 9: Another possible reaction pathway for the formation of fumigatonoid A [28].
Beilstein J. Org. Chem. 2021, 17, 705–710, doi:10.3762/bjoc.17.59
Graphical Abstract
Figure 1: Structures of some important aminocyclitols.
Scheme 1: Synthesis of cyclic sulfate 9.
Scheme 2: Synthesis of aminocyclooctanetriol 12.
Scheme 3: Synthesis of aminocyclooctanetriol 18.
Scheme 4: Synthesis of chlorocyclooctanetriol 20.
Scheme 5: Synthesis of chlorocyclooctanetriols 23 and 24.
Beilstein J. Org. Chem. 2020, 16, 1495–1549, doi:10.3762/bjoc.16.125
Graphical Abstract
Figure 1: A) Bar chart of the publications per year for the topics “Photocatalysis” (49,662 instances) and “P...
Figure 2: A) Professor Giacomo Ciamician and Dr. Paolo Silber on their roof laboratory at the University of B...
Scheme 1: PRC trifluoromethylation of N-methylpyrrole (1) using hazardous gaseous CF3I safely in a flow react...
Figure 3: A) Unit cells of the three most common crystal structures of TiO2: rutile, brookite, and anatase. R...
Figure 4: Illustration of the key semiconductor photocatalysis events: 1) A photon with a frequency exceeding...
Figure 5: Photocatalytic splitting of water by oxygen vacancies on a TiO2(110) surface. Reprinted with permis...
Figure 6: Proposed adsorption modes of A) benzene, B) chlorobenzene, C) toluene, D) phenol, E) anisole, and F...
Figure 7: Structures of the sulfonate-containing organic dyes RB5 (3) and MX-5B (4) and the adsorption isothe...
Figure 8: Idealised triclinic unit cell of a g-C3N4 type polymer, displaying possible hopping transport scena...
Figure 9: Idealised structure of a perfect g-C3N4 sheet. The central unit highlighted in red represents one t...
Figure 10: Timeline of the key processes of charge transport following the photoexcitation of g-C3N4, leading ...
Scheme 2: Photocatalytic bifunctionalisation of heteroarenes using mpg-C3N4, with the selected examples 5 and ...
Figure 11: A) Structure of four linear conjugated polymer photocatalysts for hydrogen evolution, displaying th...
Figure 12: Graphical representation of the common methods used to immobilise molecular photocatalysts (PC) ont...
Figure 13: Wireless light emitter-supported TiO2 (TiO2@WLE) HPCat spheres powered by resonant inductive coupli...
Figure 14: Graphical representation of zinc–perylene diimide (Zn-PDI) supramolecular assembly photocatalysis v...
Scheme 3: Upconversion of NIR photons to the UV frequency by NaYF4:Yb,Tm nanocrystals sequentially coated wit...
Figure 15: Types of reactors employed in heterogeneous photocatalysis in flow. A) Fixed bed reactors and the s...
Figure 16: Electrochemical potential of common semiconductor, transition metal, and organic dye-based photocat...
Scheme 4: Possible mechanisms of an immobilised molecular photoredox catalyst by oxidative or reductive quenc...
Scheme 5: Scheme of the CMB-C3N4 photocatalytic decarboxylative fluorination of aryloxyacetic acids, with the...
Scheme 6: Scheme of the g-C3N4 photocatalytic desilylative coupling reaction in flow and proposed mechanism [208].
Scheme 7: Proposed mechanism of the radical cyclisation of unsaturated alkyl 2-bromo-1,3-dicarbonyl compounds...
Scheme 8: N-alkylation of benzylamine and schematic of the TiO2-coated microfluidic device [213].
Scheme 9: Proposed mechanism of the Pt@TiO2 photocatalytic deaminitive cyclisation of ʟ-lysine (23) to ʟ-pipe...
Scheme 10: A) Proposed mechanism for the photocatalytic oxidation of phenylboronic acid (24). B) Photos and SE...
Scheme 11: Proposed mechanism for the DA-CMP3 photocatalytic aza-Henry reaction performed in a continuous flow...
Scheme 12: Proposed mechanism for the formation of the cyclic product 32 by TiO2-NC HPCats in a slurry flow re...
Scheme 13: Reaction scheme for the photocatalytic synthesis of homo and hetero disulfides in flow and scope of...
Scheme 14: Reaction scheme for the MoOx/TiO2 HPCat oxidation of cyclohexane (34) to benzene. The graph shows t...
Scheme 15: Proposed mechanism of the TiO2 HPC heteroarene C–H functionalisation via aryl radicals generated fr...
Scheme 16: Scheme of the oxidative coupling of benzylamines with the HOTT-HATN HPCat and selected examples of ...
Scheme 17: Photocatalysis oxidation of benzyl alcohol (40) to benzaldehyde (41) in a microflow reactor coated ...
Figure 17: Mechanisms of Dexter and Forster energy transfer.
Scheme 18: Continuous flow process for the isomerisation of alkenes with an ionic liquid-immobilised photocata...
Scheme 19: Singlet oxygen synthetic step in the total synthesis of canataxpropellane [265].
Scheme 20: Scheme and proposed mechanism of the singlet oxygen photosensitisation by CMP_X HPCats, with the st...
Scheme 21: Structures of CMP HPCat materials applied by Vilela and co-workers for the singlet oxygen photosens...
Scheme 22: Polyvinylchloride resin-supported TDCPP photosensitisers applied for singlet oxygen photosensitisat...
Scheme 23: Structure of the ionically immobilised TPP photosensitiser on amberlyst-15 ion exchange resins (TPP...
Scheme 24: Photosensitised singlet oxygen oxidation of citronellol (46) in scCO2, with automatic phase separat...
Scheme 25: Schematic of PS-Est-BDP-Cl2 being applied for singlet oxygen photosensitisation in flow. A) Pseudo-...
Scheme 26: Reaction scheme of the singlet oxygen oxidation of furoic acid (54) using a 3D-printed microfluidic...
Figure 18: A) Photocatalytic bactericidal mechanism by ROS oxidative cleavage of membrane lipids (R = H, amino...
Figure 19: A) Suggested mechanisms for the aqueous pollutant degradation by TiO2 in a slurry flow reactor [284-287]. B)...
Figure 20: Schematic of the flow system used for the degradation of aqueous oxytetracycline (56) solutions [215]. M...
Scheme 27: Degradation of a salicylic acid (57) solution by a coupled solar photoelectro-Fenton (SPEF) process...
Figure 21: A) Schematic flow diagram using the TiO2-coated NETmix microfluidic device for an efficient mass tr...
Beilstein J. Org. Chem. 2020, 16, 917–955, doi:10.3762/bjoc.16.83
Graphical Abstract
Figure 1: Chemical structures of the porphyrinoids and their absorption spectra: in bold are highlighted the ...
Figure 2: Photophysical and photochemical processes (Por = porphyrin). Adapted from [12,18].
Figure 3: Main dual photocatalysts and their oxidative/reductive excited state potentials, including porphyri...
Scheme 1: Photoredox alkylation of aldehydes with diazo acetates using porphyrins and a Ru complex. aUsing a ...
Scheme 2: Proposed mechanism for the alkylation of aldehydes with diazo acetates in the presence of TPP.
Scheme 3: Arylation of heteroarenes with aryldiazonium salts using TPFPP as photocatalyst, and corresponding ...
Scheme 4: A) Scope with different aryldiazonium salts and enol acetates. B) Photocatalytic cycles and compari...
Scheme 5: Photoarylation of isopropenyl acetate A) Comparison between batch and continuous-flow approaches an...
Scheme 6: Dehalogenation induced by red light using thiaporphyrin (STPP).
Scheme 7: Applications of NiTPP as both photoreductant and photooxidant.
Scheme 8: Proposed mechanism for obtaining tetrahydroquinolines by reductive quenching.
Scheme 9: Selenylation and thiolation of anilines.
Scheme 10: NiTPP as photoredox catalyst in oxidative and reductive quenching, in comparison with other photoca...
Scheme 11: C–O bond cleavage of 1-phenylethanol using a cobalt porphyrin (CoTMPP) under visible light.
Scheme 12: Hydration of terminal alkynes by RhIII(TSPP) under visible light irradiation.
Scheme 13: Regioselective photocatalytic hydro-defluorination of perfluoroarenes by RhIII(TSPP).
Scheme 14: Formation of 2-methyl-2,3-dihydrobenzofuran by intramolecular hydro-functionalization of allylpheno...
Scheme 15: Photocatalytic oxidative hydroxylation of arylboronic acids using UNLPF-12 as heterogeneous photoca...
Scheme 16: Photocatalytic oxidative hydroxylation of arylboronic acids using MOF-525 as heterogeneous photocat...
Scheme 17: Preparation of the heterogeneous photocatalyst CNH.
Scheme 18: Photoinduced sulfonation of alkenes with sulfinic acid using CNH as photocatalyst.
Scheme 19: Sulfonic acid scope of the sulfonation reactions.
Scheme 20: Regioselective sulfonation reaction of arimistane.
Scheme 21: Synthesis of quinazolin-4-(3H)-ones.
Scheme 22: Selective photooxidation of aromatic benzyl alcohols to benzaldehydes using Pt/PCN-224(Zn).
Scheme 23: Photooxidation of benzaldehydes to benzoic acids using Pt or Pd porphyrins.
Scheme 24: Photocatalytic reduction of various nitroaromatics using a Ni-MOF.
Scheme 25: Photoinduced cycloadditions of CO2 with epoxides by MOF1.
Figure 4: Electronic configurations of the species of oxygen. Adapted from [66].
Scheme 26: TPP-photocatalyzed generation of 1O2 and its application in organic synthesis. Adapted from [67-69].
Scheme 27: Pericyclic reactions involving singlet oxygen and their mechanisms. Adapted from [67].
Scheme 28: First scaled up ascaridole preparation from α-terpinene.
Scheme 29: Antimalarial drug synthesis using an endoperoxidation approach.
Scheme 30: Photooxygenation of colchicine.
Scheme 31: Synthesis of (−)-pinocarvone from abundant (+)-α-pinene.
Scheme 32: Seeberger’s semi-synthesis of artemisinin.
Scheme 33: Synthesis of artemisinin using TPP and supercritical CO2.
Scheme 34: Synthesis of artemisinin using chlorophyll a.
Scheme 35: Quercitol stereoisomer preparation.
Scheme 36: Photocatalyzed preparation of naphthoquinones.
Scheme 37: Continuous endoperoxidation of conjugated dienes and subsequent rearrangements leading to oxidized ...
Scheme 38: The Opatz group total synthesis of (–)-oxycodone.
Scheme 39: Biomimetic syntheses of rhodonoids A, B, E, and F.
Scheme 40: α-Photooxygenation of chiral aldehydes.
Scheme 41: Asymmetric photooxidation of indanone β-keto esters by singlet oxygen using PTC as a chiral inducer...
Scheme 42: Asymmetric photooxidation of both β-keto esters and β-keto amides by singlet oxygen using PTC-2 as ...
Scheme 43: Bifunctional photo-organocatalyst used for the asymmetric oxidation of β-keto esters and β-keto ami...
Scheme 44: Mechanism of singlet oxygen oxidation of sulfides to sulfoxides.
Scheme 45: Controlled oxidation of sulfides to sulfoxides using protonated porphyrins as photocatalysts. aIsol...
Scheme 46: Photochemical oxidation of sulfides to sulfoxides using PdTPFPP as photocatalyst.
Scheme 47: Controlled oxidation of sulfides to sulfoxides using SnPor@PAF as a photosensitizer.
Scheme 48: Syntheses of 2D-PdPor-COF and 3D-Pd-COF.
Scheme 49: Photocatalytic oxidation of A) thioanisole to methyl phenyl sulfoxide and B) various aryl sulfides,...
Scheme 50: General mechanism for oxidation of amines to imines.
Scheme 51: Oxidation of secondary amines to imines.
Scheme 52: Oxidation of secondary amines using Pd-TPFPP as photocatalyst.
Scheme 53: Oxidative amine coupling using UNLPF-12 as heterogeneous photocatalyst.
Scheme 54: Synthesis of Por-COF-1 and Por-COF-2.
Scheme 55: Photocatalytic oxidation of amines to imines by Por-COF-2.
Scheme 56: Photocyanation of primary amines.
Scheme 57: Synthesis of ᴅ,ʟ-tert-leucine hydrochloride.
Scheme 58: Photocyanation of catharanthine and 16-O-acetylvindoline using TPP.
Scheme 59: Photochemical α-functionalization of N-aryltetrahydroisoquinolines using Pd-TPFPP as photocatalyst.
Scheme 60: Ugi-type reaction with 1,2,3,4-tetrahydroisoquinoline using molecular oxygen and TPP.
Scheme 61: Ugi-type reaction with dibenzylamines using molecular oxygen and TPP.
Scheme 62: Mannich-type reaction of tertiary amines using PdTPFPP as photocatalyst.
Scheme 63: Oxidative Mannich reaction using UNLPF-12 as heterogeneous photocatalyst.
Scheme 64: Transformation of amines to α-cyanoepoxides and the proposed mechanism.
Beilstein J. Org. Chem. 2019, 15, 567–570, doi:10.3762/bjoc.15.51
Graphical Abstract
Figure 1: Structures of the natural (+)-artemisinin (1) and the synthesized (+)-3-hydroxymethylartemisinin (2...
Scheme 1: Synthesis of the Diels–Alder precursor 8 over four steps in 71% yield, starting from aldehyde 3 and...
Scheme 2: Synthesis of (+)-3-hydroxymethyl-9-desmethylartemisinin (16), starting from Diels–Alder derivatives ...
Scheme 3: Synthesis of (+)-3-hydroxymethyl-9-epi-artemisinin (18) and (+)-3-hydroxymethylartemisinin (2). Rea...
Beilstein J. Org. Chem. 2018, 14, 1120–1180, doi:10.3762/bjoc.14.98
Graphical Abstract
Scheme 1: Tropone (1), tropolone (2) and their resonance structures.
Figure 1: Natural products containing a tropone nucleus.
Figure 2: Possible isomers 11–13 of benzotropone.
Scheme 2: Synthesis of benzotropones 11 and 12.
Scheme 3: Oxidation products of benzotropylium fluoroborate (16).
Scheme 4: Oxidation of 7-bromo-5H-benzo[7]annulene (22).
Scheme 5: Synthesis of 4,5-benzotropone (11) using o-phthalaldehyde (27).
Scheme 6: Synthesis of 4,5-benzotropone (11) starting from oxobenzonorbornadiene 31.
Scheme 7: Acid-catalyzed cleavage of oxo-bridge of 34.
Scheme 8: Synthesis of 4,5-benzotropone (11) from o-xylylene dibromide (38).
Scheme 9: Synthesis of 4,5-benzotropone (11) via the carbene adduct 41.
Scheme 10: Heck coupling strategy for the synthesis of 11.
Scheme 11: Synthesis of benzofulvalenes via carbonyl group of 4,5-benzotropone (11).
Figure 3: Some cycloheptatrienylium cations.
Scheme 12: Synthesis of condensation product 63 and its subsequent oxidative cyclization products.
Figure 4: A novel series of benzo[7]annulenes prepared from 4,5-benzotropone (11).
Scheme 13: Preparation of substituted benzo[7]annulene 72 using the Mukaiyama-Michael reaction.
Figure 5: Possible benzo[7]annulenylidenes 73–75.
Scheme 14: Thermal and photochemical decomposition of 7-diazo-7H-benzo[7]annulene (76) and the trapping of int...
Scheme 15: Synthesis of benzoheptafulvalene 86.
Scheme 16: Synthesis of 7-(diphenylmethylene)-7H-benzo[7]annulene (89).
Scheme 17: Reaction of 4,5-benzotropone (11) with dimethyl diazomethane.
Scheme 18: Synthesis of dihydrobenzomethoxyazocine 103.
Scheme 19: Synthesis and reducibility of benzo-homo-2-methoxyazocines.
Scheme 20: Synthesis of 4,5-benzohomotropones 104 and 115 from 4,5-benzotropones 11 and 113.
Scheme 21: A catalytic deuterogenation of 4,5-benzotropone (11) and synthesis of 5-monosubstituted benzo[7]ann...
Scheme 22: Synthesis of methyl benzo[7]annulenes 131 and 132.
Scheme 23: Ambident reactivity of halobenzo[7]annulenylium cations 133a/b.
Scheme 24: Preparation of benzo[7]annulenylidene–iron complexes 147.
Scheme 25: Synthesis of 1-ethynylbenzotropone (150) and the etheric compound 152 from 4,5-benzotropone (11) wi...
Scheme 26: Thermal decomposition of 4,5-benzotropone (11).
Scheme 27: Reaction of 4,5-benzotropone (11) with 1,2-ethanediol and 1,2-ethanedithiol.
Scheme 28: Conversions of 1-benzosuberone (162) to 2,3-benzotropone (12).
Scheme 29: Synthesis strategies for 2,3-bezotropone (12) using 1-benzosuberones.
Scheme 30: Oxidation-based synthesis of 2,3-benzotropone (12) via 1-benzosuberone (162).
Scheme 31: Synthesis of 2,3-benzotropone (12) from α-tetralone (171) via ring-expansion.
Scheme 32: Preparation of 2,3-benzotropone (12) by using of benzotropolone 174.
Figure 6: Benzoheptafulvenes as condensation products of 2,3-benzotropone (12).
Scheme 33: Conversion of 2,3-benzotropone (12) to tosylhydrazone salt 182 and gem-dichloride 187.
Figure 7: Benzohomoazocines 191–193 and benzoazocines 194–197.
Scheme 34: From 2,3-benzotropone (12) to carbonium ions 198–201.
Scheme 35: Cycloaddition reactions of 2,3-benzotropone (12).
Scheme 36: Reaction of 2,3-benzotropone (12) with various reagents and compounds.
Figure 8: 3,4-Benzotropone (13) and its resonance structure.
Scheme 37: Synthesis of 6,7-benzobicyclo[3.2.0]hepta-3,6-dien-2-one (230).
Figure 9: Photolysis and thermolysis products of 230.
Figure 10: Benzotropolones and their tautomeric structures.
Scheme 38: Synthesis strategies of 4,5-benzotropolone (238).
Scheme 39: Synthesis protocol for 2-hydroxy-4,5-benzotropone (238) using oxazole-benzo[7]annulene 247.
Figure 11: Some quinoxaline and pyrazine derivatives 254–256 prepared from 4,5-benzotropolone (238).
Scheme 40: Nitration product of 4,5-benzotropolone (238) and its isomerization to 1-nitro-naphthoic acid (259)....
Scheme 41: Synthesis protocol for 6-hydroxy-2,3-benzotropone (239) from benzosuberone (162).
Scheme 42: Various reactions via 6-hydroxy-2,3-benzotropone (239).
Scheme 43: Photoreaction of 6-hydroxy-2,3-benzotropone (239).
Scheme 44: Synthesis of 7-hydroxy-2,3-benzotropone (241) from benzosuberone (162).
Scheme 45: Synthesis strategy for 7-hydroxy-2,3-benzotropone (241) from ketone 276.
Scheme 46: Synthesis of 7-hydroxy-2,3-benzotropone (241) from β-naphthoquinone (280).
Scheme 47: Synthesis of 7-hydroxy-2,3-benzotropone (241) from bicyclic endoperoxide 213.
Scheme 48: Synthesis of 7-hydroxy-2,3-benzotropone (241) by ring-closing metathesis.
Figure 12: Various monosubstitution products 289–291 of 7-hydroxy-2,3-benzotropone (241).
Scheme 49: Reaction of 7-hydroxy-2,3-benzotropone (241) with various reagents.
Scheme 50: Synthesis of 4-hydroxy-2,3-benzotropones 174 and 304 from diketones 300/301.
Scheme 51: Catalytic hydrogenation of diketones 300 and 174.
Scheme 52: Synthesis of halo-benzotropones from alkoxy-naphthalenes 306, 307 and 310.
Figure 13: Unexpected byproducts 313–315 during synthesis of chlorobenzotropone 309.
Figure 14: Some halobenzotropones and their cycloadducts.
Scheme 53: Multisep synthesis of 2-chlorobenzotropone 309.
Scheme 54: A multistep synthesis of 2-bromo-benzotropone 26.
Scheme 55: A multistep synthesis of bromo-2,3-benzotropones 311 and 316.
Scheme 56: Oxidation reactions of 8-bromo-5H-benzo[7]annulene (329) with some oxidants.
Scheme 57: Synthesis of 2-bromo-4,5-benzotropone (26).
Scheme 58: Synthesis of 6-chloro-2,3-benzotropone (335) using LiCl and proposed intermediate 336.
Scheme 59: Reaction of 7-bromo-2,3-benzotropone (316) with methylamine.
Scheme 60: Reactions of bromo-2,3-benzotropones 26 and 311 with dimethylamine.
Scheme 61: Reactions of bromobenzotropones 311 and 26 with NaOMe.
Scheme 62: Reactions of bromobenzotropones 26 and 312 with t-BuOK in the presence of DPIBF.
Scheme 63: Cobalt-catalyzed reductive cross-couplings of 7-bromo-2,3-benzotropone (316) with cyclic α-bromo en...
Figure 15: Cycloadduct 357 and its di-π-methane rearrangement product 358.
Scheme 64: Catalytic hydrogenation of 2-chloro-4,5-benzotropone (311).
Scheme 65: Synthesis of dibromo-benzotropones from benzotropones.
Scheme 66: Bromination/dehydrobromination of benzosuberone (162).
Scheme 67: Some transformations of isomeric dibromo-benzotropones 261A/B.
Scheme 68: Transformations of benzotropolone 239B to halobenzotropolones 369–371.
Figure 16: Bromobenzotropolones 372–376 and 290 prepared via bromination/dehydrobromination strategy.
Scheme 69: Synthesis of some halobenzotropolones 289, 377 and 378.
Figure 17: Bromo-chloro-derivatives 379–381 prepared via chlorination.
Scheme 70: Synthesis of 7-iodo-3,4-benzotropolone (382).
Scheme 71: Hydrogenation of bromobenzotropolones 369 and 370.
Scheme 72: Debromination reactions of mono- and dibromides 290 and 375.
Figure 18: Nitratation and oxidation products of some halobenzotropolenes.
Scheme 73: Azo-coupling reactions of some halobenzotropolones 294, 375 and 378.
Figure 19: Four possible isomers of dibenzotropones 396–399.
Figure 20: Resonance structures of tribenzotropone (400).
Scheme 74: Two synthetic pathways for tribenzotropone (400).
Scheme 75: Synthesis of tribenzotropone (400) from dibenzotropone 399.
Scheme 76: Synthesis of tribenzotropone (400) from 9,10-phenanthraquinone (406).
Scheme 77: Synthesis of tribenzotropone (400) from trifluoromethyl-substituted arene 411.
Figure 21: Dibenzosuberone (414).
Figure 22: Reduction products 415 and 416 of tribenzotropone (400).
Figure 23: Structures of tribenzotropone dimethyl ketal 417 and 4-phenylfluorenone (412) and proposed intermed...
Figure 24: Structures of benzylidene- and methylene-9H-tribenzo[a,c,e][7]annulenes 419 and 420 and chiral phos...
Figure 25: Structures of tetracyclic alcohol 422, p-quinone methide 423 and cation 424.
Figure 26: Structures of host molecules 425–427.
Scheme 78: Synthesis of non-helical overcrowded derivatives syn/anti-431.
Figure 27: Hexabenzooctalene 432.
Figure 28: Structures of possible eight isomers 433–440 of naphthotropone.
Scheme 79: Synthesis of naphthotropone 437 starting from 1-phenylcycloheptene (441).
Scheme 80: Synthesis of 10-hydroxy-11H-cyclohepta[a]naphthalen-11-one (448) from diester 445.
Scheme 81: Synthesis of naphthotropone 433.
Scheme 82: Synthesis of naphthotropones 433 and 434 via cycloaddition reaction.
Scheme 83: Synthesis of naphthotropone 434 starting from 452.
Figure 29: Structures of tricarbonyl(tropone)irons 458, and possible cycloadducts 459.
Scheme 84: Synthesis of naphthotropone 436.
Scheme 85: Synthesis of precursor 465 for naphthotropone 435.
Scheme 86: Generation of naphthotropone 435 from 465.
Figure 30: Structures of tropylium cations 469 and 470.
Figure 31: Structures of tropylium ions 471+.BF4−, 472+.BF4−, and 473+.BF4−.
Scheme 87: Synthesis of tropylium ions 471+.BF4− and 479+.ClO4−.
Scheme 88: Synthesis of 1- and 2-methylanthracene (481 and 482) via carbene–carbene rearrangement.
Figure 32: Trapping products 488–490.
Scheme 89: Generation and chemistry of a naphthoannelated cycloheptatrienylidene-cycloheptatetraene intermedia...
Scheme 90: Proposed intermediates and reaction pathways for adduct 498.
Scheme 91: Exited-state intramolecular proton transfer of 505.
Figure 33: Benzoditropones 506 and 507.
Scheme 92: Synthesis of benzoditropone 506e.
Scheme 93: Synthetic approaches for dibenzotropone 507 via tropone (1).
Scheme 94: Formation mechanisms of benzoditropone 507 and 516 via 515.
Scheme 95: Synthesis of benzoditropones 525 and 526 from pyromellitic dianhydride (527).
Figure 34: Possible three benzocyclobutatropones 534–536.
Scheme 96: Synthesis of benzocyclobutatropones 534 and 539.
Scheme 97: Synthesis attempts for benzocyclobutatropone 545.
Scheme 98: Generation and trapping of symmetric benzocyclobutatropone 536.
Scheme 99: Synthesis of chloro-benzocyclobutatropone 552 and proposed mechanism of fluorenone derivatives.
Scheme 100: Synthesis of tropolone analogue 559.
Scheme 101: Synthesis of tropolones 561 and 562.
Figure 35: o/p-Tropoquinone rings (563 and 564) and benzotropoquinones (565–567).
Scheme 102: Synthesis of benzotropoquinone 566.
Scheme 103: Synthesis of benzotropoquinone 567 via a Diels–Alder reaction.
Figure 36: Products 575–577 through 1,2,3-benzotropoquinone hydrate 569.
Scheme 104: Structures 578–582 prepared from tropoquinone 567.
Figure 37: Two possible structures 583 and 584 for dibenzotropoquinone, and precursor compound 585 for 583.
Scheme 105: Synthesis of saddle-shaped ketone 592 using dibenzotropoquinone 584.
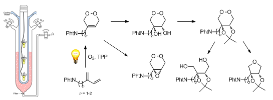
Beilstein J. Org. Chem. 2017, 13, 644–647, doi:10.3762/bjoc.13.63
Graphical Abstract
Scheme 1: Top: The natural product deoxynojirimycin and two analogues and marketed drugs Glyset and Zavesca. ...
Scheme 2: Synthesis of Boc- and Pht-protected diene substrates for endoperoxide synthesis. TBA-Cl = tetrabuty...
Scheme 3: Synthesis of endoperoxides 17–19 by [4 + 2]-cycloaddition of dienes 14–16 with singlet oxygen. The ...
Scheme 4: Dihydroxylation and protection of endoperoxides 18 and 19 to provide novel building blocks 20–23 fo...
Beilstein J. Org. Chem. 2016, 12, 1647–1748, doi:10.3762/bjoc.12.162
Graphical Abstract
Figure 1: The named transformations considered in this review.
Scheme 1: The Baeyer–Villiger oxidation.
Scheme 2: The general mechanism of the peracid-promoted Baeyer–Villiger oxidation.
Scheme 3: General mechanism of the Lewis acid-catalyzed Baeyer–Villiger rearrangement.
Scheme 4: The theoretically studied mechanism of the BV oxidation reaction promoted by H2O2 and the Lewis aci...
Scheme 5: Proton movements in the transition states of the Baeyer–Villiger oxidation.
Scheme 6: The dependence of the course of the Baeyer–Villiger oxidation on the type of O–O-bond cleavage in t...
Scheme 7: The acid-catalyzed Baeyer–Villiger oxidation of cyclic epoxy ketones 22.
Scheme 8: Oxidation of isophorone oxide 29.
Scheme 9: Synthesis of acyl phosphate 32 from acyl phosphonate 31.
Scheme 10: Synthesis of aflatoxin B2 (36).
Scheme 11: The Baeyer–Villiger rearrangement of ketones 37 to lactones 38.
Scheme 12: Synthesis of 3,4-dimethoxybenzoic acid (40) via Baeyer–Villiger oxidation.
Scheme 13: Oxone transforms α,β-unsaturated ketones 43 into vinyl acetates 44.
Scheme 14: The Baeyer–Villiger oxidation of ketones 45 using diaryl diselenide and hydrogen peroxide.
Scheme 15: Baeyer–Villiger oxidation of (E)-2-methylenecyclobutanones.
Scheme 16: Oxidation of β-ionone (56) by H2O2/(BnSe)2 with formation of (E)-2-(2,6,6-trimethylcyclohex-1-en-1-...
Scheme 17: The mechanism of oxidation of ketones 58a–f by hydrogen peroxide in the presence of arsonated polys...
Scheme 18: Oxidation of ketone (58b) by H2O2 to 6-methylcaprolactone (59b) catalyzed by Pt complex 66·BF4.
Scheme 19: Oxidation of ketones 67 with H2O2 in the presence of [(dppb}Pt(µ-OH)]22+.
Scheme 20: The mechanism of oxidation of ketones 67 in the presence of [(dppb}Pt(µ-OH)]22+ and H2O2.
Scheme 21: Oxidation of benzaldehydes 69 in the presence of the H2O2/MeReO3 system.
Scheme 22: Oxidation of acetophenones 72 in the presence of the H2O2/MeReO3 system.
Scheme 23: Baeyer–Villiger oxidation of 2-adamantanone (45c) in the presence of Sn-containing mesoporous silic...
Scheme 24: Aerobic Baeyer–Villiger oxidation of ketones 76 using metal-free carbon.
Scheme 25: A regioselective Baeyer-Villiger oxidation of functionalized cyclohexenones 78 into a dihydrooxepin...
Scheme 26: The oxidation of aldehydes and ketones 80 by H2O2 catalyzed by Co4HP2Mo15V3O62.
Scheme 27: The cleavage of ketones 82 with hydrogen peroxide in alkaline solution.
Scheme 28: Oxidation of ketones 85 to esters 86 with H2O2–urea in the presence of KHCO3.
Scheme 29: Mechanism of the asymmetric oxidation of cyclopentane-1,2-dione 87a with the Ti(OiPr)4/(+)DET/t-BuO...
Scheme 30: The oxidation of cis-4-tert-butyl-2-fluorocyclohexanone (93) with m-chloroperbenzoic acid.
Scheme 31: The mechanism of the asymmetric oxidation of 3-substituted cyclobutanone 96a in the presence of chi...
Scheme 32: Enantioselective Baeyer–Villiger oxidation of cyclic ketones 98.
Scheme 33: Regio- and enantioselective Baeyer–Villiger oxidation of cyclic ketones 101.
Scheme 34: The proposed mechanism of the Baeyer–Villiger oxidation of acetal 105f.
Scheme 35: Synthesis of hydroxy-10H-acridin-9-one 117 from tetramethoxyanthracene 114.
Scheme 36: The Baeyer–Villiger oxidation of the fully substituted pyrrole 120.
Scheme 37: The Criegee rearrangement.
Scheme 38: The mechanism of the Criegee reaction of a peracid with a tertiary alcohol 122.
Scheme 39: Criegee rearrangement of decaline ethylperoxoate 127 into ketal 128.
Scheme 40: The ionic cleavage of 2-methoxy-2-propyl perester 129.
Scheme 41: The Criegee rearrangement of α-methoxy hydroperoxide 136.
Scheme 42: Synthesis of enol esters and acetals via the Criegee rearrangement.
Scheme 43: Proposed mechanism of the transformation of 1-hydroperoxy-2-oxabicycloalkanones 147a–d.
Scheme 44: Transformation of 3-hydroxy-1,2-dioxolanes 151 into diketone derivatives 152.
Scheme 45: Criegee rearrangement of peroxide 153 with the mono-, di-, and tri-O-insertion.
Scheme 46: The sequential Criegee rearrangements of adamantanes 157a,b.
Scheme 47: Synthesis of diaryl carbonates 160a–d from triarylmethanols 159a–d through successive oxygen insert...
Scheme 48: The synthesis of sesquiterpenes 162 from ketone 161 with a Criegee rearrangement as one key step.
Scheme 49: Synthesis of trans-hydrindan derivatives 164, 165.
Scheme 50: The Hock rearrangement.
Scheme 51: The general scheme of the cumene process.
Scheme 52: The Hock rearrangement of aliphatic hydroperoxides.
Scheme 53: The mechanism of solvolysis of brosylates 174a–c and spiro cyclopropyl carbinols 175a–c in THF/H2O2....
Scheme 54: The fragmentation mechanism of hydroperoxy acetals 178 to esters 179.
Scheme 55: The acid-catalyzed rearrangement of phenylcyclopentyl hydroperoxide 181.
Scheme 56: The peroxidation of tertiary alcohols in the presence of a catalytic amount of acid.
Scheme 57: The acid-catalyzed reaction of bicyclic secondary alcohols 192 with hydrogen peroxide.
Scheme 58: The photooxidation of 5,6-disubstituted 3,4-dihydro-2H-pyrans 196.
Scheme 59: The oxidation of tertiary alcohols 200a–g, 203a,b, and 206.
Scheme 60: Transformation of functional peroxide 209 leading to 2,3-disubstitued furans 210 in one step.
Scheme 61: The synthesis of carbazoles 213 via peroxide rearrangement.
Scheme 62: The construction of C–N bonds using the Hock rearrangement.
Scheme 63: The synthesis of moiety 218 from 217 which is a structural motif in the antitumor–antibiotic of CC-...
Scheme 64: The in vivo oxidation steps of cholesterol (219) by singlet oxygen.
Scheme 65: The proposed mechanism of the rearrangement of cholesterol-5α-OOH 220.
Scheme 66: Photochemical route to artemisinin via Hock rearrangement of 223.
Scheme 67: The Kornblum–DeLaMare rearrangement.
Scheme 68: Kornblum–DeLaMare transformation of 1-phenylethyl tert-butyl peroxide (225).
Scheme 69: The synthesis 4-hydroxyenones 230 from peroxide 229.
Scheme 70: The Kornblum–DeLaMare rearrangement of peroxide 232.
Scheme 71: The reduction of peroxide 234.
Scheme 72: The Kornblum–DeLaMare rearrangement of endoperoxide 236.
Scheme 73: The rearrangement of peroxide 238 under Kornblum–DeLaMare conditions.
Scheme 74: The proposed mechanism of rearrangement of peroxide 238.
Scheme 75: The Kornblum–DeLaMare rearrangement of peroxides 242a,b.
Scheme 76: The base-catalyzed rearrangements of bicyclic endoperoxides having electron-withdrawing substituent...
Scheme 77: The base-catalyzed rearrangements of bicyclic endoperoxides 249a,b having electron-donating substit...
Scheme 78: The base-catalyzed rearrangements of bridge-head substituted bicyclic endoperoxides 251a,b.
Scheme 79: The Kornblum–DeLaMare rearrangement of hydroperoxide 253.
Scheme 80: Synthesis of β-hydroxy hydroperoxide 254 from endoperoxide 253.
Scheme 81: The amine-catalyzed rearrangement of bicyclic endoperoxide 263.
Scheme 82: The base-catalyzed rearrangement of meso-endoperoxide 268 into 269.
Scheme 83: The photooxidation of 271 and subsequent Kornblum–DeLaMare reaction.
Scheme 84: The Kornblum–DeLaMare rearrangement as one step in the oxidation reaction of enamines.
Scheme 85: The Kornblum–DeLaMare rearrangement of 3,5-dihydro-1,2-dioxenes 284, 1,2-dioxanes 286, and tert-but...
Scheme 86: The Kornblum–DeLaMare rearrangement of epoxy dioxanes 290a–d.
Scheme 87: Rearrangement of prostaglandin H2 292.
Scheme 88: The synthesis of epicoccin G (297).
Scheme 89: The Kornblum–DeLaMare rearrangement used in the synthesis of phomactin A.
Scheme 90: The Kornblum–DeLaMare rearrangement in the synthesis of 3H-quinazolin-4-one 303.
Scheme 91: The Kornblum–DeLaMare rearrangement in the synthesis of dolabriferol (308).
Scheme 92: Sequential transformation of 3-substituted 2-pyridones 309 into 3-hydroxypyridine-2,6-diones 311 in...
Scheme 93: The Kornblum–DeLaMare rearrangement of peroxide 312 into hydroxy enone 313.
Scheme 94: The Kornblum–DeLaMare rearrangement in the synthesis of polyfunctionalized carbonyl compounds 317.
Scheme 95: The Kornblum–DeLaMare rearrangement in the synthesis of (Z)-β-perfluoroalkylenaminones 320.
Scheme 96: The Kornblum–DeLaMare rearrangement in the synthesis of γ-ketoester 322.
Scheme 97: The Kornblum–DeLaMare rearrangement in the synthesis of diterpenoids 326 and 328.
Scheme 98: The synthesis of natural products hainanolidol (331) and harringtonolide (332) from peroxide 329.
Scheme 99: The synthesis of trans-fused butyrolactones 339 and 340.
Scheme 100: The synthesis of leucosceptroid C (343) and leucosceptroid P (344) via the Kornblum–DeLaMare rearra...
Scheme 101: The Dakin oxidation of arylaldehydes or acetophenones.
Scheme 102: The mechanism of the Dakin oxidation.
Scheme 103: A solvent-free Dakin reaction of aromatic aldehydes 356.
Scheme 104: The organocatalytic Dakin oxidation of electron-rich arylaldehydes 358.
Scheme 105: The Dakin oxidation of electron-rich arylaldehydes 361.
Scheme 106: The Dakin oxidation of arylaldehydes 358 in water extract of banana (WEB).
Scheme 107: A one-pot approach towards indolo[2,1-b]quinazolines 364 from indole-3-carbaldehydes 363 through th...
Scheme 108: The synthesis of phenols 367a–c from benzaldehydes 366a-c via acid-catalyzed Dakin oxidation.
Scheme 109: Possible transformation paths of the highly polarized boric acid coordinated H2O2–aldehyde adduct 3...
Scheme 110: The Elbs oxidation of phenols 375 to hydroquinones.
Scheme 111: The mechanism of the Elbs persulfate oxidation of phenols 375 affording p-hydroquinones 376.
Scheme 112: Oxidation of 2-pyridones 380 under Elbs persulfate oxidation conditions.
Scheme 113: Synthesis of 3-hydroxy-4-pyridone (384) via an Elbs oxidation of 4-pyridone (382).
Scheme 114: The Schenck rearrangement.
Scheme 115: The Smith rearrangement.
Scheme 116: Three main pathways of the Schenck rearrangement.
Scheme 117: The isomerization of hydroperoxides 388 and 389.
Scheme 118: Trapping of dioxacyclopentyl radical 392 by oxygen.
Scheme 119: The hypothetical mechanism of the Schenck rearrangement of peroxide 394.
Scheme 120: The autoxidation of oleic acid (397) with the use of labeled isotope 18O2.
Scheme 121: The rearrangement of 18O-labeled hydroperoxide 400 under an atmosphere of 16O2.
Scheme 122: The rearrangement of the oleate-derived allylic hydroperoxides (S)-421 and (R)-425.
Scheme 123: Mechanisms of Schenck and Smith rearrangements.
Scheme 124: The rearrangement and cyclization of 433.
Scheme 125: The Wieland rearrangement.
Scheme 126: The rearrangement of bis(triphenylsilyl) 439 or bis(triphenylgermyl) 441 peroxides.
Scheme 127: The oxidative transformation of cyclic ketones.
Scheme 128: The hydroxylation of cyclohexene (447) in the presence of tungstic acid.
Scheme 129: The oxidation of cyclohexene (447) under the action of hydrogen peroxide.
Scheme 130: The reaction of butenylacetylacetone 455 with hydrogen peroxide.
Scheme 131: The oxidation of bridged 1,2,4,5-tetraoxanes.
Scheme 132: The proposed mechanism for the oxidation of bridged 1,2,4,5-tetraoxanes.
Scheme 133: The rearrangement of ozonides.
Scheme 134: The acid-catalyzed oxidative rearrangement of malondialdehydes 462 under the action of H2O2.
Scheme 135: Pathways of the Lewis acid-catalyzed cleavage of dialkyl peroxides 465 and ozonides 466.
Scheme 136: The mechanism of the transformation of (tert-butyldioxy)cyclohexanedienones 472.
Scheme 137: The synthesis of Vitamin K3 from 472a.
Scheme 138: Proposed mechanism for the transformation of 478d into silylated endoperoxide 479d.
Scheme 139: The rearrangement of hydroperoxide 485 to form diketone 486.
Scheme 140: The base-catalyzed rearrangement of cyclic peroxides 488a–g.
Scheme 141: Synthesis of chiral epoxides and aldols from peroxy hemiketals 491.
Scheme 142: The multistep transformation of (R)-carvone (494) to endoperoxides 496a–e.
Scheme 143: The decomposition of anthracene endoperoxide 499.
Scheme 144: Synthesis of esters 503 from aldehydes 501 via rearrangement of peroxides 502.
Scheme 145: Two possible paths for the base-promoted decomposition of α-azidoperoxides 502.
Scheme 146: The Story decomposition of cyclic diperoxide 506a.
Scheme 147: The Story decomposition of cyclic triperoxide 506b.
Scheme 148: The thermal rearrangement of endoperoxides A into diepoxides B.
Scheme 149: The transformation of peroxide 510 in the synthesis of stemolide (511).
Scheme 150: The possible mechanism of the rearrangement of endoperoxide 261g.
Scheme 151: The photooxidation of indene 517.
Scheme 152: The isomerization of ascaridole (523).
Scheme 153: The isomerization of peroxide 525.
Scheme 154: The thermal transformation of endoperoxide 355.
Scheme 155: The photooxidation of cyclopentadiene (529) at a temperature higher than 0 °C.
Scheme 156: The thermal rearrangement of endoperoxides 538a,b.
Scheme 157: The transformation of peroxides 541.
Scheme 158: The thermal rearrangements of strained cyclic peroxides.
Scheme 159: The thermal rearrangement of diacyl peroxide 551 in the synthesis of C4-epi-lomaiviticin B core 553....
Scheme 160: The 1O2 oxidation of tryptophan (554) and rearrangement of dioxetane intermediate 555.
Scheme 161: The Fe(II)-promoted cleavage of aryl-substituted bicyclic peroxides.
Scheme 162: The proposed mechanism of the Fe(II)-promoted rearrangement of 557a–c.
Scheme 163: The reaction of dioxolane 563 with Fe(II) sulfate.
Scheme 164: Fe(II)-promoted rearrangement of 1,2-dioxane 565.
Scheme 165: Fe(II) cysteinate-promoted rearrangement of 1,2-dioxolane 568.
Scheme 166: The transformation of 1,2-dioxanes 572a–c under the action of FeCl2.
Scheme 167: Fe(II) cysteinate-promoted transformation of tetraoxane 574.
Scheme 168: The CoTPP-catalyzed transformation of bicyclic endoperoxides 600a–d.
Scheme 169: The CoTPP-catalyzed transformation of epoxy-1,2-dioxanes.
Scheme 170: The Ru(II)-catalyzed reactions of 1,4-endoperoxide 261g.
Scheme 171: The Ru(II)-catalyzed transformation as a key step in the synthesis of elyiapyrone A (610) from 1,4-...
Scheme 172: Peroxides with antimalarial activity.
Scheme 173: The interaction of iron ions with artemisinin (616).
Scheme 174: The interaction of FeCl2 with 1,2-dioxanes 623, 624.
Scheme 175: The mechanism of reaction 623 and 624 with Fe(II)Cl2.
Scheme 176: The reaction of bicyclic natural endoperoxides G3-factors 631–633 with FeSO4.
Scheme 177: The transformation of terpene cardamom peroxide 639.
Scheme 178: The different ways of the cleavage of tetraoxane 643.
Scheme 179: The LC–MS analysis of interaction of tetraoxane 646 with iron(II)heme 647.
Scheme 180: The rearrangement of 3,6-epidioxy-1,10-bisaboladiene (EDBD, 649).
Scheme 181: Easily oxidized substrates.
Scheme 182: Biopathway of synthesis of prostaglandins.
Scheme 183: The reduction and rearrangements of isoprostanes.
Scheme 184: The partial mechanism for linoleate 658 oxidation.
Scheme 185: The transformation of lipid hydroperoxide.
Scheme 186: The acid-catalyzed cleavage of the product from free-radical oxidation of cholesterol (667).
Scheme 187: Two pathways of catechols oxidation.
Scheme 188: Criegee-like or Hock-like rearrangement of the intermediate hydroperoxide 675 in dioxygenase enzyme...
Scheme 189: Carotinoides 679 cleavage by carotenoid cleavage dioxygenases.
Beilstein J. Org. Chem. 2016, 12, 314–327, doi:10.3762/bjoc.12.34
Graphical Abstract
Figure 1: Flow chart of the typical characterization of chemical signals from microbial interactions. (1) Che...
Figure 2: Multilateral microbe–insect interactions. (1) Insect–symbiont interactions with both partners benef...
Figure 3: a) Interactions between bacterial (endo)symbionts and insects with both partners benefiting from th...
Figure 4: Multilateral microbial interactions in fungus-growing insects. (1) Insect cultivar: protects and sh...
Figure 5: Small molecules (chemical mediators) play key roles in maintaining garden homeostasis in fungus-gro...
Figure 6: Secondary metabolites isolated from Actinobacteria from fungus-growing termites. Microtermolide A (...
Figure 7: Secondary metabolites from bacterial mutualists of solitary insects. Bafilomycin A1 (21), bafilomyc...
Figure 8: Beneficial interactions (1) between fungal symbionts and insects.
Figure 9: Secondary metabolites isolated from fungal symbionts. Cerulenin (30), helvolic acid (31), lepiochlo...
Figure 10: Predatory interactions, (1) entomopathogenic fungi use insect as prey.
Figure 11: Entomopathogenic fungi use secondary metabolites as insecticidal compounds to kill their prey. Dest...
Beilstein J. Org. Chem. 2014, 10, 1272–1281, doi:10.3762/bjoc.10.128
Graphical Abstract
Figure 1: Selected examples of endoperoxide-containing natural products.
Scheme 1: Endoperoxide formation via cation radicals. In both examples, single electron oxidation is followed...
Scheme 2: Diversification strategy for endoperoxide synthesis by single electron transfer. E*red vs SCE [20].
Figure 2: ORTEP of 3a.
Scheme 3: Proposed mechanism for endoperoxide synthesis from tethered dienes.
Scheme 4: Competing formal [3,3] pathway.
Beilstein J. Org. Chem. 2014, 10, 34–114, doi:10.3762/bjoc.10.6
Graphical Abstract
Figure 1: Five and six-membered cyclic peroxides.
Figure 2: Artemisinin and semi-synthetic derivatives.
Scheme 1: Synthesis of 3-hydroxy-1,2-dioxolanes 3a–c.
Scheme 2: Synthesis of dioxolane 6.
Scheme 3: Photooxygenation of oxazolidines 7a–d with formation of spiro-fused oxazolidine-containing dioxolan...
Scheme 4: Oxidation of cyclopropanes 10a–e and 11a–e with preparation of 1,2-dioxolanes 12a–e.
Scheme 5: VO(acac)2-catalyzed oxidation of silylated bicycloalkanols 13a–c.
Scheme 6: Mn(II)-catalyzed oxidation of cyclopropanols 15a–g.
Scheme 7: Oxidation of aminocyclopropanes 20a–c.
Scheme 8: Synthesis of aminodioxolanes 24.
Figure 3: Trifluoromethyl-containing dioxolane 25.
Scheme 9: Synthesis of 1,2-dioxolanes 27a–e by the oxidation of cyclopropanes 26a–e.
Scheme 10: Photoinduced oxidation of methylenecyclopropanes 28.
Scheme 11: Irradiation-mediated oxidation.
Scheme 12: Application of diazene 34 for dioxolane synthesis.
Scheme 13: Mn(OAc)3-catalyzed cooxidation of arylacetylenes 37a–h and acetylacetone with atmospheric oxygen.
Scheme 14: Peroxidation of (2-vinylcyclopropyl)benzene (40).
Scheme 15: Peroxidation of 1,4-dienes 43a,b.
Scheme 16: Peroxidation of 1,5-dienes 46.
Scheme 17: Peroxidation of oxetanes 53a,b.
Scheme 18: Peroxidation of 1,6-diene 56.
Scheme 19: Synthesis of 3-alkoxy-1,2-dioxolanes 62a,b.
Scheme 20: Synthesis of spiro-bis(1,2-dioxolane) 66.
Scheme 21: Synthesis of dispiro-1,2-dioxolanes 68, 70, 71.
Scheme 22: Synthesis of spirohydroperoxydioxolanes 75a,b.
Scheme 23: Synthesis of spirohydroperoxydioxolane 77 and dihydroperoxydioxolane 79.
Scheme 24: Ozonolysis of azepino[4,5-b]indole 80.
Scheme 25: SnCl4-mediated fragmentation of ozonides 84a–l in the presence of allyltrimethylsilane.
Scheme 26: SnCl4-mediated fragmentation of bicyclic ozonide 84m in the presence of allyltrimethylsilane.
Scheme 27: MCl4-mediated fragmentation of alkoxyhydroperoxides 96 in the presence of allyltrimethylsilane.
Scheme 28: SnCl4-catalyzed reaction of monotriethylsilylperoxyacetal 108 with alkene 109.
Scheme 29: SnCl4-catalyzed reaction of triethylsilylperoxyacetals 111 with alkenes.
Scheme 30: Desilylation of tert-butyldimethylsilylperoxy ketones 131a,b followed by cyclization.
Scheme 31: Deprotection of peroxide 133 followed by cyclization.
Scheme 32: Asymmetric peroxidation of methyl vinyl ketones 137a–e.
Scheme 33: Et2NH-catalyzed intramolecular cyclization.
Scheme 34: Synthesis of oxodioxolanes 143a–j.
Scheme 35: Haloperoxidation accompanied by intramolecular ring closure.
Scheme 36: Oxidation of triterpenes 149a–d with Na2Cr2O7/N-hydroxysuccinimide.
Scheme 37: Curtius and Wolff rearrangements to form 1,2-dioxolane ring-retaining products.
Scheme 38: Oxidative desilylation of peroxide 124.
Scheme 39: Synthesis of dioxolane 158, a compound containing the aminoquinoline antimalarial pharmacophore.
Scheme 40: Diastereomers of plakinic acid A, 162a and 162b.
Scheme 41: Ozonolysis of alkenes.
Scheme 42: Cross-ozonolysis of alkenes 166 with carbonyl compounds.
Scheme 43: Ozonolysis of the bicyclic cyclohexenone 168.
Scheme 44: Cross-ozonolysis of enol ethers 172a,b with cyclohexanone.
Scheme 45: Griesbaum co-ozonolysis.
Scheme 46: Reactions of aryloxiranes 177a,b with oxygen.
Scheme 47: Intramolecular formation of 1,2,4-trioxolane 180.
Scheme 48: Formation of 1,2,4-trioxolane 180 by the reaction of 1,5-ketoacetal 181 with H2O2.
Scheme 49: 1,2,4-Trioxolane 186 with tetrazole fragment.
Scheme 50: 1,2,4-Trioxolane 188 with a pyridine fragment.
Scheme 51: 1,2,4-Trioxolane 189 with pyrimidine fragment.
Scheme 52: Synthesis of aminoquinoline-containing 1,2,4-trioxalane 191.
Scheme 53: Synthesis of arterolane.
Scheme 54: Oxidation of diarylheptadienes 197a–c with singlet oxygen.
Scheme 55: Synthesis of hexacyclinol peroxide 200.
Scheme 56: Oxidation of enone 201 and enenitrile 203 with singlet oxygen.
Scheme 57: Synthesis of 1,2-dioxanes 207 by oxidative coupling of carbonyl compounds 206 and alkenes 205.
Scheme 58: 1,2-Dioxanes 209 synthesis by co-oxidation of 1,5-dienes 208 and thiols.
Scheme 59: Synthesis of bicyclic 1,2-dioxanes 212 with aryl substituents.
Scheme 60: Isayama–Mukaiyama peroxysilylation of 1,5-dienes 213 followed by desilylation under acidic conditio...
Scheme 61: Synthesis of bicycle 218 with an 1,2-dioxane ring.
Scheme 62: Intramolecular cyclization with an oxirane-ring opening.
Scheme 63: Inramolecular cyclization with the oxetane-ring opening.
Scheme 64: Intramolecular cyclization with the attack on a keto group.
Scheme 65: Peroxidation of the carbonyl group in unsaturated ketones 228 followed by cyclization of hydroperox...
Scheme 66: CsOH and Et2NH-catalyzed cyclization.
Scheme 67: Preparation of peroxyplakoric acid methyl ethers A and D.
Scheme 68: Hg(OAc)2 in 1,2-dioxane synthesis.
Scheme 69: Reaction of 1,4-diketones 242 with hydrogen peroxide.
Scheme 70: Inramolecular cyclization with oxetane-ring opening.
Scheme 71: Inramolecular cyclization with MsO fragment substitution.
Scheme 72: Synthesis of 1,2-dioxane 255a, a structurally similar compound to natural peroxyplakoric acids.
Scheme 73: Synthesis of 1,2-dioxanes based on the intramolecular cyclization of hydroperoxides containing C=C ...
Scheme 74: Use of BCIH in the intramolecular cyclization.
Scheme 75: Palladium-catalyzed cyclization of δ-unsaturated hydroperoxides 271a–e.
Scheme 76: Intramolecular cyclization of unsaturated peroxyacetals 273a–d.
Scheme 77: Allyltrimethylsilane in the synthesis of 1,2-dioxanes 276a–d.
Scheme 78: Intramolecular cyclization using the electrophilic center of the peroxycarbenium ion 279.
Scheme 79: Synthesis of bicyclic 1,2-dioxanes.
Scheme 80: Preparation of 1,2-dioxane 286.
Scheme 81: Di(tert-butyl)peroxalate-initiated radical cyclization of unsaturated hydroperoxide 287.
Scheme 82: Oxidation of 1,4-betaines 291a–d.
Scheme 83: Synthesis of aminoquinoline-containing 1,2-dioxane 294.
Scheme 84: Synthesis of the sulfonyl-containing 1,2-dioxane.
Scheme 85: Synthesis of the amido-containing 1,2-dioxane 301.
Scheme 86: Reaction of singlet oxygen with the 1,3-diene system 302.
Scheme 87: Synthesis of (+)-premnalane А and 8-epi-premnalane A.
Scheme 88: Synthesis of the diazo group containing 1,2-dioxenes 309a–e.
Figure 4: Plakortolide Е.
Scheme 89: Synthesis of 6-epiplakortolide Е.
Scheme 90: Application of Bu3SnH for the preparation of tetrahydrofuran-containing bicyclic peroxides 318a,b.
Scheme 91: Application of Bu3SnH for the preparation of lactone-containing bicyclic peroxides 320a–f.
Scheme 92: Dihydroxylation of the double bond in the 1,2-dioxene ring 321 with OsO4.
Scheme 93: Epoxidation of 1,2-dioxenes 324.
Scheme 94: Cyclopropanation of the double bond in endoperoxides 327.
Scheme 95: Preparation of pyridazine-containing bicyclic endoperoxides 334a–c.
Scheme 96: Synthesis of 1,2,4-trioxanes 337 by the hydroperoxidation of unsaturated alcohols 335 with 1O2 and ...
Scheme 97: Synthesis of sulfur-containing 1,2,4-trioxanes 339.
Scheme 98: BF3·Et2O-catalyzed synthesis of the 1,2,4-trioxanes 342a–g.
Scheme 99: Photooxidation of enol ethers or vinyl sulfides 343.
Scheme 100: Synthesis of tricyclic peroxide 346.
Scheme 101: Reaction of endoperoxides 348a,b derived from cyclohexadienes 347a,b with 1,4-cyclohexanedione.
Scheme 102: [4 + 2]-Cycloaddition of singlet oxygen to 2Н-pyrans 350.
Scheme 103: Synthesis of 1,2,4-trioxanes 354 using peroxysilylation stage.
Scheme 104: Epoxide-ring opening in 355 with H2O2 followed by the condensation of hydroxy hydroperoxides 356 wi...
Scheme 105: Peroxidation of unsaturated ketones 358 with the H2O2/CF3COOH/H2SO4 system.
Scheme 106: Synthesis of 1,2,4-trioxanes 362 through Et2NH-catalyzed intramolecular cyclization.
Scheme 107: Reduction of the double bond in tricyclic peroxides 363.
Scheme 108: Horner–Wadsworth–Emmons reaction in the presence of peroxide group.
Scheme 109: Reduction of ester group by LiBH4 in the presence of 1,2,4-trioxane moiety.
Scheme 110: Reductive amination of keto-containing 1,2,4-trioxane 370.
Scheme 111: Reductive amination of keto-containing 1,2,4-trioxane and a Fe-containing moiety.
Scheme 112: Acid-catalyzed reactions of Н2О2 with ketones and aldehydes 374.
Scheme 113: Cyclocondensation of carbonyl compounds 376a–d using Me3SiOOSiMe3/CF3SO3SiMe3.
Scheme 114: Peroxidation of 4-methylcyclohexanone (378).
Scheme 115: Synthesis of symmetrical tetraoxanes 382a,b from aldehydes 381a,b.
Scheme 116: Synthesis of unsymmetrical tetraoxanes using of MeReO3.
Scheme 117: Synthesis of symmetrical tetraoxanes using of MeReO3.
Scheme 118: Synthesis of symmetrical tetraoxanes using of MeReO3.
Scheme 119: MeReO3 in the synthesis of symmetrical tetraoxanes with the use of aldehydes.
Scheme 120: Preparation of unsymmmetrical 1,2,4,5-tetraoxanes with high antimalarial activity.
Scheme 121: Re2O7-Catalyzed synthesis of tetraoxanes 398.
Scheme 122: H2SO4-Catalyzed synthesis of steroidal tetraoxanes 401.
Scheme 123: HBF4-Catalyzed condensation of bishydroperoxide 402 with 1,4-cyclohexanedione.
Scheme 124: BF3·Et2O-Catalyzed reaction of gem-bishydroperoxides 404 with enol ethers 405 and acetals 406.
Scheme 125: HBF4-Catalyzed cyclocondensation of bishydroperoxide 410 with ketones.
Scheme 126: Synthesis of symmetrical and unsymmetrical tetraoxanes 413 from benzaldehydes 412.
Scheme 127: Synthesis of bridged 1,2,4,5-tetraoxanes 415a–l from β-diketones 414a–l and H2O2.
Scheme 128: Dimerization of zwitterions 417.
Scheme 129: Ozonolysis of verbenone 419.
Scheme 130: Ozonolysis of O-methyl oxime 424.
Scheme 131: Peroxidation of 1,1,1-trifluorododecan-2-one 426 with oxone.
Scheme 132: Intramolecular cyclization of dialdehyde 428 with H2O2.
Scheme 133: Tetraoxanes 433–435 as by-products in peroxidation of ketals 430–432.
Scheme 134: Transformation of triperoxide 436 in diperoxide 437.
Scheme 135: Preparation and structural modifications of tetraoxanes.
Scheme 136: Structural modifications of steroidal tetraoxanes.
Scheme 137: Synthesis of 1,2,4,5-tetraoxane 454 containing the fluorescent moiety.
Scheme 138: Synthesis of tetraoxane 458 (RKA182).
Beilstein J. Org. Chem. 2011, 7, 246–253, doi:10.3762/bjoc.7.33
Graphical Abstract
Scheme 1: General route to oxazolidinones via a palladium-catalyzed reaction.
Figure 1: Metal–olefin complexation from the anti-face of the double bond.
Figure 2: Cyclic systems with enantiotopic leaving groups at allylic positions.
Scheme 2: The cycloheptatriene–norcaradiene equilibrium.
Scheme 3: Synthesis of oxazolidinone 9 starting from carboxymethyl cycloheptatriene 5a.
Scheme 4: Attempted isomerization of 7 to 10.
Scheme 5: Synthesis of oxazolidinones 17 and 20.
Scheme 6: The mechanism for the formation of oxazolidinones [3].
Figure 3: Nucleophilic attack on the double bond from the leaving group's side.
Beilstein J. Org. Chem. 2010, 6, No. 15, doi:10.3762/bjoc.6.15
Graphical Abstract
Scheme 1: Synthesis of bis-carbamate 12 and oxazolidinone 13.
Scheme 2: Mechanism of the palladium-catalyzed ionization/cyclization reaction.
Scheme 3: Synthesis of aminocyclitol analogue 6.
Figure 1: The thermal ellipsoid plot of the single crystal X-ray crystallographic structure of 18.
Scheme 4: Synthesis of oxazolidone 23.
Scheme 5: Mechanism of the palladium-catalyzed ionization/cyclization reaction in dichloro biscarbamate 22.
Scheme 6: Synthesis of dichloroaminocyclitol 7.
Figure 2: 1H NMR NOE spectrum of compound 7.