Search for "acid hydrolysis" in Full Text gives 58 result(s) in Beilstein Journal of Organic Chemistry.
Beilstein J. Org. Chem. 2025, 21, 2103–2172, doi:10.3762/bjoc.21.165
Graphical Abstract
Figure 1: C2–C6 biobased carbonyl building blocks.
Scheme 1: Proposed (2 + 2) route to glycolaldehyde and glycolic acid from erythritol by Cu/AC catalyst (AC = ...
Scheme 2: Reductive amination of GCA.
Scheme 3: N-Formylation of secondary amines by reaction with GCA.
Scheme 4: Synthesis and conversion of hydroxy acetals to cyclic acetals.
Scheme 5: Synthesis of 3-(indol-3-yl)-2,3-dihydrofurans via three-component reaction of glycolaldehyde, indol...
Scheme 6: BiCl3-catalyzed synthesis of benzo[a]carbazoles from 2-arylindoles and α-bromoacetaldehyde ethylene...
Scheme 7: Cu/NCNSs-based conversion of glycerol to glycolic acid and other short biobased acids.
Scheme 8: E. coli-based biotransformation of C1 source molecules (CH4, CO2 and CO) towards C2 glycolic acid.
Scheme 9: N-Formylation of amines with C2 (a) or C3 (b) biomass-based feedstocks.
Scheme 10: Methods for the formation of propanoic acid (PA) from lactic acid (LA).
Scheme 11: Co-polymerization of biobased lactic acid and glycolic acid via a bicatalytic process.
Scheme 12: Oxidation of α-hydroxy acids by tetrachloroaurate(III) in acetic acid–sodium acetate buffer medium.
Figure 2: Selective catalytic pathways for the conversion of lactic acid (LA).
Scheme 13: Synthesis of 1,3-PDO via cross-aldol reaction between formaldehyde and acetaldehyde to 3-hydroxypro...
Scheme 14: Hydrothermal conversion of 1,3-dihydroxy-2-propane and 2,3-dihydroxypropanal to methylglyoxal.
Scheme 15: FLS-catalyzed formose reaction to synthesize GA and DHA.
Scheme 16: GCA and DHA oxidation products of glycerol and isomerization of GCA to DHA under flow conditions us...
Scheme 17: Acid-catalyzed reactions of DHA with alcohols.
Scheme 18: Synthesis of dihydroxyacetone phosphate from dihydroxyacetone.
Scheme 19: Bifunctional acid–base catalyst DHA conversion into lactic acid via pyruvaldehyde or fructose forma...
Scheme 20: Catalytic one-pot synthesis of GA and co-synthesis of formamides and formates from DHA.
Scheme 21: (a) Synthesis of furan derivatives and (b) synthesis of thiophene derivative by cascade [3 + 2] ann...
Scheme 22: Brønsted acidic ionic liquid catalyzed synthesis of benzo[a]carbazole from renewable acetol and 2-p...
Scheme 23: Asymmetric hydrogenation of α-hydroxy ketones to 1,2-diols.
Scheme 24: Synthesis of novel 6-(substituted benzylidene)-2-methylthiazolo [2,3-b]oxazol-5(6H)-one from 1-hydr...
Scheme 25: ʟ-Proline-catalyzed synthesis of anti-diols from hydroxyacetone and aldehydes.
Scheme 26: C–C-bond-formation reactions of a biomass-based feedstock aromatic aldehyde (C5) and hydroxyacetone...
Scheme 27: Ethanol upgrading to C4 bulk chemicals via the thiamine (VB1)-catalyzed acetoin condensation.
Scheme 28: One-pot sequential chemoenzymatic synthesis of 2-aminobutane-1,4-diol and 1,2,4-butanetriol via 1,4...
Scheme 29: Synthesis of 1,4-dihydroxybutan-2-one by microbial transformation.
Scheme 30: Conversion of polyols by [neocuproine)Pd(OAc)]2(OTf)2] to α-hydroxy ketones.
Scheme 31: Chemoselective oxidation of alcohols with chiral palladium-based catalyst 2.
Scheme 32: Electrochemical transformation of furfural to 5-hydroxy-2(5H)-furanone (HFO).
Scheme 33: Selective hydrodeoxygenation of HFO and oxidation to γ-butyrolactone (GBL).
Scheme 34: Photosensitized oxygenation of furan towards HFO via ozonide intermediates.
Scheme 35: Conversion of furfural to HFO and MAN by using mesoporous carbon nitride (SGCN) as photocatalyst.
Scheme 36: Synthesis of HFO from furan derivatives.
Scheme 37: Photooxidation of furfural to 5-hydroxy-2(5H)-furanone (HFO).
Scheme 38: Synthesis of Friedel–Crafts indole adduct from HFO.
Scheme 39: Conversion of HFO to α,γ-substituted chiral γ-lactones.
Scheme 40: Tautomeric transformation of HFO to formylacrylic acid.
Scheme 41: Hydrolysis of HFO to succinic acid in aqueous solution.
Scheme 42: Substitution and condensation reactions of 5-hydroxy-2(5H)-furanone (HFO).
Scheme 43: (a) Conversion of HFO towards valuable C4 chemicals and (b) anodic oxidation of 5-hydroxy-2(5H)-fur...
Figure 3: Conversion of HFO towards other natural and synthetic substances.
Scheme 44: Conversion of furfural to maleic anhydride (reaction a: VOx/Al2O3; reaction b: VPO).
Scheme 45: Conversion of furfural into succinic acid.
Scheme 46: Electro‑, photo‑, and biocatalysis for one-pot selective conversions of furfural into C4 chemicals.
Scheme 47: Production route of furfural from hemicellulose.
Scheme 48: Mechanism for xylose dehydration to furfural through a choline xyloside intermediate.
Scheme 49: Conversion of furfural to furfuryl alcohol and its derivatives.
Scheme 50: Conversion of furfural to furfuryl alcohol and 3-(2-furyl)acrolein.
Scheme 51: The aerobic oxidative condensation of biomass-derived furfural and linear alcohols.
Scheme 52: The single-step synthesis of 2-pentanone from furfural.
Scheme 53: Electrocatalytic coupling reaction of furfural and levulinic acid.
Scheme 54: Conversion of furfural to m-xylylenediamine.
Scheme 55: Conversion of furfural to tetrahydrofuran-derived amines.
Scheme 56: Formation of trans-4,5-diamino-cyclopent-2-enones from furfural.
Scheme 57: Production of pyrrole and proline from furfural.
Scheme 58: Synthesis of 1‑(trifluoromethyl)-8-oxabicyclo[3.2.1]oct-3-en-2-ones from furfural.
Scheme 59: Conversion of furfural to furfural-derived diacids.
Scheme 60: A telescope protocol derived from furfural and glycerol.
Scheme 61: A tandem cyclization of furfural and 5,5-dimethyl-1,3-cyclohexanedione.
Scheme 62: A Ugi four-component reaction to construct furfural-based polyamides.
Scheme 63: One-pot synthesis of γ-acyloxy-Cy7 from furfural.
Scheme 64: Dimerization–Piancatelli sequence toward humins precursors from furfural.
Scheme 65: Conversion of furfural to CPN.
Scheme 66: Synthesis of jet fuels range cycloalkanes from CPN and lignin-derived vanillin.
Scheme 67: Solar-energy-driven synthesis of high-density biofuels from CPN.
Scheme 68: Reductive amination of CPN to cyclopentylamine.
Scheme 69: Asymmetric hydrogenation of C=O bonds of exocyclic α,β-unsaturated cyclopentanones.
Scheme 70: Preparation of levulinic acid via the C5 route (route a) or C6 route (routes b1 and b2).
Scheme 71: Mechanism of the rehydration of HMF to levulinic acid and formic acid.
Scheme 72: Important levulinic acid-derived chemicals.
Scheme 73: Direct conversion of levulinic acid to pentanoic acid.
Scheme 74: Catalytic aerobic oxidation of levulinic acid to citramalic acid.
Scheme 75: Conversion of levulinic acid to 1,4-pentanediol (a) see ref. [236]; b) see ref. [237]; c) see ref. [238]; d) see r...
Scheme 76: Selective production of 2-butanol through hydrogenolysis of levulinic acid.
Scheme 77: General reaction pathways proposed for the formation of 5MPs from levulinic acid.
Scheme 78: Selective reductive amination of levulinic acid to N-substituted pyrroles.
Scheme 79: Reductive amination of levulinic acid to chiral pyrrolidinone.
Scheme 80: Reductive amination of levulinic acid to non-natural chiral γ-amino acid.
Scheme 81: Nitrogen-containing chemicals derived from levulinic acid.
Scheme 82: Preparation of GVL from levulinic acid by dehydration and hydrogenation.
Scheme 83: Ruthenium-catalyzed levulinic acid to chiral γ-valerolactone.
Scheme 84: Catalytic asymmetric hydrogenation of levulinic acid to chiral GVL.
Scheme 85: Three steps synthesis of ε-caprolactam from GVL.
Scheme 86: Multistep synthesis of nylon 6,6 from GVL.
Scheme 87: Preparation of MeGVL by α-alkylation of GVL.
Scheme 88: Ring-opening polymerization of five-membered lactones.
Scheme 89: Synthesis of GVL-based ionic liquids.
Scheme 90: Preparation of butene isomers from GVL under Lewis acid conditions.
Scheme 91: Construction of C5–C12 fuels from GVL over nano-HZSM-5 catalysts.
Scheme 92: Preparation of alkyl valerate from GVL via ring opening/reduction/esterification sequence.
Scheme 93: Construction of 4-acyloxypentanoic acids from GVL.
Scheme 94: Synthesis of 1,4-pentanediol (PDO) from GVL.
Scheme 95: Construction of novel cyclic hemiketal platforms via self-Claisen condensation of GVL.
Scheme 96: Copper-catalyzed lactamization of GVL.
Figure 4: Main scaffolds obtained from HMF.
Scheme 97: Biginelli reactions towards HMF-containing dihydropyrimidinones.
Scheme 98: Hantzsch dihydropyridine synthesis involving HMF.
Scheme 99: The Kabachnik–Fields reaction involving HMF.
Scheme 100: Construction of oxazolidinone from HMF.
Scheme 101: Construction of rhodamine-furan hybrids from HMF.
Scheme 102: A Groebke–Blackburn–Bienaymé reaction involving HMF.
Scheme 103: HMF-containing benzodiazepines by [4 + 2 + 1] cycloadditions.
Scheme 104: Synthesis of fluorinated analogues of α-aryl ketones.
Scheme 105: Synthesis of HMF derived disubstituted γ-butyrolactone.
Scheme 106: Functionalized aromatics from furfural and HMF.
Scheme 107: Diels–Alder adducts from HMF or furfural with N-methylmaleimide.
Scheme 108: Pathway of the one-pot conversion of HMF into phthalic anhydride.
Scheme 109: Photocatalyzed preparation of humins (L-H) from HMF mixed with spoiled HMF residues (LMW-H) and fur...
Scheme 110: Asymmetric dipolar cycloadditions on HMF.
Scheme 111: Dipolar cycloadditions of HMF based nitrones to 3,4- and 3,5-substituted isoxazolidines.
Scheme 112: Production of δ-lactone-fused cyclopenten-2-ones from HMF.
Scheme 113: Aza-Piancatelli access to aza-spirocycles from HMF-derived intermediates.
Scheme 114: Cross-condensation of furfural, acetone and HMF into C13, C14 and C15 products.
Scheme 115: Base-catalyzed aldol condensation/dehydration sequences from HMF.
Scheme 116: Condensation of HMF and active methylene nitrile.
Scheme 117: MBH reactions involving HMF.
Scheme 118: Synthesis of HMF-derived ionic liquids.
Scheme 119: Reductive amination/enzymatic acylation sequence towards HMF-based surfactants.
Scheme 120: The formation of 5-chloromethylfurfural (CMF).
Scheme 121: Conversion of CMF to HMF, levulinic acid, and alkyl levulinates.
Scheme 122: Conversion of CMF to CMFCC and FDCC.
Scheme 123: Conversion of CMF to BHMF.
Scheme 124: Conversion of CMF to DMF.
Scheme 125: CMF chlorine atom substitutions toward HMF ethers and esters.
Scheme 126: Introduction of carbon nucleophiles in CMF.
Scheme 127: NHC-catalyzed remote enantioselective Mannich-type reactions of CMF.
Scheme 128: Conversion of CMF to promising biomass-derived dyes.
Scheme 129: Radical transformation of CMF with styrenes.
Scheme 130: Synthesis of natural herbicide δ-aminolevulinic acid from CMF.
Scheme 131: Four step synthesis of the drug ranitidine from CMF.
Scheme 132: Pd/CO2 cooperative catalysis for the production of HHD and HXD.
Scheme 133: Different ruthenium (Ru) catalysts for the ring-opening of 5-HMF to HHD.
Scheme 134: Proposed pathways for preparing HXD from HMF.
Scheme 135: MCP formation and uses.
Scheme 136: Cu(I)-catalyzed highly selective oxidation of HHD to 2,5-dioxohexanal.
Scheme 137: Synthesis of N‑substituted 3‑hydroxypyridinium salts from 2,5-dioxohexanal.
Scheme 138: Ru catalyzed hydrogenations of HHD to 1,2,5-hexanetriol (a) see ref. [396]; b) see ref. [397]).
Scheme 139: Aviation fuel range quadricyclanes produced by HXD.
Scheme 140: Synthesis of HDGK from HXD and glycerol as a chain extender.
Scheme 141: Synthesis of serinol pyrrole from HXD and serinol.
Scheme 142: Synthesis of pyrroles from HXD and nitroarenes.
Scheme 143: Two-step production of PX from cellulose via HXD.
Scheme 144: Preparation of HCPN from HMF via hydrogenation and ring rearrangement.
Scheme 145: Suggested pathways from HMF to HCPN.
Scheme 146: α-Alkylation of HCPN with ethylene gas.
Scheme 147: Synthesis of 3-(hydroxymethyl)cyclopentylamine from HMF via reductive amination of HCPN.
Scheme 148: Production of LGO and Cyrene® from biomass.
Scheme 149: Synthesis of HBO from LGO and other applications.
Scheme 150: Construction of m-Cyrene® homopolymer.
Scheme 151: Conversion of Cyrene® to THFDM and 1,6-hexanediol.
Scheme 152: RAFT co-polymerization of LGO and butadienes.
Scheme 153: Polycondensation of HO-LGOL and diols with dimethyl adipate.
Scheme 154: Self-condensation of Cyrene® and Claisen–Schmidt reactions.
Scheme 155: Synthesis of 5-amino-2-(hydroxymethyl)tetrahydropyran from Cyrene®.
Beilstein J. Org. Chem. 2025, 21, 1116–1125, doi:10.3762/bjoc.21.89
Graphical Abstract
Figure 1: Schematic depiction of the α-CD channels containing the polyionic {[K(OH2)6]+[AuBr4]−}n chain insid...
Figure 2: Complexes of α-CD with MAuBr4 salts. Left) Co-precipitation yields from aqueous solutions of α-CD (...
Figure 3: Crystal structures of the complexes of α-CD with KAuCN2 salts, with tubular representation for α-CD...
Figure 4: Solid-state structure of the complex 2β-CD·HAuBr4·DBC. (a) Capped-stick and space-filling represent...
Figure 5: Schematic depiction of the selective removal of AuCl4− and its precipitation as solid gold from e-w...
Beilstein J. Org. Chem. 2024, 20, 2776–2783, doi:10.3762/bjoc.20.233
Graphical Abstract
Figure 1: Various applications of tetrafluoroethylenated molecules.
Scheme 1: Precedent synthetic approaches to optically active compounds possessing a tetrafluoroethylene group...
Scheme 2: Synthetic strategy for preparing fluorine-containing amines via [1,3]-proton shift reactions.
Scheme 3: Preparation of the substrates used in this study.
Scheme 4: Derivatization of (S)-20b to (S)-23b for determining the optical purity of (S)-20b.
Scheme 5: Substrate scope for the present [1,3]-proton shift reaction. aYields are determined by 19F NMR spec...
Scheme 6: Proposed reaction mechanism.
Beilstein J. Org. Chem. 2024, 20, 2599–2607, doi:10.3762/bjoc.20.219
Graphical Abstract
Figure 1: Derivatives of 6-methyluracil and 2-hydroxypyridine demonstrating pharmacological activity: 5-hydro...
Scheme 1: Peroxydisulfate oxidation of 6-methyluracil and 1,3,6-trimethyluracil. Сonditions: a) (NH4)2S2O8, 2...
Scheme 2: Peroxydisulfate oxidation of pyridine and 2-hydroxypyridine. Сonditions: a) (NH4)2S2O8, 24% NaOH, 4...
Scheme 3: Potential mechanism of peroxydisulfate oxidation of 6-methyluracil and 1,3,6-trimethyluracil.
Beilstein J. Org. Chem. 2024, 20, 2225–2233, doi:10.3762/bjoc.20.190
Graphical Abstract
Scheme 1: Synthesis of α-keto thioesters and β-keto amides.
Scheme 2: Synthesis of β-keto thioesters 2. Reaction conditions A: 1 (0.25 mmol), DBSA (87.9 mg, 0.25 mmol), H...
Scheme 3: Synthesis of β-keto amides 3. Reaction conditions B: 1 (0.25 mmol), NaOH (0.75 mmol, 30 mg), H2O (1...
Scheme 4: Gram-scale hydrolysis reactions of 1a.
Scheme 5: Proposed mechanism for formation of β-keto thioesters 2 and β-keto amides 3.
Beilstein J. Org. Chem. 2024, 20, 2024–2077, doi:10.3762/bjoc.20.178
Graphical Abstract
Scheme 1: Consecutive three-component synthesis of pyrazoles 1 via in situ-formed 1,3-diketones 2 [44].
Scheme 2: Consecutive three-component synthesis of 4-ethoxycarbonylpyrazoles 5 via SmCl3-catalyzed acylation ...
Scheme 3: Consecutive four-component synthesis of 1-(thiazol-2-yl)pyrazole-3-carboxylates 8 [51].
Scheme 4: Three-component synthesis of thiazolylpyrazoles 17 via in situ formation of acetoacetylcoumarins 18 ...
Scheme 5: Consecutive pseudo-four-component and four-component synthesis of pyrazoles 21 from sodium acetylac...
Scheme 6: Consecutive three-component synthesis of 1-substituted pyrazoles 24 from boronic acids, di(Boc)diim...
Scheme 7: Consecutive three-component synthesis of N-arylpyrazoles 25 via in situ formation of aryl-di(Boc)hy...
Scheme 8: Consecutive three-component synthesis of 1,3,4-substituted pyrazoles 27 and 28 from methylhydrazine...
Scheme 9: Consecutive three-component synthesis of 4-allylpyrazoles 32 via oxidative allylation of 1,3-dicarb...
Scheme 10: Pseudo-five-component synthesis of tris(pyrazolyl)methanes 35 [61].
Scheme 11: Pseudo-three-component synthesis of 5-(indol-3-yl)pyrazoles 39 from 1,3,5-triketones 38 [64].
Scheme 12: Three-component synthesis of thiazolylpyrazoles 43 [65].
Scheme 13: Three-component synthesis of triazolo[3,4-b]-1,3,4-thiadiazin-3-yl substituted 5-aminopyrazoles 47 [67]....
Scheme 14: Consecutive three-component synthesis of 5-aminopyrazoles 49 via formation of β-oxothioamides 50 [68].
Scheme 15: Synthesis of 3,4-biarylpyrazoles 52 from aryl halides, α-bromocinnamaldehyde, and tosylhydrazine vi...
Scheme 16: Consecutive three-component synthesis of 3,4-substituted pyrazoles 57 from iodochromones 55 by Suzu...
Scheme 17: Pseudo-four-component synthesis of pyrazolyl-2-pyrazolines 59 by ring opening/ring closing cyclocon...
Scheme 18: Consecutive three-component synthesis of pyrazoles 61 [77].
Scheme 19: Three-component synthesis of pyrazoles 62 from malononitrile, aldehydes, and hydrazines [78-90].
Scheme 20: Four-component synthesis of pyrano[2,3-c]pyrazoles 63 [91].
Scheme 21: Three-component synthesis of persubstituted pyrazoles 65 from aldehydes, β-ketoesters, and hydrazin...
Scheme 22: Three-component synthesis of pyrazol-4-carbodithioates 67 [100].
Scheme 23: Regioselective three-component synthesis of persubstituted pyrazoles 68 catalyzed by ionic liquid [...
Scheme 24: Consecutive three-component synthesis of 4-halopyrazoles 69 and anellated pyrazoles 70 [102].
Scheme 25: Three-component synthesis of 2,2,2-trifluoroethyl pyrazole-5-carboxylates 72 [103].
Scheme 26: Synthesis of pyrazoles 75 in a one-pot process via carbonylative Heck coupling and subsequent cycli...
Scheme 27: Copper-catalyzed three-component synthesis of 1,3-substituted pyrazoles 76 [105].
Scheme 28: Pseudo-three-component synthesis of bis(pyrazolyl)methanes 78 by ring opening-ring closing cyclocon...
Scheme 29: Three-component synthesis of 1,4,5-substituted pyrazoles 80 [107].
Scheme 30: Consecutive three-component synthesis of 3,5-bis(fluoroalkyl)pyrazoles 83 [111].
Scheme 31: Consecutive three-component synthesis of difluoromethanesulfonyl-functionalized pyrazole 88 [114].
Scheme 32: Consecutive three-component synthesis of perfluoroalkyl-substituted fluoropyrazoles 91 [115].
Scheme 33: Regioselective consecutive three-component synthesis of 1,3,5-substituted pyrazoles 93 [116].
Scheme 34: Three-component synthesis of pyrazoles 96 mediated by trimethyl phosphite [117].
Scheme 35: One-pot synthesis of pyrazoles 99 via Liebeskind–Srogl cross-coupling/cyclocondensation [118].
Scheme 36: Synthesis of 1,3,5-substituted pyrazoles 101 via domino condensation/Suzuki–Miyaura cross-coupling ...
Scheme 37: Consecutive three-component synthesis of 1,3,5-trisubstituted pyrazoles 102 and 103 by Sonogashira ...
Scheme 38: Polymer analogous consecutive three-component synthesis of pyrazole-based polymers 107 [132].
Scheme 39: Synthesis of 1,3,5-substituted pyrazoles 108 by sequentially Pd-catalyzed Kumada–Sonogashira cycloc...
Scheme 40: Consecutive four-step one-pot synthesis of 1,3,4,5-substituted pyrazoles 110 [137].
Scheme 41: Four-component synthesis of pyrazoles 113, 115, and 117 via Sonogashira coupling and subsequent Suz...
Scheme 42: Consecutive four- or five-component synthesis for the preparation of 4-pyrazoly-1,2,3-triazoles 119...
Scheme 43: Four-component synthesis of pyrazoles 121 via alkynone formation by carbonylative Pd-catalyzed coup...
Scheme 44: Preparation of 3-azulenyl pyrazoles 124 by glyoxylation, decarbonylative Sonogashira coupling, and ...
Scheme 45: Four-component synthesis of a 3-indoloylpyrazole 128 [147].
Scheme 46: Two-step synthesis of 5-acylpyrazoles 132 via glyoxylation-Stephen–Castro sequence and subsequent c...
Scheme 47: Copper on iron mediated consecutive three-component synthesis of 3,5-substituted pyrazoles 136 [150].
Scheme 48: Consecutive three-component synthesis of 3-substituted pyrazoles 141 by Sonogashira coupling and su...
Scheme 49: Consecutive three-component synthesis of pyrazoles 143 initiated by Cu(I)-catalyzed carboxylation o...
Scheme 50: Consecutive three-component synthesis of benzamide-substituted pyrazoles 146 starting from N-phthal...
Scheme 51: Consecutive three-component synthesis of 1,3,5-substituted pyrazoles 148 [156].
Scheme 52: Three-component synthesis of 4-ninhydrin-substituted pyrazoles 151 [158].
Scheme 53: Consecutive four-component synthesis of 4-(oxoindol)-1-phenylpyrazole-3-carboxylates 155 [159].
Scheme 54: Three-component synthesis of pyrazoles 160 [160].
Scheme 55: Consecutive three-component synthesis of pyrazoles 165 [162].
Scheme 56: Consecutive three-component synthesis of 3,5-disubstituted and 3-substituted pyrazoles 168 and 169 ...
Scheme 57: Three-component synthesis of 3,4,5-substituted pyrazoles 171 via 1,3-dipolar cycloaddition of vinyl...
Scheme 58: Three-component synthesis of pyrazoles 173 and 174 from aldehydes, tosylhydrazine, and vinylidene c...
Scheme 59: Three-component synthesis of pyrazoles 175 from glyoxyl hydrates, tosylhydrazine, and electron-defi...
Scheme 60: Pseudo-four-component synthesis of pyrazoles 177 from glyoxyl hydrates, tosylhydrazine, and aldehyd...
Scheme 61: Consecutive three-component synthesis of pyrazoles 179 via Knoevenagel-cycloaddition sequence [179].
Scheme 62: Three-component synthesis of 5-dimethylphosphonate substituted pyrazoles 182 from aldehydes, the Be...
Scheme 63: Consecutive three-component synthesis of 5-(dimethyl phosphonate)-substituted pyrazoles 185 from al...
Scheme 64: Three-component synthesis of 5-(dimethyl phosphonate)-substituted pyrazoles 187 from aldehydes, the...
Scheme 65: Three-component synthesis of 5-diethylphosphonate/5-phenylsulfonyl substituted pyrazoles 189 from a...
Scheme 66: Pseudo-three-component synthesis of 3-(dimethyl phosphonate)-substituted pyrazoles 190 [185].
Scheme 67: Three-component synthesis of 3-trifluoromethylpyrazoles 193 [186].
Scheme 68: Consecutive three-component synthesis of 5-stannyl-substituted 4-fluoropyrazole 197 [191,192].
Scheme 69: Pseudo-three-component synthesis of 3,5-diacyl-4-arylpyrazoles 199 [195].
Scheme 70: Three-component synthesis of pyrazoles 204 via nitrilimines [196].
Scheme 71: Three-component synthesis of 1,3,5-substituted pyrazoles 206 via formation of nitrilimines and sali...
Scheme 72: Pseudo four-component synthesis of pyrazoles 209 from acetylene dicarboxylates 147, hydrazonyl chlo...
Scheme 73: Consecutive three-component synthesis of pyrazoles 213 via syndnones 214 [200].
Scheme 74: Consecutive three-component synthesis of pyrazoles 216 via in situ-formed diazomethinimines 217 [201].
Scheme 75: Consecutive three-component synthesis of 3-methylthiopyrazoles 219 from aldehydes, hydrazine, and 1...
Scheme 76: Three-component synthesis of 1,3,5-substituted pyrazoles 220 from aldehydes, hydrazines, and termin...
Scheme 77: Three-component synthesis of 1,3,4,5-substituted pyrazoles 222 from aldehydes, hydrazines, and DMAD ...
Scheme 78: Pseudo three-component synthesis of pyrazoles 224 from sulfonyl hydrazone and benzyl acrylate under...
Scheme 79: Titanium-catalyzed consecutive four-component synthesis of pyrazoles 225 via enamino imines 226 [211]. a...
Scheme 80: Titanium-catalyzed three-component synthesis of pyrazoles 227 via enhydrazino imine complex interme...
Scheme 81: Pseudo-three-component synthesis of pyrazoles 229 via Glaser coupling of terminal alkynes and photo...
Scheme 82: Copper(II)acetate-mediated three-component synthesis of pyrazoles 232 [216].
Scheme 83: Copper-catalyzed three-component synthesis of 1,3,4-substituted pyrazole 234 from oxime acetates, a...
Scheme 84: Three-component synthesis of 3-trifluoroethylpyrazoles 239 [218].
Scheme 85: Pseudo-three-component synthesis of 1,4-bisulfonyl-substituted pyrazoles 242 [219].
Scheme 86: Three-component synthesis of 4-hydroxypyrazole 246 [221].
Beilstein J. Org. Chem. 2024, 20, 1773–1784, doi:10.3762/bjoc.20.156
Graphical Abstract
Scheme 1: The use of α,β-unsaturated aldehydes in the Ugi reaction.
Scheme 2: Comparison of isocyanide conversion conditions.
Figure 1: Azomethines based on ethyl 4-acetyl-3,5-dimethyl-1H-pyrrole-2-carboxylate and 4-[(E)-1-chloro-3-oxo...
Figure 2: Molecular structure of ethyl (Z)-4-(3-(N-(4-bromophenyl)-2-chloroacetamido)-4-(tert-butylamino)-1-c...
Scheme 3: Hydrolysis of Ugi bisamide 5d in the presence of HCl. Conditions: (A) 5 equiv HCl, MeOH, 80 °C, 3 h...
Figure 3: Molecular structure of ethyl (E)-4-(4-(tert-butylamino)-3,4-dioxobut-1-en-1-yl)-3,5-dimethyl-1H-pyr...
Figure 4: Molecular structure of ethyl 4-(3-(N-(4-bromophenyl)-2-chloroacetamido)-4-(tert-butylamino)-4-oxobu...
Scheme 4: The Ugi-4CR with the participation of p-anisidine and benzyl isocyanide.
Scheme 5: Successful attempt at tandem one-pot coupling of the Ugi-4CR reaction and post-transformation of th...
Scheme 6: Plausible transformation sequence of the formation of amides 10 and ketobisamides 12.
Beilstein J. Org. Chem. 2024, 20, 1713–1745, doi:10.3762/bjoc.20.152
Graphical Abstract
Figure 1: Steroidal spiro heterocycles with remarkable pharmacological activity.
Scheme 1: Synthesis of the spirooxetanone 2. a) t-BuOK, THF, rt, 16%.
Scheme 2: Synthesis of the 17-spirooxetane derivative 7. a) HC≡C(CH2)2CH2OTBDPS, n-BuLi, THF, BF3·Et2O, −78 °...
Scheme 3: Pd-catalyzed carbonylation of steroidal alkynols to produce α-methylene-β-lactones at C-3 and C-17 ...
Scheme 4: Catalyst-free protocol to obtain functionalized spiro-lactones by an intramolecular C–H insertion. ...
Scheme 5: One-pot procedure from dienamides to spiro-β-lactams. a) 1. Ac2O, DMAP, Et3N, CH2Cl2, 2. malononitr...
Scheme 6: Spiro-γ-lactone 20 afforded from 7α-alkanamidoestrone derivative 17. a) HC≡CCH2OTHP, n-BuLi, THF, –...
Scheme 7: Synthesis of the 17-spiro-γ-lactone 23, a key intermediate to obtain spironolactone. a) Ethyl propi...
Scheme 8: Synthetic pathway to obtain 17-spirodihydrofuran-3(2H)-ones from 17-oxosteroids. a) 1-Methoxypropa-...
Scheme 9: One-pot procedure to obtain 17-spiro-2H-furan-3-one compounds. a) NaH, diethyl oxalate, benzene, rt...
Scheme 10: Synthesis of 17-spiro-2H-furan-3-one derivatives. a) RCH=NOH, N-chlorosuccinimide/CHCl3, 99%; b) H2...
Scheme 11: Intramolecular condensation of a γ-acetoxy-β-ketoester to synthesize spirofuranone 37. a) (CH3CN)2P...
Scheme 12: Synthesis of spiro 2,5-dihydrofuran derivatives. a) Allyl bromide, DMF, NaH, 0 °C to rt, 93%; b) G-...
Scheme 13: First reported synthesis of C-16 dispiropyrrolidine derivatives. a) Sarcosine, isatin, MeOH, reflux...
Scheme 14: Cycloadducts 47 with antiproliferative activity against human cancer cell lines. a) 1,4-Dioxane–MeO...
Scheme 15: Spiropyrrolidine compounds generated from (E)-16-arylidene steroids and different ylides. a) Acenap...
Scheme 16: 3-Spiropyrrolidines 52a–c obtained from ketones 50a–c. a) p-Toluenesulfonyl hydrazide, MeOH, rt; b)...
Scheme 17: 16-Spiropyrazolines from 16-methylene-13α-estrone derivatives. a) AgOAc, toluene, rt, 78–81%.
Scheme 18: 6-Spiroimidazolines 57 synthesized by a one-pot multicomponent reaction. a) R3-NC, T3P®, DMSO, 70 °...
Scheme 19: Synthesis of spiro-1,3-oxazolines 60, tested as progesterone receptor antagonist agents. a) CF3COCF3...
Scheme 20: Synthesis of spiro-1,3-oxazolidin-2-ones 63 and 66a,b. a) RNH2, EtOH, 70 °C, 70–90%; b) (CCl3O)2CO,...
Scheme 21: Formation of spiro 1,3-oxazolidin-2-one and spiro 2-substituted amino-4,5-dihydro-1,3-oxazoles from ...
Scheme 22: Synthesis of diastereomeric spiroisoxazolines 74 and 75. a) Ar-C(Cl)=N-OH, DIPEA, toluene, rt, 74 (...
Scheme 23: Spiro 1,3-thiazolidine derivatives 77–79 obtained from 2α-bromo-5α-cholestan-3-one 76. a) 2-aminoet...
Scheme 24: Method for the preparation of derivative 83. a) Benzaldehyde, MeOH, reflux, 77%; b) thioglycolic ac...
Scheme 25: Synthesis of spiro 1,3-thiazolidin-4-one derivatives from steroidal ketones. a) Aniline, EtOH, refl...
Scheme 26: Synthesis of spiro N-aryl-1,3-thiazolidin-4-one derivatives 91 and 92. a) Sulfanilamide, DMF, reflu...
Scheme 27: 1,2,4-Trithiolane dimers 94a–e selectively obtained from carbonyl derivatives. a) LR, CH2Cl2, reflu...
Scheme 28: Spiro 1,2,4-triazolidin-3-ones synthesized from semicarbazones. a) H2O2, CHCl3, 0 °C, 82–85%.
Scheme 29: Steroidal spiro-1,3,4-oxadiazoline 99 obtained in two steps from cholest-5-en-3-one (97). a) NH2NHC...
Scheme 30: Synthesis of spiro-1,3,4-thiadiazoline 101 by cyclization and diacetylation of thiosemicarbazone 100...
Scheme 31: Mono- and bis(1,3,4-thiadiazolines) obtained from estrane and androstane derivatives. a) H2NCSNHNH2...
Scheme 32: Different reaction conditions to synthesize spiro-1,3,2-oxathiaphospholanes 108 and 109.
Scheme 33: Spiro-δ-lactones derived from ADT and epi-ADT as inhibitors of 17β-HSDs. a) CH≡C(CH2)2OTHP, n-BuLi,...
Scheme 34: Spiro-δ-lactams 123a,b obtained in a five-step reaction sequence. a) (R)-(+)-tert-butylsulfinamide,...
Scheme 35: Steroid-coumarin conjugates as fluorescent DHT analogues to study 17-oxidoreductases for androgen m...
Scheme 36: 17-Spiro estradiolmorpholinones 130 bearing two types of molecular diversity. a) ʟ- or ᴅ-amino acid...
Scheme 37: Steroidal spiromorpholinones as inhibitors of enzyme 17β-HSD3. a) Methyl ester of ʟ- or ᴅ-leucine, ...
Scheme 38: Steroidal spiro-morpholin-3-ones achieved by N-alkylation or N-acylation of amino diols 141, follow...
Scheme 39: Straightforward method to synthesize a spiromorpholinone derivative from estrone. a) BnBr, K2CO3, CH...
Scheme 40: Pyrazolo[4,3-e][1,2,4]-triazine derivatives 152–154. a) 4-Aminoantipyrine, EtOH/DMF, reflux, 82%; b...
Scheme 41: One-pot procedure to synthesize spiro-1,3,4-thiadiazine derivatives. a) NH2NHCSCONHR, H2SO4, dioxan...
Scheme 42: 1,2,4-Trioxanes with antimalarial activity. a) 1. O2, methylene blue, CH3CN, 500 W tungsten halogen...
Scheme 43: Tetraoxanes 167 and 168 synthesized from ketones 163, 165 and 166. a) NaOH, iPrOH/H2O, 80 °C, 93%; ...
Scheme 44: 1,2,4,5-Tetraoxanes bearing a steroidal moiety and a cycloalkane. a) 30% H2O2/CH2Cl2/CH3CN, HCl, rt...
Scheme 45: Spiro-1,3,2-dioxaphosphorinanes obtained from estrone derivatives. a) KBH4, MeOH, THF or CH2Cl2; b)...
Scheme 46: Synthesis of steroidal spiro-ε-lactone 183. a) 1. Jones reagent, acetone, 0 °C to rt, 2. ClCOCOCl, ...
Scheme 47: Synthesis of spiro-2,3,4,7-tetrahydrooxepines 185 and 187 derived from mestranol and lynestrenol (38...
Beilstein J. Org. Chem. 2023, 19, 1604–1614, doi:10.3762/bjoc.19.117
Graphical Abstract
Figure 1: Structures of compounds 1–7.
Figure 2: Key HMBC (red arrows), H2BC (black bold lines), and COSY (blue bold lines) correlations in 1 and 2.
Figure 3: a) Simplified model structures 1′ and 2′ for GIAO and TD-DFT calculations. b) Comparison of experim...
Figure 4: Key HMBC (red arrows), H2BC (black bold lines), and COSY (blue bold lines) correlations in compound...
Figure 5: Comparison of experimental (black solid line) and calculated (red dashed line) ECD spectra of 3.
Figure 6: Anti-inflammatory effects of isolated sulfur-containing compounds. mRNA levels of a) IL-1β, b) IL-6...
Beilstein J. Org. Chem. 2023, 19, 991–997, doi:10.3762/bjoc.19.74
Graphical Abstract
Figure 1: Examples of natural and bioactive hydrogenated furo[3,2-c]pyridines.
Scheme 1: The described approaches to tetrahydrofuro[3,2-c]pyridines and our work.
Scheme 2: The synthesis of tetrahydrofuro[3,2-c]pyridines 4. Conditions: athe reaction was performed at 1 mmo...
Scheme 3: The acid-catalyzed reversible transformation of tetrahydrofuro[3,2-c]pyridine 4a and 3-(2-oxopropyl...
Scheme 4: Synthesis of tetrahydropyrrolo[3,2-c]pyridine 6a.
Scheme 5: Reactivity of tetrahydrofuro[3,2-c]pyridine 4a.
Beilstein J. Org. Chem. 2022, 18, 1017–1025, doi:10.3762/bjoc.18.102
Graphical Abstract
Figure 1: Representative natural azoxides.
Figure 2: Biosynthetic gene clusters of aliphatic azoxy natural products. Conserved proteins are colored acco...
Scheme 1: N2H4-detecting colorimetric assay.
Figure 3: Structures of azodyrecins (a) and new azodyrecin derivatives, azodyrecins D–G (7–10) (b). Key corre...
Figure 4: In vitro characterization of Ady1. Extracted ion chromatograms at m/z 329.3 (black) and m/z 343.3 (...
Scheme 2: Proposed biosynthetic pathway of azodyrecin.
Figure 5: Sequence similarity network of VlmA-like enzymes in the actinobacterial genomes in the Refseq datab...
Beilstein J. Org. Chem. 2022, 18, 738–745, doi:10.3762/bjoc.18.74
Graphical Abstract
Scheme 1: Approaches to the synthesis of alkyl 4-oxo-1,4-dihydropyridine-3-carboxylates.
Scheme 2: Synthesis of 4-oxo-1,4-dihydropyridine-3-carboxylates.
Scheme 3: Synthesis of Isoxazoles 11–13.
Scheme 4: Synthesis of isoxazoles 1.
Scheme 5: Synthesis of pyridones 2.
Scheme 6: Transformations of pyridones 2.
Beilstein J. Org. Chem. 2022, 18, 555–566, doi:10.3762/bjoc.18.58
Graphical Abstract
Figure 1: Chemical structures of compounds 1–9.
Figure 2: Structure elucidation of 1. (A) Key COSY, HMBC, and NOE correlations of 1. (B) Comparison of calcul...
Figure 3: Structure elucidation of 2. (A) Key COSY, HMBC, and NOE correlations of 2. (B) DP4+ analysis result...
Figure 4: Structure elucidation of 3. (A) Key COSY, HMBC, and NOE correlations of 3. (B) Comparison of calcul...
Figure 5: 2D NMR data of 4 and 5. (A) Key COSY and HMBC correlations of 4 and 5. (B) Key NOE correlations of 4...
Beilstein J. Org. Chem. 2022, 18, 200–207, doi:10.3762/bjoc.18.23
Graphical Abstract
Figure 1: Chemical structures of compounds 1–17 from W. nutans.
Figure 2: The key correlations observed in the 1H-1H COSY (bold bonds), HMBC (blue) correlations of 1 (record...
Figure 3: The key correlations observed in the 1H-1H COSY (bold bonds), HMBC (blue), ROESY (red) of 1 (record...
Beilstein J. Org. Chem. 2021, 17, 2329–2339, doi:10.3762/bjoc.17.151
Graphical Abstract
Figure 1: Chemical structures of compounds 1–19.
Figure 2: Key COSY and HMBC correlations of compounds 1–3, 15, and 16 and key NOESY correlation of 2.
Beilstein J. Org. Chem. 2021, 17, 1981–2025, doi:10.3762/bjoc.17.129
Graphical Abstract
Figure 1: Overview of the methods available for the synthesis of polysaccharides. For each method, advantages...
Figure 2: Overview of the classes of polysaccharides discussed in this review. Each section deals with polysa...
Scheme 1: Enzymatic and chemical polymerization approaches provide cellulose oligomers with a non-uniform dis...
Scheme 2: AGA of a collection of cellulose analogues obtained using BBs 6–9. Specifically placed modification...
Figure 3: Chemical structure of the different branches G, X, L, F commonly found in XGs. Names are given foll...
Scheme 3: AGA of XG analogues with defined side chains. The AGA cycle includes coupling (TMSOTf), Fmoc deprot...
Figure 4: Synthetic strategies and issues associated to the formation of the β(1–3) linkage.
Scheme 4: Convergent synthesis of β(1–3)-glucans using a regioselective glycosylation strategy.
Scheme 5: DMF-mediated 1,2-cis glycosylation. A) General mechanism and B) examples of α-glucans prepared usin...
Scheme 6: Synergistic glycosylation strategy employing a nucleophilic modulation strategy (TMSI and Ph3PO) in...
Scheme 7: Different approaches to produce xylans. A) Polymerization techniques including ROP, and B) enzymati...
Scheme 8: A) Synthesis of arabinofuranosyl-decorated xylan oligosaccharides using AGA. Representative compoun...
Scheme 9: Chemoenzymatic synthesis of COS utilizing a lysozyme-catalyzed transglycosylation reaction followed...
Scheme 10: Synthesis of COS using an orthogonal glycosylation strategy based on the use of two different LGs.
Scheme 11: Orthogonal N-PGs permitted the synthesis of COS with different PA.
Scheme 12: AGA of well-defined COS with different PA using two orthogonally protected BBs. The AGA cycle inclu...
Scheme 13: A) AGA of β(1–6)-N-acetylglucosamine hexasaccharide and dodecasaccharide. AGA includes cycles of co...
Figure 5: ‘Double-faced’ chemistry exemplified for ᴅ-Man and ʟ-Rha. Constructing β-Man linkages is considerab...
Figure 6: Implementation of a capping step after each glycosylation cycle for the AGA of a 50mer oligomannosi...
Scheme 14: AGA enabled the synthesis of a linear α(1–6)-mannoside 100mer 93 within 188 h and with an average s...
Scheme 15: The 151mer branched polymannoside was synthesized by a [30 + 30 + 30 + 30 + 31] fragment coupling. ...
Figure 7: PG stereocontrol strategy to obtain β-mannosides. A) The mechanism of the β-mannosylation reaction ...
Scheme 16: A) Mechanism of 1,2-cis stereoselective glycosylation using ManA donors. Once the ManA donor is act...
Figure 8: A) The preferred 4H3 conformation of the gulosyl oxocarbenium ion favors the attack of the alcohol ...
Scheme 17: AGA of type I rhamnans up to 16mer using disaccharide BB 115 and CNPiv PG. The AGA cycle includes c...
Figure 9: Key BBs for the synthesis of the O-antigen of Bacteroides vulgatus up to a 128mer (A) and the CPS o...
Figure 10: Examples of type I and type II galactans synthesized to date.
Figure 11: A) The DTBS PG stabilizes the 3H4 conformation of the Gal oxocarbenium ion favoring the attack of t...
Figure 12: Homogalacturonan oligosaccharides synthesized to date. Access to different patterns of methyl-ester...
Figure 13: GlfT2 from Mycobacterium tuberculosis catalyzes the sequential addition of UPD-Galf donor to a grow...
Figure 14: The poor reactivity of acceptor 137 hindered a stepwise synthesis of the linear galactan backbone a...
Scheme 18: AGA of a linear β(1–5) and β(1–6)-linked galactan 20mer. The AGA cycle includes coupling (NIS/TfOH)...
Figure 15: The 92mer arabinogalactan was synthesized using a [31 + 31 + 30] fragment coupling between a 31mer ...
Scheme 19: Synthesis of the branched arabinofuranose fragment using a six component one-pot synthesis. i) TTBP...
Figure 16: A) Chemical structure and SNFG of the representative disaccharide units forming the GAG backbones, ...
Figure 17: Synthetic challenges associated to the H/HS synthesis.
Scheme 20: Degradation of natural heparin and heparosan generated valuable disaccharides 150 and 151 that can ...
Scheme 21: A) The one-step conversion of cyanohydrin 156 to ʟ-iduronamide 157 represent the key step for the s...
Scheme 22: A) Chemoenzymatic synthesis of heparin structures, using different types of UDP activated natural a...
Scheme 23: Synthesis of the longest synthetic CS chain 181 (24mer) using donor 179 and acceptor 180 in an iter...
Scheme 24: AGA of a collection of HA with different lengths. The AGA cycle includes coupling (TfOH) and Lev de...
Beilstein J. Org. Chem. 2021, 17, 630–670, doi:10.3762/bjoc.17.55
Beilstein J. Org. Chem. 2021, 17, 245–272, doi:10.3762/bjoc.17.25
Graphical Abstract
Scheme 1: Synthesis of 1,1-difluoro-2,3-dimethylcyclopropane (2).
Scheme 2: Cyclopropanation via dehydrohalogenation of chlorodifluoromethane.
Scheme 3: Difluorocyclopropanation of methylstyrene 7 using dibromodifluoromethane and zinc.
Scheme 4: Synthesis of difluorocyclopropanes from the reaction of dibromodifluoromethane and triphenylphosphi...
Scheme 5: Generation of difluorocarbene in a catalytic two-phase system and its addition to tetramethylethyle...
Scheme 6: The reaction of methylstyrene 7 with chlorodifluoromethane (11) in the presence of a tetraarylarson...
Scheme 7: Pyrolysis of sodium chlorodifluoroacetate (12) in refluxing diglyme in the presence of alkene 13.
Scheme 8: Synthesis of boron-substituted gem-difluorocyclopropanes 16.
Scheme 9: Addition of sodium bromodifluoroacetate (17) to alkenes.
Scheme 10: Addition of sodium bromodifluoroacetate (17) to silyloxy-substituted cyclopropanes 20.
Scheme 11: Synthesis of difluorinated nucleosides.
Scheme 12: Addition of butyl acrylate (26) to difluorocarbene generated from TFDA (25).
Scheme 13: Addition of difluorocarbene to propargyl esters 27 and conversion of the difluorocyclopropenes 28 t...
Scheme 14: The generation of difluorocyclopropanes using MDFA 30.
Scheme 15: gem-Difluorocyclopropanation of styrene (32) using difluorocarbene generated from TMSCF3 (31) under...
Scheme 16: Synthesis of a gem-difluorocyclopropane derivative using HFPO (41) as a source of difluorocarbene.
Scheme 17: Cyclopropanation of (Z)-2-butene in the presence of difluorodiazirine (44).
Scheme 18: The cyclopropanation of 1-octene (46) using Seyferth's reagent (45) as a source of difluorocarbene.
Scheme 19: Alternative approaches for the difluorocarbene synthesis from trimethyl(trifluoromethyl)tin (48).
Scheme 20: Difluorocyclopropanation of cyclohexene (49).
Scheme 21: Synthesis of difluorocyclopropane derivative 53 using bis(trifluoromethyl)cadmium (51) as the diflu...
Scheme 22: Addition of difluorocarbene generated from tris(trifluoromethyl)bismuth (54).
Scheme 23: Addition of a stable (trifluoromethyl)zinc reagent to styrenes.
Scheme 24: The preparation of 2,2-difluorocyclopropanecarboxylic acids of type 58.
Scheme 25: Difluorocyclopropanation via Michael cyclization.
Scheme 26: Difluorocyclopropanation using N-acylimidazolidinone 60.
Scheme 27: Difluorocyclopropanation through the cyclization of phenylacetonitrile (61) and 1,2-dibromo-1,1-dif...
Scheme 28: gem-Difluoroolefins 64 for the synthesis of functionalized cyclopropanes 65.
Scheme 29: Preparation of aminocyclopropanes 70.
Scheme 30: Synthesis of fluorinated methylenecyclopropane 74 via selenoxide elimination.
Scheme 31: Reductive dehalogenation of (1R,3R)-75.
Scheme 32: Synthesis of chiral monoacetates by lipase catalysis.
Scheme 33: Transformation of (±)-trans-81 using Rhodococcus sp. AJ270.
Scheme 34: Transformation of (±)-trans-83 using Rhodococcus sp. AJ270.
Scheme 35: Hydrogenation of difluorocyclopropenes through enantioselective hydrocupration.
Scheme 36: Enantioselective transfer hydrogenation of difluorocyclopropenes with a Ru-based catalyst.
Scheme 37: The thermal transformation of trans-1,2-dichloro-3,3-difluorocyclopropane (84).
Scheme 38: cis–trans-Epimerization of 1,1-difluoro-2,3-dimethylcyclopropane.
Scheme 39: 2,2-Difluorotrimethylene diradical intermediate.
Scheme 40: Ring opening of stereoisomers 88 and 89.
Scheme 41: [1,3]-Rearrangement of alkenylcyclopropanes 90–92.
Scheme 42: Thermolytic rearrangement of 2,2-difluoro-1-vinylcyclopropane (90).
Scheme 43: Thermal rearrangement for ethyl 3-(2,2-difluoro)-3-phenylcyclopropyl)acrylates 93 and 95.
Scheme 44: Possible pathways of the ring opening of 1,1-difluoro-2-vinylcyclopropane.
Scheme 45: Equilibrium between 1,1-difluoro-2-methylenecyclopropane (96) and (difluoromethylene)cyclopropane 97...
Scheme 46: Ring opening of substituted 1,1-difluoro-2,2-dimethyl-3-methylenecyclopropane 98.
Scheme 47: 1,1-Difluorospiropentane rearrangement.
Scheme 48: Acetolysis of (2,2-difluorocyclopropyl)methyl tosylate (104) and (1,1-difluoro-2-methylcyclopropyl)...
Scheme 49: Ring opening of gem-difluorocyclopropyl ketones 106 and 108 by thiolate nucleophiles.
Scheme 50: Hydrolysis of gem-difluorocyclopropyl acetals 110.
Scheme 51: Ring-opening reaction of 2,2-difluorocyclopropyl ketones 113 in the presence of ionic liquid as a s...
Scheme 52: Ring opening of gem-difluorocyclopropyl ketones 113a by MgI2-initiated reaction with diarylimines 1...
Scheme 53: Ring-opening reaction of gem-difluorocyclopropylstannanes 117.
Scheme 54: Preparation of 1-fluorovinyl vinyl ketone 123 and the synthesis of 2-fluorocyclopentenone 124. TBAT...
Scheme 55: Iodine atom-transfer ring opening of 1,1-difluoro-2-(1-iodoalkyl)cyclopropanes 125a–c.
Scheme 56: Ring opening of bromomethyl gem-difluorocyclopropanes 130 and formation of gem-difluoromethylene-co...
Scheme 57: Ring-opening aerobic oxidation reaction of gem-difluorocyclopropanes 132.
Scheme 58: Dibrominative ring-opening functionalization of gem-difluorocyclopropanes 134.
Scheme 59: The selective formation of (E,E)- and (E,Z)-fluorodienals 136 and 137 from difluorocyclopropyl acet...
Scheme 60: Proposed mechanism for the reaction of difluoro(methylene)cyclopropane 139 with Br2.
Scheme 61: Thermal rearrangement of F2MCP 139 and iodine by CuI catalysis.
Scheme 62: Synthesis of 2-fluoropyrroles 142.
Scheme 63: Ring opening of gem-difluorocyclopropyl ketones 143 mediated by BX3.
Scheme 64: Lewis acid-promoted ring-opening reaction of 2,2-difluorocyclopropanecarbonyl chloride (148).
Scheme 65: Ring-opening reaction of the gem-difluorocyclopropyl ketone 106 by methanolic KOH.
Scheme 66: Hydrogenolysis of 1,1-difluoro-3-methyl-2-phenylcyclopropane (151).
Scheme 67: Synthesis of monofluoroalkenes 157.
Scheme 68: The stereoselective Ag-catalyzed defluorinative ring-opening diarylation of 1-trimethylsiloxy-2,2-d...
Scheme 69: Synthesis of 2-fluorinated allylic compounds 162.
Scheme 70: Pd-catalyzed cross-coupling reactions of gem-difluorinated cyclopropanes 161.
Scheme 71: The (Z)-selective Pd-catalyzed ring-opening sulfonylation of 2-(2,2-difluorocyclopropyl)naphthalene...
Figure 1: Structures of zosuquidar hydrochloride and PF-06700841.
Scheme 72: Synthesis of methylene-gem-difluorocyclopropane analogs of nucleosides.
Figure 2: Anthracene-difluorocyclopropane hybrid derivatives.
Figure 3: Further examples of difluorcyclopropanes in modern drug discovery.
Beilstein J. Org. Chem. 2020, 16, 2477–2483, doi:10.3762/bjoc.16.201
Graphical Abstract
Scheme 1: Pathway for the formation of ChNC and subsequently ChsNCs from bulk chitin.
Figure 1: TEM micrographs of (a) ChNCs and (b) ChsNCs. Both samples were stained and prepared on glow-dischar...
Scheme 2: Catalyst fabrication method for the deposition of Pd NPs onto chitin (PdNP@ChNC) and chitosan (PdNP...
Figure 2: TEM micrographs of (a) PdNP@ChNCs and (b) PdNP@ChsNCs. The samples were placed on glow discharged T...
Figure 3: High-resolution X-ray photoelectron spectroscopy of the Pd 3d region of (a) PdNP@ChNC and (b) PdNP@...
Beilstein J. Org. Chem. 2020, 16, 2073–2079, doi:10.3762/bjoc.16.174
Graphical Abstract
Figure 1: Pharmacologically active nonracemic phosphonates with heterocyclic moieties.
Figure 2: Starting nonracemic 4-nitro-2-oxophosphonates.
Scheme 1: Intermolecular N-methylation of reduction product 7.
Scheme 2: Synthesis of pyrrolidinyl phosphonic acids 11a–d.
Figure 3: ORTEP diagram of (2R,3R,4S)-10a.
Scheme 3: Synthesis of tetrahydropyranylphosphonates 13a–f via diastereoselective Henry/acetalyzation reactio...
Figure 4: ORTEP diagram of (2S,3R,4S,5S,6R)-13b.
Scheme 4: Synthesis of (3,4-dihydro-2H-pyran-5-yl)phosphonate 14.
Beilstein J. Org. Chem. 2020, 16, 1022–1050, doi:10.3762/bjoc.16.91
Graphical Abstract
Figure 1: Categories I–V of fluorinated phenylalanines.
Scheme 1: Synthesis of fluorinated phenylalanines via Jackson’s method.
Scheme 2: Synthesis of all-cis-tetrafluorocyclohexylphenylalanines.
Scheme 3: Synthesis of ʟ-4-[sulfono(difluoromethyl)]phenylalanine (nPt: neopentyl, TCE: trichloroethyl).
Scheme 4: Synthesis of ʟ-4-[sulfono(difluoromethyl)]phenylalanine derivatives 17.
Scheme 5: Synthesis of fluorinated Phe analogues from Cbz-protected aminomalonates.
Scheme 6: Synthesis of tetrafluorophenylalanine analogues via the 3-methyl-4-imidazolidinone auxiliary 25.
Scheme 7: Synthesis of tetrafluoro-Phe derivatives via chiral auxiliary 31.
Scheme 8: Synthesis of 2,5-difluoro-Phe and 2,4,5-trifluoro-Phe via Schöllkopf reagent 34.
Scheme 9: Synthesis of 2-fluoro- and 2,6-difluoro Fmoc-Phe derivatives starting from chiral auxiliary 39.
Scheme 10: Synthesis of 2-[18F]FPhe via chiral auxiliary 43.
Scheme 11: Synthesis of FPhe 49a via photooxidative cyanation.
Scheme 12: Synthesis of FPhe derivatives via Erlenmeyer azalactone synthesis.
Scheme 13: Synthesis of (R)- and (S)-2,5-difluoro Phe via the azalactone method.
Scheme 14: Synthesis of 3-bromo-4-fluoro-(S)-Phe (65).
Scheme 15: Synthesis of [18F]FPhe via radiofluorination of phenylalanine with [18F]F2 or [18F]AcOF.
Scheme 16: Synthesis of 4-borono-2-[18F]FPhe.
Scheme 17: Synthesis of protected 4-[18F]FPhe via arylstannane derivatives.
Scheme 18: Synthesis of FPhe derivatives via intermediate imine formation.
Scheme 19: Synthesis of FPhe derivatives via Knoevenagel condensation.
Scheme 20: Synthesis of FPhe derivatives 88a,b from aspartic acid derivatives.
Scheme 21: Synthesis of 2-(2-fluoroethyl)phenylalanine derivatives 93 and 95.
Scheme 22: Synthesis of FPhe derivatives via Zn2+ complexes.
Scheme 23: Synthesis of FPhe derivatives via Ni2+ complexes.
Scheme 24: Synthesis of 3,4,5-trifluorophenylalanine hydrochloride (109).
Scheme 25: Synthesis of FPhe derivatives via phenylalanine aminomutase (PAM).
Scheme 26: Synthesis of (R)-2,5-difluorophenylalanine 115.
Scheme 27: Synthesis of β-fluorophenylalanine via 2-amino-1,3-diol derivatives.
Scheme 28: Synthesis of β-fluorophenylalanine derivatives via the oxazolidinone chiral auxiliary 122.
Scheme 29: Synthesis of β-fluorophenylalanine from pyruvate hemiketal 130.
Scheme 30: Synthesis of β-fluorophenylalanine (136) via fluorination of β-hydroxyphenylalanine (137).
Scheme 31: Synthesis of β-fluorophenylalanine from aziridine derivatives.
Scheme 32: Synthesis of β-fluorophenylalanine 136 via direct fluorination of pyruvate esters.
Scheme 33: Synthesis of β-fluorophenylalanine via fluorination of ethyl 3-phenylpyruvate enol using DAST.
Scheme 34: Synthesis of β-fluorophenylalanine derivatives using photosensitizer TCB.
Scheme 35: Synthesis of β-fluorophenylalanine derivatives using Selectflour and dibenzosuberenone.
Scheme 36: Synthesis of protected β-fluorophenylalanine via aziridinium intermediate 150.
Scheme 37: Synthesis of β-fluorophenylalanine derivatives via fluorination of α-hydroxy-β-aminophenylalanine d...
Scheme 38: Synthesis of β-fluorophenylalanine derivatives from α- or β-hydroxy esters 152a and 155.
Scheme 39: Synthesis of a series of β-fluoro-Phe derivatives via Pd-catalyzed direct fluorination of β-methyle...
Scheme 40: Synthesis of series of β-fluorinated Phe derivatives using quinoline-based ligand 162 in the Pd-cat...
Scheme 41: Synthesis of β,β-difluorophenylalanine derivatives from 2,2-difluoroacetaldehyde derivatives 164a,b....
Scheme 42: Synthesis of β,β-difluorophenylalanine derivatives via an imine chiral auxiliary.
Scheme 43: Synthesis of α-fluorophenylalanine derivatives via direct fluorination of protected Phe 174.
Figure 2: Structures of PET radiotracers of 18FPhe derivatives.
Figure 3: Structures of melfufen (179) and melphalan (180) anticancer drugs.
Figure 4: Structure of gastrazole (JB95008, 181), a CCK2 receptor antagonist.
Figure 5: Dual CCK1/CCK2 antagonist 182.
Figure 6: Structure of sitagliptin (183), an antidiabetic drug.
Figure 7: Structure of retaglpitin (184) and antidiabetic drug.
Figure 8: Structure of evogliptin (185), an antidiabetic drug.
Figure 9: Structure of LY2497282 (186) a DPP-4 inhibitor for the treatment of type II diabetes.
Figure 10: Structure of ulimorelin (187).
Figure 11: Structure of GLP1R (188).
Figure 12: Structures of Nav1.7 blockers 189 and 190.
Beilstein J. Org. Chem. 2019, 15, 2968–2981, doi:10.3762/bjoc.15.293
Graphical Abstract
Figure 1: Chemical structures of the isolated compounds 1–6.
Figure 2: Experimental and TDDFT-calculated ECD spectra of compounds 1 (A), 2 (B), and 3 (C) in MeOH.
Figure 3: A) Selected COSY (bold bonds) and HMBC (red arrows) correlations for compounds 2 and 3. B) Partial ...
Figure 4: Chemical structures of selected, literature-known compounds that are related to this study.
Figure 5: HPLC–UV–vis profiles (200–600 nm) generated from the culture filtrate extracts of several isolates ...
Figure 6: HPLC–UV–vis profiles (200–600 nm) generated from the culture filtrate extracts of several isolates ...
Beilstein J. Org. Chem. 2019, 15, 2790–2797, doi:10.3762/bjoc.15.271
Graphical Abstract
Figure 1: Chemical structure of Notum inhibitor LP-922056 (1).
Scheme 1: Synthesis of LP-922056 (1). Reagents and conditionsa: (a) (COCl)2 (3.3 equiv), DMF, CH2Cl2, 55 °C ,...
Scheme 2: Chlorination of 6 with N-chlorosuccinimide (NCS). Reagents and conditions: (a) NCS (1.2 equiv), AcO...
Scheme 3: Improved synthesis of 5. Reagents and conditions: (a) NaOMe (5 equiv), 1,4-dioxane, 0 °C then rt, 1...
Figure 2: Concentrations of 1 in mouse following oral administration (p.o.) at 10 mg/kg.
Scheme 4: Preparation of amides 17. Representative reagents and conditionsa: (a) HBTU (1.1 equiv), iPr2NEt (2...
Beilstein J. Org. Chem. 2019, 15, 1984–1995, doi:10.3762/bjoc.15.194
Graphical Abstract
Figure 1: Structures of triptolide (1), triptonide (2), tripdiolide (3), 16-hydroxytriptolide (4), triptrioli...
Figure 2: Syntheses of triptolide.
Scheme 1: Berchtold’s synthesis of triptolide.
Scheme 2: Li’s formal synthesis of triptolide.
Scheme 3: van Tamelen’s asymmetric synthesis of triptonide and triptolide.
Scheme 4: Van Tamelen’s (method II) formal synthesis of triptolide.
Scheme 5: Sherburn’s formal synthesis of triptolide.
Scheme 6: van Tamelen’s biogenetic type total synthesis of triptolide.
Scheme 7: Yang’s total synthesis of triptolide.
Scheme 8: Key intermediates or transformations of routes J–N.
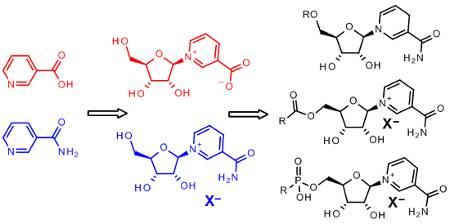
Beilstein J. Org. Chem. 2019, 15, 401–430, doi:10.3762/bjoc.15.36
Graphical Abstract
Figure 1: Structural formulas of Nam, NA, NR+, NMN, and NAD+.
Figure 2: Main synthetic routes to nicotinamide riboside (NR+X−).
Scheme 1: Synthesis of NR+Cl− based on the reaction of peracylated chlorosugars with Nam.
Figure 3: Predominant formation of β-anomer over α-anomer of NR+X−.
Scheme 2: Synthesis of NR+Cl− by reacting 3,5-di-O-benzoyl-D-ribofuranosyl chloride (5) with Nam (1a).
Figure 4: Mechanism of the formation of the β-anomer of the glycosylated product in the case of the reaction ...
Scheme 3: Synthesis of NR+Br− by reacting bromosugars with Nam (1a).
Scheme 4: Synthesis of NR+OTf− based on the glycosylation of Nam (1a) with tetra-O-acetyl-β-D-ribofuranose (2a...
Scheme 5: Improved synthesis of NR+OTfˉ and NAR+OTfˉ based on the glycosylation of pre-silylated Nam or NA wi...
Scheme 6: Synthesis of triacetylated NAR+OTf− by glycosylation of nicotinic acid trimethylsilyl ester with te...
Scheme 7: Synthesis of NR+Cl− from NR+OTf− by means of ion exchange with sodium chloride solution.
Scheme 8: Synthesis of acylated NR+OTf− by means of ion exchange with sodium chloride.
Scheme 9: Synthesis of triacetylated derivatives of NAR+ by glycosylation of nicotinic acid esters with ribos...
Scheme 10: Synthesis of NR+OTf− from the triflate salt of ethyl nicotinate-2,3,5-triacetyl-β-D-riboside in met...
Scheme 11: Reaction of 2,3,5-tri-O-acetyl-β-phenyl nicotinate riboside triflate salt with secondary and tertia...
Scheme 12: Synthesis of NMN based on the Zincke reaction of N-(2,4-dinitrophenyl)-3-carbamoylpyridinium chlori...
Scheme 13: Synthesis of NMN based on the Zincke reaction of N-(2,4-dinitrophenyl)-3-carbamoylpyridinium chlori...
Scheme 14: Efficacious protection of 2′,3′-hydroxy groups of NR+X−.
Scheme 15: Protection of the 2′,3′-hydroxy groups of NR+Cl– with a mesitylmethylene acetal group.
Figure 5: Reduction of derivatives of NR+Xˉ into corresponding 1,2-; 1,4-; 1,6-NRH derivatives.
Figure 6: Mechanism of the reduction of the pyridinium core with dithionite as adapted from [67].
Scheme 16: Reduction of triacylated NR+OTf– derivatives by sodium dithionite followed by complete removal of a...
Figure 7: Structural formulas of iridium and rhodium catalysts (a)–(d) for regeneration of NAD(P)H from NAD(P)...
Figure 8: Two approaches to synthesis of 5′-derivatives of NR+.
Scheme 17: Synthesis of NMN starting from NR+ salt.
Scheme 18: Efficient synthesis of NMN by phosphorylation of 2′,3′-O-isopropylidene-NR+ triflate followed by re...
Scheme 19: Synthesis of a bisphosphonate analogue of β-NAD+ based on DCC-induced conjugation of 2′,3′-O-isopro...
Scheme 20: Synthesis of 5′-acyl and 2′,3′,5′-triacyl derivatives of NR+.
Figure 9: Structural formulas of NMN analogues 39–41.
Scheme 21: Synthesis of 5′-phosphorylated derivatives of NR+ using a “reduction–modification–oxidation” approa...
Scheme 22: Synthesis of 5′-phosphorylated derivatives of NR+ using a “reduction–modification–reoxidation” appr...
Figure 10: Structural formulas of 5′-phosphorylated derivatives of NR+.
Scheme 23: Synthesis of 5′-phosphorylated derivatives of NR+ using a direct NR+ phosphorylation approach.
Figure 11: Structural formulas of amino acid NR+ conjugates.
Scheme 24: Synthesis of amino acid NR+ conjugates using NRH and protected amino acid under CDI-coupling condit...
Figure 12: Chemical structures of known isotopically labelled NR+ analogues and derivatives.
Scheme 25: Synthesis of [2′-3H]-NR+ and [2′-3H]-NMN.
Scheme 26: Synthesis of α- and β-anomers of [1′-2H]-NMN.