Search results

Search for "tetrathiafulvalene" in Full Text gives 44 result(s) in Beilstein Journal of Organic Chemistry.

Donor–acceptor type co-crystals of arylthio-substituted tetrathiafulvalenes and fullerenes

  • Xiaofeng Lu,
  • Jibin Sun,
  • Shangxi Zhang,
  • Longfei Ma,
  • Lei Liu,
  • Hui Qi,
  • Yongliang Shao and
  • Xiangfeng Shao

Beilstein J. Org. Chem. 2015, 11, 1043–1051, doi:10.3762/bjoc.11.117

Graphical Abstract
  • co-crystals of fullerene (as the acceptor) and arylthio-substituted tetrathiafulvalene derivatives (Ar-S-TTF, as the donor) were prepared and their structural features were thoroughly investigated. The formation of co-crystals relies on the flexibility of Ar-S-TTF and the size matches between Ar-S
  • axes. In the type II co-crystals, one fullerene molecule has the donor–acceptor mode similar to that in type I, whereas the other fullerene molecule is substantially surrounded by the aryl groups on Ar-S-TTF molecules and the solvent molecules. Keywords: arylthio-substituted tetrathiafulvalene; co
  • -crystal; donor–acceptor system; fullerene; Introduction Tetrathiafulvalene (TTF) [1][2][3] and its derivatives have attracted significant interest for decades. This is because this unique heterocycle system has provided most of the organic conductors possessing diverse electronic ground states [4][5][6
PDF
Album
Supp Info
Full Research Paper
Published 19 Jun 2015

Glycoluril–tetrathiafulvalene molecular clips: on the influence of electronic and spatial properties for binding neutral accepting guests

  • Yoann Cotelle,
  • Marie Hardouin-Lerouge,
  • Stéphanie Legoupy,
  • Olivier Alévêque,
  • Eric Levillain and
  • Piétrick Hudhomme

Beilstein J. Org. Chem. 2015, 11, 1023–1036, doi:10.3762/bjoc.11.115

Graphical Abstract
  • tetrathiafulvalene (TTF) sidewalls have been synthesized through different strategies with the aim of investigating the effect of electrochemical and spatial properties for binding neutral accepting guests. We have in particular focused our study on the spacer extension in order to tune the intramolecular TTF···TTF
  • control binding interaction towards a strong electron acceptor such as tetrafluorotetracyanoquinodimethane (F4-TCNQ) or a weaker electron acceptor such as 1,3-dinitrobenzene (m-DNB). Keywords: donor–acceptor interactions; glycoluril; molecular clips; supramolecular chemistry; tetrathiafulvalene
  • ; Introduction Thanks to its remarkable redox properties and strong π-donating character demonstrated with the pioneering work of F. Wudl in the early 1970s [1], tetrathiafulvalene (TTF) has become one of the most popular electroactive frameworks used in materials science [2][3][4][5]. In addition to the well
PDF
Album
Full Research Paper
Published 17 Jun 2015

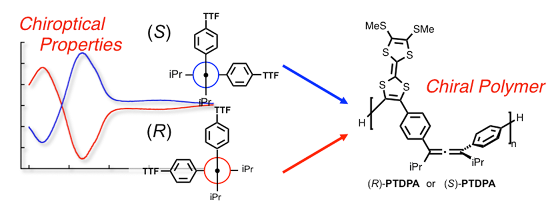
Chiroptical properties of 1,3-diphenylallene-anchored tetrathiafulvalene and its polymer synthesis

  • Masashi Hasegawa,
  • Junta Endo,
  • Seiya Iwata,
  • Toshiaki Shimasaki and
  • Yasuhiro Mazaki

Beilstein J. Org. Chem. 2015, 11, 972–979, doi:10.3762/bjoc.11.109

Graphical Abstract
  • , Chiba 275-0016, Japan 10.3762/bjoc.11.109 Abstract A novel tetrathiafulvalene dimer, bridged by a chiral 1,3-diphenylallene framework, has been prepared as an optically active compound having strong chiroptical properties. Although a chiral allene bearing strong electron-donating group(s) often
  • carried out by direct C–H activation of the TTF unit, and the chiroptical properties of the resulting polymer were also investigated. Keywords: allene; axial chirality; chiroptical properties; redox; tetrathiafulvalene; Introduction Recently, there has been a growing interest in chiral π-conjugated
  • switchable by tuning the electronic structure of the tetrathiafulvalene (TTF) moieties. However, compound 1 exhibited slow racemization in solution under daylight. The chirality of an allene is configurationally firm in general, because the barrier of the rotation of the allenic double bonds is quite high
PDF
Album
Supp Info
Full Research Paper
Published 08 Jun 2015

Tuning the size of a redox-active tetrathiafulvalene-based self-assembled ring

  • Sébastien Bivaud,
  • Sébastien Goeb,
  • Vincent Croué,
  • Magali Allain,
  • Flavia Pop and
  • Marc Sallé

Beilstein J. Org. Chem. 2015, 11, 966–971, doi:10.3762/bjoc.11.108

Graphical Abstract
  • -driven self-assembled ring M6L3 constructed from a concave tetrapyridyl π-extended tetrathiafulvalene ligand (exTTF) is described. The same ligand is also able to self-assemble in a M4L2 mode as previously described. Herein, we demonstrate that the bulkiness of the ancillary groups in the Pd complex
  • allows for modulating the size and the shape of the resulting discrete self-assembly, which therefore incorporate two (M4L2) or three (M6L3) electroactive exTTF sidewalls. Keywords: coordination; metal-driven; redox; self-assembly; tetrathiafulvalene; Findings The coordination-driven approach is a well
  • obtain, from one given ligand, one single and stable assembly whose cavity size can be controlled. We recently depicted the preparation and properties of redox-active rings [29][35] and cages [36][37][38][39][40] integrating the tetrathiafulvalene (TTF) skeleton. In particular, we described self
PDF
Album
Supp Info
Letter
Published 05 Jun 2015

Carboxylated dithiafulvenes and tetrathiafulvalene vinylogues: synthesis, electronic properties, and complexation with zinc ions

  • Yunfei Wang and
  • Yuming Zhao

Beilstein J. Org. Chem. 2015, 11, 957–965, doi:10.3762/bjoc.11.107

Graphical Abstract
  • Yunfei Wang Yuming Zhao Department of Chemistry, Memorial University, St. John’s, A1B 3X7, NL, Canada 10.3762/bjoc.11.107 Abstract A class of carboxyl and carboxylate ester-substituted dithiafulvene (DTF) derivatives and tetrathiafulvalene vinylogues (TTFVs) has been synthesized and their
  • analysis, showing a BET surface of 148.2 m2 g−1 and an average pore diameter of 10.2 nm. Keywords: complexation; coordination polymers; porosity; redox activity; tetrathiafulvalene; Introduction Tetrathiafulvalene (TTF) has been widely applied as a redox-active building block in organic electronic
  • -donating properties of TTF arise from its aromaticity-stabilized cationic states after releasing one and/or two electrons [1][2][3][4][5][8][9][10]. Tetrathiafulvalene vinylogues (TTFVs) are π-extended analogues of TTF bearing extended vinyl bridges between the two dithiole rings of TTF [9][10][11
PDF
Album
Supp Info
Full Research Paper
Published 03 Jun 2015

Synthesis and characterization of the cyanobenzene-ethylenedithio-TTF donor

  • Sandrina Oliveira,
  • Dulce Belo,
  • Isabel C. Santos,
  • Sandra Rabaça and
  • Manuel Almeida

Beilstein J. Org. Chem. 2015, 11, 951–956, doi:10.3762/bjoc.11.106

Graphical Abstract
  • -tetrathiafulvalene (CNB-EDT-TTF), was obtained in high yield, by a cross-coupling reaction with triethyl phosphite between 2-thioxobenzo[d][1,3]dithiole-5-carbonitrile and 5,6-dihydro-[1,3]dithiolo[4,5-b][1,4]dithiin-2-one. This new donor was characterized namely by single crystal X-ray diffraction, cyclic
  • voltammetry, NMR, UV-visible and IR spectroscopy. Keywords: cross-coupling; cyanobenzene; cyclic voltammetry; dissymmetric tetrathiafulvalene; electro-active donors; Introduction The tetrathiafulvalene molecule (TTF) and its many derivatives, due to its unique π-donor properties, have been at the basis of
  • pure triethyl phosphite during 4 hours at 130 °C leading to the formation of 3 in relatively high yield (63%) (Scheme 1). This coupling reaction also gives rise to smaller amounts of BEDT-TTF (14% yield) and dicyanodibenzene tetrathiafulvalene (dcdb-TTF) [13] as byproducts resulting from homocoupling
PDF
Album
Supp Info
Letter
Published 03 Jun 2015

Interactions between tetrathiafulvalene units in dimeric structures – the influence of cyclic cores

  • Huixin Jiang,
  • Virginia Mazzanti,
  • Christian R. Parker,
  • Søren Lindbæk Broman,
  • Jens Heide Wallberg,
  • Karol Lušpai,
  • Adam Brincko,
  • Henrik G. Kjaergaard,
  • Anders Kadziola,
  • Peter Rapta,
  • Ole Hammerich and
  • Mogens Brøndsted Nielsen

Beilstein J. Org. Chem. 2015, 11, 930–948, doi:10.3762/bjoc.11.104

Graphical Abstract
  • /bjoc.11.104 Abstract A selection of cyclic and acyclic acetylenic scaffolds bearing two tetrathiafulvalene (TTF) units was prepared by different metal-catalyzed coupling reactions. The bridge separating the two TTF units was systematically changed from linearly conjugated ethyne, butadiyne and
  • ; tetraethynylethene; tetrathiafulvalene; Introduction Linking together two redox-active tetrathiafulvalene (TTF) units by a π-conjugated bridge has found immense interest in materials science, in particular in the quest for organic conductors [1][2][3]. Thus, the materials properties rely on the degree of intra- and
  • -(trimethylsilyl)tetrathiafulvalene (10). To a degassed solution of 9 (315 mg, 0.62 mmol) in Et3N (15 mL) were added PdCl2(PPh3)2 (87 mg, 0.12 mmol), CuI (12 mg, 0.06 mmol) and trimethylsilylacetylene (0.70 mL, 5.0 mmol). The mixture was stirred at rt for 3 h after which it became orange. Petroleum spirit (10 mL
PDF
Album
Supp Info
Full Research Paper
Published 02 Jun 2015

Tuning of tetrathiafulvalene properties: versatile synthesis of N-arylated monopyrrolotetrathiafulvalenes via Ullmann-type coupling reactions

  • Vladimir A. Azov,
  • Diana Janott,
  • Dirk Schlüter and
  • Matthias Zeller

Beilstein J. Org. Chem. 2015, 11, 860–868, doi:10.3762/bjoc.11.96

Graphical Abstract
  • direct conjugation with the tetrathiafulvalene chromophore. The crystal packing of the arylated monopyrrolotetrathiafulvalenes is primarily defined by networks of C–H···X weak hydrogen bonds and short S···S contacts involving the tetrathiafulvalene moieties. Keywords: cyclic voltammetry; N-arylation
  • processes in molecular and supramolecular systems [3][4]. Availability of selective synthetic methods [5][6] gave access to differently substituted tetrathiafulvalene (TTF) moieties which allowed tuning of oxidation potential, donating ability, as well as other physical and chemical properties. The
PDF
Album
Supp Info
Full Research Paper
Published 21 May 2015

Copper ion salts of arylthiotetrathiafulvalenes: synthesis, structure diversity and magnetic properties

  • Longfei Ma,
  • Jibin Sun,
  • Xiaofeng Lu,
  • Shangxi Zhang,
  • Hui Qi,
  • Lei Liu,
  • Yongliang Shao and
  • Xiangfeng Shao

Beilstein J. Org. Chem. 2015, 11, 850–859, doi:10.3762/bjoc.11.95

Graphical Abstract
  • -substituted tetrathiafulvalene derivatives (1–7) results in a series of charge-transfer (CT) complexes. Crystallographic studies indicate that the anions in the complexes, which are derived from CuBr2, show diverse configurations including linear [Cu(I)Br2]–, tetrahedral [Cu(II)Br4]2–, planar [Cu(II)2Br6]2
  • : antiferromagnetic interaction; arylthio-substituted tetrathiafulvalenes; charge-transfer; crystal structure; magnetic property; Introduction Since firstly synthesized in 1970s [1], tetrathiafulvalene (TTF) and its derivatives have been intensively studied to explore functional organic materials [2]. Inspired by
PDF
Album
Supp Info
Full Research Paper
Published 20 May 2015

Trifluoromethyl-substituted tetrathiafulvalenes

  • Olivier Jeannin,
  • Frédéric Barrière and
  • Marc Fourmigué

Beilstein J. Org. Chem. 2015, 11, 647–658, doi:10.3762/bjoc.11.73

Graphical Abstract
  • dyads with a strong pairing of the radical species in a singlet state. Keywords: electrochemistry; electron withdrawing group (EWG); fluorine; tetrathiafulvalene (TTF); Introduction Following three decades of extensive work toward the elaboration of conducting radical cation salts from
  • tetrathiafulvalene (TTF) derivatives with electron-rich alkyl (tetramethyltetrathiafulvalene: TMTTF, tetramethyltetraselenafulvalene: TMTSF) or thioalkyl (ethylenedithiotetrathiafulvalene: EDT-TTF, bis(ethylenedithio)tetrathiafulvalene: BEDT-TTF) substituents [1], investigations of radical cation salts of
  • molecules. The preparation of the two positional isomers of bis(trifluoromethyl)-bis(carboxymethyl)tetrathiafulvalene 3bc and 4bc is also reported. The evolutions of (i) the geometry of the dithiole ring bearing the EWG, (ii) the electrochemical properties, (iii) the optical absorption (UV–vis) properties
PDF
Album
Supp Info
Full Research Paper
Published 06 May 2015

TTFs nonsymmetrically fused with alkylthiophenic moieties

  • Rafaela A. L. Silva,
  • Bruno J. C. Vieira,
  • Marta M. Andrade,
  • Isabel C. Santos,
  • Sandra Rabaça,
  • Dulce Belo and
  • Manuel Almeida

Beilstein J. Org. Chem. 2015, 11, 628–637, doi:10.3762/bjoc.11.71

Graphical Abstract
  • ; supramolecular chemistry; tetrathiafulvalene (TTF); thiophene; Introduction Since the discovery of the first organic metals and superconductors the field of electronic molecular materials has been largely dominated by derivatives of the organic donor tetrathiafulvalene (TTF) [1]. More than one thousand TTF
  • along with the closely related compounds (DT-TTF = dithiophene-tetrathiafulvalene, BET-TTF = bis(ethylenethio)-tetrathiafulvalene, α-DT-TTF = alpha-dithiophene-tetrathiafulvalene, dtdt = 3-{5-[(2-cyanoethyl)thio]-2-(5,6-dihydrothieno[2,3-d][1,3]dithiol-2-ylidene-1,3-dithiol-4-yl)thio}propanenitrile, α
PDF
Album
Supp Info
Full Research Paper
Published 05 May 2015

Bis(vinylenedithio)tetrathiafulvalene analogues of BEDT-TTF

  • Erdal Ertas,
  • İlknur Demirtas and
  • Turan Ozturk

Beilstein J. Org. Chem. 2015, 11, 403–415, doi:10.3762/bjoc.11.46

Graphical Abstract
  • Gebze-Kocaeli, Turkey 10.3762/bjoc.11.46 Abstract This review aims to give an overview of the current status of our research on the synthesis of π-electron donor bis(ethylenedithio)tetrathiafulvalene (BEDT-TTF, ET) analogues prepared from 1,8-diketones via a ring forming reaction. The new synthesized π
  • -electron donors have vinyl moieties producing extended π-electron delocalization over the substituent phenyl rings at the peripheries. Keywords: bis(ethylenedithio)tetrathiafulvalene; bis(vinylenedithio)tetrathiafulvalene; tetrathiafulvalene; Introduction Tetrathiafulvalene (TTF, 1, Figure 1) was first
  • , led to the production of superconducting salts based on TTF type donors containing a heteroatom such as sulfur, selenium, oxygen, etc. [17][18][19][20]. Among a large number of tetrathiafulvalene analogues, bis(ethyleneditiho)tetrathiafulvalene (BEDT-TTF, 3), also known as ET, has been the most
PDF
Album
Review
Published 27 Mar 2015

Redox active dendronized polystyrenes equipped with peripheral triarylamines

  • Toshiki Nokami,
  • Naoki Musya,
  • Tatsuya Morofuji,
  • Keiji Takeda,
  • Masahiro Takumi,
  • Akihiro Shimizu and
  • Jun-ichi Yoshida

Beilstein J. Org. Chem. 2014, 10, 3097–3103, doi:10.3762/bjoc.10.326

Graphical Abstract
  • tetrathiafulvalene (TTF) derivatives [15][16][17][18][19], the corresponding dendronized polymers are rare [20]. One of the major reasons for this seems to be the difficulty in making such structures. However, redox-active dendronized polymers should provide more opportunities to form functional organic materials
PDF
Album
Supp Info
Letter
Published 22 Dec 2014

Control over molecular motion using the cistrans photoisomerization of the azo group

  • Estíbaliz Merino and
  • María Ribagorda

Beilstein J. Org. Chem. 2012, 8, 1071–1090, doi:10.3762/bjoc.8.119

Graphical Abstract
  • thermodynamically stable conformations [138]. The energy barriers between these conformations can be controlled kinetically by photochemical modulation. The ring component of the [2]rotaxane is cyclobis(paraquat-p-phenylene) and the dumbbell is comprised of a tetrathiafulvalene unit and a 1,5-dioxynaphthalene as π
  • written on the rotaxane when the units of tetrathiafulvalene are oxidized and then blocked in the trans–cis photoisomerization process, on the azobenzene fragment. After writing the information, the oxidized species can be reduced to the original form without loss of data. The data is stored until
PDF
Album
Review
Published 12 Jul 2012

Imidazole as a parent π-conjugated backbone in charge-transfer chromophores

  • Jiří Kulhánek and
  • Filip Bureš

Beilstein J. Org. Chem. 2012, 8, 25–49, doi:10.3762/bjoc.8.4

Graphical Abstract
  • ,abs = 324–367 nm and λmax,em = 393–470 nm, respectively [70]. In 2007, Liu et al. reported a very nice example of D-π-A system 63 based on benzimidazole as a parent π-conjugated backbone fused with TCAQ (tetracyanoanthraquinodimethane) and TTF (tetrathiafulvalene) as acceptor and donor moieties
PDF
Album
Review
Published 05 Jan 2012

Redox-active tetrathiafulvalene and dithiolene compounds derived from allylic 1,4-diol rearrangement products of disubstituted 1,3-dithiole derivatives

  • Filipe Vilela,
  • Peter J. Skabara,
  • Christopher R. Mason,
  • Thomas D. J. Westgate,
  • Asun Luquin,
  • Simon J. Coles and
  • Michael B. Hursthouse

Beilstein J. Org. Chem. 2010, 6, 1002–1014, doi:10.3762/bjoc.6.113

Graphical Abstract
  • series of compounds by exploiting the unusual 1,4-aryl shift observed for electron-rich 1,3-dithiole-2-thione and tetrathiafulvalene (TTF) derivatives in the presence of perchloric acid. The mechanistic features of this rearrangement are discussed since this synthetic strategy provides an alternative
  • route for the synthesis and functionalisation of sulfur rich compounds including redox active compounds of TTFs, and a Ni dithiolene. Keywords: aldehydes; metal-coordination; rearrangement; sulfur heterocycles; tetrathiafulvalene; Introduction The search for novel structures derived from TTF has led
PDF
Album
Full Research Paper
Published 21 Oct 2010

Structure and reactivity in neutral organic electron donors derived from 4-dimethylaminopyridine

  • Jean Garnier,
  • Alan R. Kennedy,
  • Leonard E. A. Berlouis,
  • Andrew T. Turner and
  • John A. Murphy

Beilstein J. Org. Chem. 2010, 6, No. 73, doi:10.3762/bjoc.6.73

Graphical Abstract
  • of considerable selectivity in their reductions of organic substrates, and evidence is steadily accumulating to support this. Tetrathiafulvalene (TTF, 1, E11/2 = 0.37 V; E21/2 = 0.67 V in DCM vs SCE) [1], one of the weakest of these donors, reduces arenediazonium salts to aryl radicals [2][3][4][5][6
PDF
Album
Supp Info
Full Research Paper
Published 05 Jul 2010

Synthesis and redox behavior of new ferrocene- π-extended- dithiafulvalenes: An approach for anticipated organic conductors

  • Abdelwareth A. O. Sarhan,
  • Omar F. Mohammed and
  • Taeko Izumi

Beilstein J. Org. Chem. 2009, 5, No. 6, doi:10.3762/bjoc.5.6

Graphical Abstract
  • series of tetrathiafulvalene derivatives. These are particularly intriguing molecules for several reasons: (i) they are chemically and photochemically stable in solution; (ii) they exhibit an extended conjugated structure which provides strong absorption in the UV/vis regions; (iii) they are considered
  • characterized a donor-acceptor dyad system involving tetrathiafulvalene (TTF) as electron donor attached by a flexible spacer to perylene derivatives as electron acceptor [5]. They have shown that the fluorescence of the tetrathiafulvalene–perylene derived dyad can be reversibly modulated by the transformation
  • of the TTF unit into its radical cation and dication. After organic chemists had discovered organic metal tetrathiafulvalene-tetracyanoquinodimethane (TTF-TCNQ) charge transfer complexes, various synthetic approaches to tetrathiafulvalenes gained wide attention, and charge-transfer from TTF to TCNQ
PDF
Album
Full Research Paper
Published 19 Feb 2009

Reduction of arenediazonium salts by tetrakis(dimethylamino)ethylene (TDAE): Efficient formation of products derived from aryl radicals

  • Mohan Mahesh,
  • John A. Murphy,
  • Franck LeStrat and
  • Hans Peter Wessel

Beilstein J. Org. Chem. 2009, 5, No. 1, doi:10.3762/bjoc.5.1

Graphical Abstract
  • , employing tetrathiafulvalene (TTF, 4a, Scheme 1) as electron donor. A number of functionalised heterocycles [5][6][7][8][9][10][11][12][13][14][15][16][17] such as dihydrobenzofurans, indolines and indoles have been synthesized using this methodology and the radical-polar methodology has been employed
PDF
Album
Supp Info
Full Research Paper
Published 12 Jan 2009
Other Beilstein-Institut Open Science Activities