Abstract
Following our earlier approach to the synthesis of dihydronepetalactones, all eight stereoisomers of trans-fused iridomyrmecins were synthesized starting from the enantiomers of limonene. Combined gas chromatography and mass spectrometry including enantioselective gas chromatography revealed that volatiles released by the endohyperparasitoid wasp Alloxysta victrix contain (4S,4aR,7S,7aR)-iridomyrmecin of 95–97% ee and stereochemically pure (4S,4aS,7R,7aS)-iridomyrmecin as a minor component.
Graphical Abstract
Introduction
In the course of our studies on volatile signals of the endohyperparasitoid wasp, Alloxysta victrix, we identified several acyclic terpenoids and the trans-fused (4S,4aR,7R,7aS)-dihydronepetalactone (X) as volatile components of cephalic secretions released by this species (Figure 1) [1,2]. However, gas chromatograms showed the presence of two additional major volatiles Y and Z which, according to their mass spectra, were suggested to be trans-fused iridomyrmecins [3,4]. Since no synthetic reference compounds were available, all eight trans-fused iridomyrmecins had to be prepared. To complete the synthesis of this suite, we started from optically active limonene following a strategy similar to our route leading to trans-fused dihydronepetalactones [1]. The realization of this task and the unambiguous structure assignment of the natural products Y and Z is subject of the present paper.
Figure 1: Structures of cis- and trans-fused iridoid lactones.
Figure 1: Structures of cis- and trans-fused iridoid lactones.
Results and Discussion
Upon coupled gas chromatography/mass spectrometry (GC/MS), two major components, Y and Z, of the volatile secretions of both sexes of Alloxysta victrix (although in much higher amounts in males) gave almost identical 70 eV EI-mass spectra (Figure 2); somewhat resembling that of the trans-fused dihydronepetalactone that we had already found in the insects [1]. Gas chromatography coupled with chemical ionization mass spectrometry (GC/CIMS) proved the molecular mass of the target compounds to be [M]+ = 168, while high resolution mass spectrometry (GC/HRMS) showed their atomic composition to be C10H16O2, confirming the compounds to be isomers of dihydronepetalactone. Though the fragmentation pattern showed some similarities to that of the cis-fused iridomyrmecin (1), a comparison with mass spectral data published for the trans-fused isoepiiridomyrmecin (2) suggested that the substances Y and Z are trans-fused iridomyrmecins. While the plotted mass spectrum of 1 showed m/z 95 as the base peak and similar abundances of about 55% for m/z 67, m/z 81 and m/z 109 [3], the data of 2 refer to m/z 81 as the base peak and m/z 95 and m/z 109 to reach 48% and 33%, respectively [4]; this is more close to the spectra of Y and Z (Figure 2).
Figure 2: 70 eV EI-mass spectrum of compounds Y and Z of Alloxysta victrix.
Figure 2: 70 eV EI-mass spectrum of compounds Y and Z of Alloxysta victrix.
Iridomyrmecin (1) was first isolated from ants (Figure 1) [5] and along with some other volatile iridoids it has since been reported to be a potent insecticide and antibiotic from several natural sources [6]. Due to their challenging molecular structures and their interesting physiological properties, iridomyrmecins are attractive targets in stereoselective synthesis.
Similar to dihydronepetalactones, the iridomyrmecin skeleton shows four contiguous stereogenic centers giving rise to four trans-fused stereoisomers A–D and four corresponding enantiomers A'–D' (Figure 3, D' is identical to 2 in Figure 1). The presence of the four chiral centers complicates a stereoselective synthesis despite the small size of the molecule. Several methods have been published for the preparation of optically active cis-fused bicyclic iridoid lactones [7-10], whereas only a few syntheses of trans-fused ring systems have been reported [11]. Starting from enantiomerically pure (R)-pulegone, mixtures of (7R)-configured diastereomers A' and B' as well as C and D have been synthesized by Wolinsky [12]. The set of stereochemically pure (7S)-configured, trans-fused iridomyrmecins A, B, C', and D' has been prepared by Trave [13]. Though Wolinky’s route may generally be used for the synthesis of all eight stereoisomers of trans-fused iridomyrmecins, it suffers from several major disadvantages such as high costs of (S)-pulegone and difficult separations of diastereomeric mixtures.
Figure 3: Chemical structures of all eight stereoisomers of trans-fused iridomyrmecins and their gas chromatographic retention times (min) on FFAP and on a cyclodextrin column (cyclo). For experimental details see Supporting Information File 1.
Figure 3: Chemical structures of all eight stereoisomers of trans-fused iridomyrmecins and their gas chromato...
Starting from the cheaply available pure enantiomers of limonene, we had reported a novel stereoselective route towards trans-fused dihydronepatalactones [1] which we now extended to the synthesis of all eight stereoisomers of trans-fused iridomyrmecins. Subsequently, the volatile components Y and Z – present in Alloxysta victrix – were confirmed to be trans-fused iridomyrmecins, and their absolute configurations could be determined by comparison of their analytical data with those of all eight synthetic stereoisomers.
Synthesis of trans-fused iridomyrmecins
Our approach to the eight trans-fused iridomyrmecins starting from the enantiomers of limonene followed our general route for the synthesis of trans-fused dihydronepetalactones (Figure 4) [1].
Figure 4: Strategy for the stereoselective synthesis of trans-fused iridomyrmecins A–D from (R)-limonene.
Figure 4: Strategy for the stereoselective synthesis of trans-fused iridomyrmecins A–D from (R)-limonene.
Starting from pure (R)-limonene (3), the key intermediate 4 was prepared as described previously [1] and was used for both the synthesis of trans,trans and cis,trans (these designations refer to the relative configurations between the methyl group at C-7 and the substitution pattern at C-7a and C-4a, respectively) configured iridomyrmecins. Key steps were two stereoselective hydrogenations: A transfer hydrogenation for a formal “anti” delivery of hydrogen [14,15], as represented in 5, and the use of Crabtree’s catalyst in a directed hydrogenation for a “syn” addition of hydrogen as represented in 6 [16-18]. Subsequent to the hydrogenation step, the synthesis of trans-fused iridomyrmecins could be completed after some standard functional group modifications. The synthesis of the corresponding enantiomers followed the same way, starting from (S)-limonene (3').
Synthesis of trans-fused iridomyrmecins A and B
The aldehyde 8, derived from (R)-limonene (3), served as the key intermediate for the synthesis of the trans-fused iridomyrmecins A and B (Scheme 1). As shown in the stereoselective synthesis of trans-fused dihydronepetalactones [1], this key intermediate could be obtained via a highly diastereoselective transfer hydrogenation of the known [19] trisubstituted cyclopentene 7 with ammonium formate over palladium [1,14,15]. Starting from the aldehyde 8, the relative configuration of which had been confirmed by NOE experiments [1], the synthesis of A and B was completed in six additional steps.
Scheme 1: Synthesis of the trans-fused iridomyrmecins A and B. Reaction conditions and yields: a) ammonium formate, Pd/C, MeOH, reflux (48%); b) NaBH4, MeOH, H2O, rt (79%); c) NaH, BnBr, THF, reflux (96%); d) HF, CH3CN, rt (71%); e) CrO3, H2SO4, acetone, rt (99%); f) Pd/C, 40 bar H2, THF, rt (100%); g) DCC, DMAP, CH2Cl2, rt (66%); h) p-TsOH, benzene, reflux (56%).
Scheme 1: Synthesis of the trans-fused iridomyrmecins A and B. Reaction conditions and yields: a) ammonium fo...
First, the aldehyde 8 was reduced with sodium borohydride, and the resulting alcohol 9 was protected as the benzyl ether to form 10. Deprotection of the TBDMS ether was carried out with HF in acetonitrile to yield the mono-protected diol 11. Using Jones reagent, the free hydroxy group of 11 was oxidized to the carboxylic acid 12, and the benzyl ether was cleaved upon catalytic hydrogenation over Pd/C to produce the hydroxy acid 5. The latter served as the immediate precursor for the formation of either of the two diastereomeric iridomyrmecins A and B: Careful cyclization using dicyclohexylcarbodiimide (DCC) and 4-dimethylaminopyridine (DMAP) in dichloromethane at rt afforded iridomyrmecin A. In contrast, treatment of 5 with catalytic amounts of p-toluenesulfonic acid in benzene under reflux conditions for 12 h resulted in a complete epimerization at the CH-acidic C-4 position, exclusively yielding the thermodynamically more stable iridomyrmecin B. All reaction steps were also carried out starting from enantiomerically pure (S)-limonene affording trans-fused iridomyrmecins A' and B'. Relative configurations of iridomyrmecins A, A' and B, B' were confirmed by NOESY experiments. In A (Figure 5, A) decisive NOEs could be observed between 1-Hb and 4a-H as well as between 1-Hb and 7-H which showed 4a-H and 7-H to be located at the same side of the molecule. In addition, NOEs between 4-CH3 and 7a-H as well as between 7-CH3 and 7a-H proved the two methyl groups to be located at the same side of the molecule. In contrast, as shown in Figure 5, B', NOEs between 4-H and 7a-H as well between 7-CH3 and 7a-H, prove that in B' the two methyl groups are situated at opposite sides of the molecule.
Figure 5: Configurations of the trans-fused iridomyrmecins A and B’.
Figure 5: Configurations of the trans-fused iridomyrmecins A and B’.
Synthesis of trans-fused iridomyrmecins C and D
As shown in our previous paper on the synthesis of trans-fused dihydronepetalactones, the double bond of the acetate 4 could be hydrogenated with high stereocontrol to the diastereomerically pure acetate 13 [1] by using Crabtree’s catalyst [16-18]. The synthesis of the iridomyrmecins C and D was completed in three additional steps (Scheme 2). The oxidation with Jones reagent yielded 14, and subsequent saponification of the acetate group with methanolic KOH afforded the hydroxy acid 6. Similar to the approach described above, careful lactonization with DCC and DMAP gave iridomyrmecin C, whereas treatment with p-toluenesulfonic acid in benzene under reflux conditions led to complete epimerization at C-4 and afforded iridomyrmecin D. All reaction steps were also carried out starting from enantiomerically pure (S)-limonene (3') and afforded iridomyrmecins C' and D'.
Scheme 2: Synthesis of the trans-fused iridomyrmecins C and D. Reaction conditions and yields: a) Crabtree's catalyst [Ir(cod)PCy3(py)]PF6 (10 mol %), 1 bar H2, CH2Cl2, rt (81%); b) CrO3, H2SO4, acetone, rt (86%); c) KOH, MeOH, rt (97%); d) DCC, DMAP, CH2Cl2, rt (41%); e) p-TsOH, benzene, reflux (59%).
Scheme 2: Synthesis of the trans-fused iridomyrmecins C and D. Reaction conditions and yields: a) Crabtree's ...
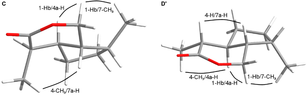
Relative configurations of the iridomyrmecins C, C' and D, D' were confirmed by NOESY experiments. In C (Figure 6, C) decisive NOEs between 1-Hb and 4a-H as well as between 1-Hb and 7-CH3 proved 4a-H and 7-CH3 to be located at the same side of the molecule. The NOE between 4-CH3 and 7a-H showed them to be geometrically close and the two methyl groups to be in opposite positions. In contrast, as shown in Figure 6, D' NOEs between 4a-H and 4-CH3 as well as between 4a-H and 1-Hb and furthermore between 1-Hb and 7-CH3 proved the methyl groups in D' to be at the same side of the molecule. This is confirmed by a NOE between 4-H and 7a-H.
Figure 6: Configurations of the trans-fused iridomyrmecins C and D’.
Figure 6: Configurations of the trans-fused iridomyrmecins C and D’.
In summary, we have completed the first enantioselective synthesis of all eight stereoisomers of trans-fused iridomyrmecins, starting from either of the cheaply available enantiomers of limonene. The acetate 4 is the decisive intermediate, and key reaction steps are two stereoselective hydrogenations: A transfer hydrogenation for a formal “anti” delivery of hydrogen and the use of Crabtree’s catalyst in a directed hydrogenation for a “syn”-addition of hydrogen. Starting from pure enantiomers of limonene [1] these novel synthetic routes provided iridomyrmecins A, A' and B, B' in 2–3% yield over 15 steps as well as iridomyrmecins C, C' and D, D' in 10–15% yield over 9 steps.
All eight stereoisomers of trans-fused iridomyrmecins could be separated by gas chromatography using a capillary column coated with FFAP as an achiral polar stationary phase and a second capillary coated with a 1:1 mixture of OV1701 and heptakis(6-O-tert-butyldimethylsilyl-2,3-di-O-methyl)-β-cyclodextrin as an enantioselective stationary phase. Figure 3 shows the structures and retention times of all eight stereoisomers of trans-fused iridomyrmecins on both capillary column systems. Despite the small differences in retention times between B and B' on the cyclodextrin column, the enantiomers could be well distinguished under the experimental conditions.
Structure assignment of volatile components Y and Z in the parasitoid wasp Alloxysta victrix
Comparison of mass spectra and GC retention times of synthetic iridomyrmecins with corresponding data of the volatile substances Y and Z – which are present in pentane extracts of heads of Alloxysta victrix – allowed their unambiguous identification as trans-fused iridomyrmecins.
Coupled GC/MS analysis using FFAP as the stationary phase revealed the natural iridoid lactones Y and Z to show the same mass spectra and retention times as the two early eluting racemates of the synthetic iridomyrmecins, i.e., B/B' and A/A', respectively (Figure 3). Enantioselective gas chromatography on heptakis(6-O-tert-butyldimethylsilyl-2,3-di-O-methyl)-β-cyclodextrin showed that A and A' were well separated with an α-value of A:A' = 1.05 (Figure 3). Consequently, the structure of Z could be easily determined to be A', namely (4S,4aS,7R,7aS)-iridomyrmecin. Under the same experimental conditions, B and B' were only poorly resolved, however, heptaiks(2,6-di-O-methyl-3-O-pentyl)-β-cyclodextrin produced a good α-value of B':B = 1.015 [20]. As a result, Y was unambiguously identified to be (4S,4aR,7S,7aR)-iridomyrmecin. A careful inspection of the analytical data obtained with the cyclodextrin column revealed the presence of small amounts of (4R,4aS,7R,7aS)-iridomyrmecin B' in the natural extract, showing the ee of natural B to be ca. 95–97%. Figure 7 shows a typical gas chromatogram (obtained with FFAP as the stationary phase) of an extract of heads of male A. victrix. Identified structures are assigned.
Figure 7: Volatile terpenoids in the cephalic secretion of Alloxysta victrix. For the identification of compounds other than Y and Z see [1].
Figure 7: Volatile terpenoids in the cephalic secretion of Alloxysta victrix. For the identification of compo...
Structural relations between the Alloxysta-compounds and other insect iridoids
The iridoid lactones which are present in the cephalic secretions of Alloxysta victrix show an unusual trans-fusion. Among the compounds showing this structure, only the lactone X [1] (Figure 1) and a compound with the same relative configuration [21] have been described from insects so far. In contrast to that, the cis-fused nepetalactone 15 and diastereomers thereof are typical components of many species of the plant genus Nepeta [22,23]. Along with the corresponding hemiacetal 16, which shows (1R)-configuration, 15 is also a most important sex pheromone of aphids [24] (Figure 8). Nevertheless, iridoids are usually associated with defense chemistry. Whilst configurations at the stereogenic centers of 15 and related iridoid lactones in insects appear to be stereotypic, several monocyclic iridoids show further stereochemical variation. Lactol 16 and iridodial (17) have first been identified as defense compounds of ants [25]. More recently, 17 – which shows (R)-configuration at C1 of the side-chain – was found to be a male-produced aggregation pheromone of lacewings [26,27].
Figure 8: Structures of iridoids from insects and plants. Absolute configurations of 19 and 20 are "educated guesses".
Figure 8: Structures of iridoids from insects and plants. Absolute configurations of 19 and 20 are "educated ...
The cis-fused iridomyrmecin (1) and dolichodial (18) are constituents of the anal gland secretion of the Argentine ant Iridomyrmex humilis [28]. More recently, (1S,2R,3S)-dolichodial (18) has been identified as an electrophysiologically active volatile released from the rosy apple aphid Dysaphis plantaginea oviparae and has been discussed apart from 15 and 16 as a possible third component of the aphid sex pheromone [29]. Actually, 18 was first identified in the defensive secretions of dolichoderine ants [25]. The same substance (or its enantiomer) has been found as a defensive compound of Nematine larvae [30] and in adults and larvae of the thrips Calloccithrips fuscipennis [31]. A stereoisomer of dolichodial – anisomorphal (19) – is a component of the defensive secretion of the walking stick Anisomorpha buprestoides [32], whilst a third stereoisomer – peruphasmal (20) – has been identified in another walking stick, Peruphasma schultei [33,34]. Recent investigations show that the qualitative and quantitative composition of cyclopentanoid iridoids in the defensive secretion of A. buprestoides may vary with age and population. The secretion may contain all three isomers 18, 19 and 20 which the insect can produce from glucose [35]. The absolute configurations of 19 and 20 are still unknown. It should be mentioned that along with other iridoids 18 and 19 are also components of the essential oil of some plant species [36]. A related cyclopentene derivative is chrysomelidial (21), a relatively widespread defense compound in larvae of phytophagous leaf beetles Chrysomelidae [37,38], which has been found in other insects, too. In the defensive secretion of oribatid mites it keeps the depicted (5S,8S)-configuration [39]. In some species, chrysomelidial is accompanied by the dehydronepetalactone 22 (gastrolactone) [40] or the didehydroiridomyrmecin 23 (plagiolactone) [37]. To the best of our knowledge, the two iridomyrmecins Y and Z are new natural products, representing the first trans-fused iridoid lactones of this type.
Whilst the trans-fused nature of the new iridoid lactones is very unusual, their stereochemical pattern (Figure 7) is even more puzzling: The configurational arrangements of the substituents in X and Y are strictly opposite, whereas the relations between X and Z are relatively close, showing inversion at C-4 only. Strangely, Z is not the expected C-4-epimer of Y, but the C-4-epimer of its enantiomer.
Apart from very few exceptions such as methoxymyodesertene (24) [41], the 4-nor-nepetalactone mitsugashiwalactone (25) [42] and its “nor-iridomyrmecin-complement” boschnialactone (26), [43] which all are plant volatiles, the methyl group in the typical five-membered ring of iridoids keeps its (S)-configuration (see also Figure 8), which is just in contrast to X and Z [44]. However, recently, two stereoisomers of iridomyrmecin showing (7R)-configuration have been reported to be components of the defense chemistry of the Drosophila parasitoid Leptopilina heterotoma [45].
Remarks on the biosynthesis of iridoids
Today it is generally accepted that the biosynthesis of iridoids starts from the acyclic geraniol (27). In a series of careful, elegant experiments it was shown that 27 is oxidized to 8-hydroxygeraniol (28) which is further transformed to 8-oxogeranial (29) [46-48] (Figure 9).
Figure 9: Biosynthetic ways to iridoids from geraniol.
Figure 9: Biosynthetic ways to iridoids from geraniol.
During these investigations the stereochemistry of the subsequent cyclization to iridoids was found to be different in larvae of herbivorous leaf beetles and in carnivorous rove beetles. In Phaedon cochleariae (Chrysomelidae), cyclization of 29 directly affords chrysomelidial (21). In contrast, in Phylonthus sp. (Staphylinidae) the first step is the formation of plagiodial (30), which was first identified from larvae of several leaf beetle species [49,50]. Subsequently, 30 may rearrange to the thermodynamically more stable, conjugated 21. Despite these results, there are still a lot of open questions concerning the biosynthesis of iridoids. Recently, it could be shown that leaf beetles may produce iridoid monoterpenes de novo [33] but they are also able to sequester glycosidically bound terpene precursors from their food plants [51-53] which is highly interesting with regards to the evolution of insect-plant relationships and insect defense chemistry. At present, nothing is known about the formation of “saturated” iridoids such as iridodial (17) or the iridoid lactones in Alloxysta. The strange stereochemical relations between these compounds may well be the result of different mechanisms in the enzymatic hydrogenation steps.
Conclusion
The new iridoid lactones have been found in the mandibular gland secretions of several alloxystine wasps [54] and their activity in intraspecific and interspecific communication has been discussed [55]. According to first bioassays, the new iridoids seem to play a multifunctional role in the tritrophic system of the aphid Sitobion avenae, its parasite, the wasp Aphidius uzbekistanicus, and the hyperparasitoide Alloxysta victrix as they obviously sedate Sitobion and repell Aphidius. However, additional bioassays will be needed to better understand the biological significance of the newly identified iridoid lactones. As our way from limonene to iridoids provides relatively easy access to a large variety of iridoid lactones and monocyclic iridoids, behavior experiments using synthetic compounds may shed some more light on the complex relationships between host aphids, primary parasitoids such as Aphidius spp., and aphid hyperparasitoids such as Alloxysta spp. [56].
Supporting Information
| Supporting Information File 1: Experimental details and characterization data for synthesized compounds. | ||
| Format: PDF | Size: 191.6 KB | Download |
References
-
Zimmermann, N.; Hilgraf, R.; Lehmann, L.; Ibarra, D.; Francke, W. Beilstein J. Org. Chem. 2012, 8, 1246–1255. doi:10.3762/bjoc.8.140
Return to citation in text: [1] [2] [3] [4] [5] [6] [7] [8] [9] [10] [11] [12] [13] -
Petersen, G.; Matthiesen, C.; Francke, W.; Wyss, U. Eur. J. Entomol. 2000, 97, 545–550.
Return to citation in text: [1] -
Regnier, F. E. In Biochemical Application of Mass Spectrometry; Waller, G. R., Ed.; Wiley & Sons: New York, 1972; pp 723–734.
Return to citation in text: [1] [2] -
Sakai, T.; Nakajima, K.; Sakan, T. Bull. Chem. Soc. Jpn. 1980, 53, 3683–3686. doi:10.1246/bcsj.53.3683
Return to citation in text: [1] [2] -
Pavan, M. Ric. Sci. 1950, 20, 1853–1855.
Return to citation in text: [1] -
Roth, L. M.; Eisner, T. Annu. Rev. Entomol. 1962, 7, 107–136. doi:10.1146/annurev.en.07.010162.000543
Return to citation in text: [1] -
Thomas, A. F.; Bessière, Y. The Synthesis of Monoterpenes, 1980–1986. In The Total Synthesis of Natural Products; ApSimon, J. W., Ed.; Wiley-Interscience: New York, 1988; Vol. 7, pp 275–454.
(and references cited therein).
Return to citation in text: [1] -
Nangia, A.; Prasuna, G.; Bheema Rao, B. Tetrahedron 1997, 53, 14507–14545. doi:10.1016/S0040-4020(97)00748-5
(and literature cited therein).
Return to citation in text: [1] -
Ernst, M.; Helmchen, G. Synthesis 2002, 1953–1955.
Return to citation in text: [1] -
Beckett, J. S.; Beckett, J. D.; Hofferberth, J. E. Org. Lett. 2010, 12, 1408–1411. doi:10.1021/ol100077z
(and references cited therein).
Return to citation in text: [1] -
Sisido, K.; Inomata, K.; Kageyqama, T.; Utimoto, K. J. Org. Chem. 1968, 33, 3149–3155. doi:10.1021/jo01272a027
Return to citation in text: [1] -
Wolinsky, J.; Gibson, T.; Chan, D.; Wolf, H. Tetrahedron 1965, 21, 1247–1261. doi:10.1016/0040-4020(65)80066-7
Return to citation in text: [1] -
Trave, R.; Marchesini, A.; Garanti, L. Gazz. Chim. Ital. 1970, 100, 1061–1075.
Return to citation in text: [1] -
Lange, G. L.; Neidert, E. E.; Orrom, W. J.; Wallace, D. J. Can. J. Chem. 1978, 56, 1628–1633. doi:10.1139/v78-266
Return to citation in text: [1] [2] -
Rao, H. S. P.; Reddy, K. S. Tetrahedron Lett. 1994, 35, 171–174. doi:10.1016/0040-4039(94)88193-6
Return to citation in text: [1] [2] -
Crabtree, R. H.; Davis, M. W. Organometallics 1983, 2, 681–892. doi:10.1021/om00077a019
Return to citation in text: [1] [2] -
Crabtree, R. H.; Davis, M. W. J. Org. Chem. 1986, 51, 2655–2661. doi:10.1021/jo00364a007
Return to citation in text: [1] [2] -
Brown, J. M. Angew. Chem., Int. Ed. Engl. 1987, 26, 190–203. doi:10.1002/anie.198701901
Return to citation in text: [1] [2] -
Wolinsky, J.; Slabaugh, M. R.; Gibson, T. J. Org. Chem. 1964, 29, 3740–3742. doi:10.1021/jo01035a537
Return to citation in text: [1] -
Ibarra-Wiltschek, D. Identifizierung und Synthese mono- und sesquiterpenoider Inhaltsstoffe aus Hymenopteren. Ph.D. Thesis, Universität Hamburg, Germany, 1995.
Return to citation in text: [1] -
Jefson, M.; Meinwald, J.; Nowicki, S.; Hicks, K.; Eisner, T. J. Chem. Ecol. 1983, 9, 159–180. doi:10.1007/BF00987779
Return to citation in text: [1] -
Meinwald, J. J. Am. Chem. Soc. 1954, 76, 4571–4573. doi:10.1021/ja01647a018
Return to citation in text: [1] -
Regnier, F. E.; Waller, G. R.; Eisenbraun, E. J. Phytochemistry 1967, 6, 1281–1289. doi:10.1016/S0031-9422(00)86090-2
Return to citation in text: [1] -
Dawson, G. W.; Griffiths, D. C.; Merritt, L. A.; Mudd, A.; Pickett, J. A.; Wadhams, L. J.; Woodcock, C. M. J. Chem. Ecol. 1990, 16, 3019–3030. doi:10.1007/BF00979609
Return to citation in text: [1] -
Cavill, G. W. K.; Hinterberger, H. Aust. J. Chem. 1961, 14, 143–149. doi:10.1071/CH9610143
Return to citation in text: [1] [2] -
Hooper, A. M.; Donato, B.; Woodcock, C. M.; Park, J. H.; Paul, R. L.; Boo, K. S.; Hardie, J.; Pickett, J. A. J. Chem. Ecol. 2002, 28, 849–864. doi:10.1023/A:1015201129331
Return to citation in text: [1] -
Zhang, Q.-H.; Sheng, M.; Chen, G.; Aldrich, J. R.; Chamhan, K. R. Naturwissenschaften 2006, 93, 461–465. doi:10.1007/s00114-006-0132-z
Return to citation in text: [1] -
Cavill, G. W. K.; Houghton, E.; McDonald, F. J.; Williams, P. J. Insect Biochem. 1976, 6, 483–490. doi:10.1016/0020-1790(76)90072-X
Return to citation in text: [1] -
Dewhirst, S. Y.; Birkett, M. A.; Fitzgerald, J. D.; Stewart-Jones, A.; Wadhams, L. J.; Woodcock, C. M.; Hardie, J.; Pickett, J. A. J. Chem. Ecol. 2008, 34, 1575–1583. doi:10.1007/s10886-008-9561-9
Return to citation in text: [1] -
Boevé, J.-L.; Braekman, J. C.; Daloze, D.; Honart, M.; Pasteels, J. M. Experientia 1984, 40, 546–547. doi:10.1007/BF01982322
Return to citation in text: [1] -
Tschuch, G.; Lindemann, P.; Moritz, G. J. Chem. Ecol. 2008, 34, 742–747. doi:10.1007/s10886-008-9494-3
Return to citation in text: [1] -
Meinwald, J.; Chadha, M. S.; Hurst, J. J.; Eisner, T. Tetrahedron Lett. 1962, 3, 29–33. doi:10.1016/S0040-4039(00)62038-5
Return to citation in text: [1] -
Dossey, A. T.; Walse, S. S.; Rocca, J. R.; Edison, A. S. ACS Chem. Biol. 2006, 1, 511–514. doi:10.1021/cb600318u
Return to citation in text: [1] [2] -
Zhang, F.; Dossey, A. T.; Zachariah, C.; Edison, A. S.; Brüschweiler, R. Anal. Chem. 2007, 79, 7748–7752. doi:10.1021/ac0711586
Return to citation in text: [1] -
Dossey, A. T.; Walse, S. S.; Edison, A. S. J. Chem. Ecol. 2008, 34, 584–590. doi:10.1007/s10886-008-9457-8
Return to citation in text: [1] -
Pagnoni, U. G.; Pinetti, A.; Trave, R.; Garanti, L. Aust. J. Chem. 1976, 29, 1375–1381. doi:10.1071/CH9761375
Return to citation in text: [1] -
Meinwald, J.; Jones, T. H.; Eisner, T.; Hicks, K. Proc. Natl. Acad. Sci. U. S. A. 1977, 74, 2189–2193. doi:10.1073/pnas.74.6.2189
Return to citation in text: [1] [2] -
Blum, M. S.; Wallace, J. B.; Duffield, R. M.; Brand, J. M.; Fales, H. M.; Sokoloski, E. A. J. Chem. Ecol. 1978, 4, 47–53. doi:10.1007/BF00988259
Return to citation in text: [1] -
Shimizu, N.; Yakumaru, Z.; Sakata, T.; Shimano, S.; Kuwahara, Y. J. Chem. Ecol. 2012, 38, 29–35. doi:10.1007/s10886-012-0064-3
Return to citation in text: [1] -
Jones, T. H.; Blum, M. S. Tetrahedron Lett. 1981, 22, 4373–4376. doi:10.1016/S0040-4039(01)82960-9
Return to citation in text: [1] -
Grant, H. G.; O’Regan, P. J.; Park, R. J.; Sutherland, M. D. Aust. J. Chem. 1980, 33, 853–878. doi:10.1071/CH9800853
Return to citation in text: [1] -
Sakan, T.; Murai, F.; Isoe, S.; Hyeon, S. B.; Hayashi, S. J. Chem. Soc. Jpn., Pure Chem. Sect. 1969, 90, 507–511.
Return to citation in text: [1] -
Sakan, T.; Murai, F.; Hayashi, Y.; Honda, Y.; Shono, T.; Nakajima, M.; Kato, M. Tetrahedron 1967, 23, 4635–4652. doi:10.1016/S0040-4020(01)92562-1
Return to citation in text: [1] -
Sampaio-Santos, M. I.; Kaplan, M. A. C. J. Braz. Chem. Soc. 2001, 12, 144–153. doi:10.1590/S0103-50532001000200004
Return to citation in text: [1] -
Stökl, J.; Hofferberth, J.; Pritschet, M.; Brummer, M.; Ruther, J. J. Chem. Ecol. 2012, 38, 331–339. doi:10.1007/s10886-012-0103-0
Return to citation in text: [1] -
Lorenz, M.; Boland, W.; Dettner, K. Angew. Chem., Int. Ed. Engl. 1993, 32, 912–914. doi:10.1002/anie.199309121
Return to citation in text: [1] -
Veith, M.; Lorenz, M.; Boland, W.; Simon, H.; Dettner, K. Tetrahedron 1994, 50, 6859–6874. doi:10.1016/S0040-4020(01)81338-7
Return to citation in text: [1] -
Weibel, D. B.; Oldham, N. J.; Feld, B.; Glombitza, G.; Dettner, K.; Boland, W. Insect Biochem. Mol. Biol. 2001, 31, 583–591. doi:10.1016/S0965-1748(00)00163-6
Return to citation in text: [1] -
Sugawara, F.; Matsuda, K.; Kobayashi, A.; Yamashita, K. J. Chem. Ecol. 1979, 5, 929–939. doi:10.1007/BF00990215
Return to citation in text: [1] -
Pasteels, J. M.; Braekman, J. C.; Daloze, D.; Ottinger, R. Tetrahedron 1982, 38, 1891–1897. doi:10.1016/0040-4020(82)80038-0
Return to citation in text: [1] -
Daloze, D.; Pasteels, J. M. J. Chem. Ecol. 1994, 20, 2089–2097. doi:10.1007/BF02066245
Return to citation in text: [1] -
Feld, B. K.; Pasteels, J. M.; Boland, W. Chemoecology 2001, 11, 191–198. doi:10.1007/PL00001851
Return to citation in text: [1] -
Kunert, M.; Søe, A.; Bartram, S.; Discher, S.; Tolzin-Banasch, K.; Nie, L.; David, A.; Pasteels, J.; Boland, W. Insect Biochem. Mol. Biol. 2008, 38, 895–904. doi:10.1016/j.ibmb.2008.06.005
Return to citation in text: [1] -
Hübner, G.; Völkl, W.; Francke, W.; Dettner, K. Biochem. Syst. Ecol. 2002, 30, 505–523. doi:10.1016/S0305-1978(01)00137-5
Return to citation in text: [1] -
Petersen, G.; Matthiesen, C.; Stolzenberg, N.; Zimmermann, N.; Hilgraf, R.; Lehmann, L.; Francke, W.; Wyss, U. Mitt. Dtsch. Entomol. Ges. 2001, 13, 51–55.
Return to citation in text: [1] -
Grasswitz, T. R.; Reese, B. D. BioControl 1998, 43, 261–271. doi:10.1023/A:1009987609371
Return to citation in text: [1]
| 21. | Jefson, M.; Meinwald, J.; Nowicki, S.; Hicks, K.; Eisner, T. J. Chem. Ecol. 1983, 9, 159–180. doi:10.1007/BF00987779 |
| 22. | Meinwald, J. J. Am. Chem. Soc. 1954, 76, 4571–4573. doi:10.1021/ja01647a018 |
| 23. | Regnier, F. E.; Waller, G. R.; Eisenbraun, E. J. Phytochemistry 1967, 6, 1281–1289. doi:10.1016/S0031-9422(00)86090-2 |
| 24. | Dawson, G. W.; Griffiths, D. C.; Merritt, L. A.; Mudd, A.; Pickett, J. A.; Wadhams, L. J.; Woodcock, C. M. J. Chem. Ecol. 1990, 16, 3019–3030. doi:10.1007/BF00979609 |
| 31. | Tschuch, G.; Lindemann, P.; Moritz, G. J. Chem. Ecol. 2008, 34, 742–747. doi:10.1007/s10886-008-9494-3 |
| 32. | Meinwald, J.; Chadha, M. S.; Hurst, J. J.; Eisner, T. Tetrahedron Lett. 1962, 3, 29–33. doi:10.1016/S0040-4039(00)62038-5 |
| 25. | Cavill, G. W. K.; Hinterberger, H. Aust. J. Chem. 1961, 14, 143–149. doi:10.1071/CH9610143 |
| 30. | Boevé, J.-L.; Braekman, J. C.; Daloze, D.; Honart, M.; Pasteels, J. M. Experientia 1984, 40, 546–547. doi:10.1007/BF01982322 |
| 28. | Cavill, G. W. K.; Houghton, E.; McDonald, F. J.; Williams, P. J. Insect Biochem. 1976, 6, 483–490. doi:10.1016/0020-1790(76)90072-X |
| 29. | Dewhirst, S. Y.; Birkett, M. A.; Fitzgerald, J. D.; Stewart-Jones, A.; Wadhams, L. J.; Woodcock, C. M.; Hardie, J.; Pickett, J. A. J. Chem. Ecol. 2008, 34, 1575–1583. doi:10.1007/s10886-008-9561-9 |
| 25. | Cavill, G. W. K.; Hinterberger, H. Aust. J. Chem. 1961, 14, 143–149. doi:10.1071/CH9610143 |
| 26. | Hooper, A. M.; Donato, B.; Woodcock, C. M.; Park, J. H.; Paul, R. L.; Boo, K. S.; Hardie, J.; Pickett, J. A. J. Chem. Ecol. 2002, 28, 849–864. doi:10.1023/A:1015201129331 |
| 27. | Zhang, Q.-H.; Sheng, M.; Chen, G.; Aldrich, J. R.; Chamhan, K. R. Naturwissenschaften 2006, 93, 461–465. doi:10.1007/s00114-006-0132-z |
| 33. | Dossey, A. T.; Walse, S. S.; Rocca, J. R.; Edison, A. S. ACS Chem. Biol. 2006, 1, 511–514. doi:10.1021/cb600318u |
| 34. | Zhang, F.; Dossey, A. T.; Zachariah, C.; Edison, A. S.; Brüschweiler, R. Anal. Chem. 2007, 79, 7748–7752. doi:10.1021/ac0711586 |
| 35. | Dossey, A. T.; Walse, S. S.; Edison, A. S. J. Chem. Ecol. 2008, 34, 584–590. doi:10.1007/s10886-008-9457-8 |
| 36. | Pagnoni, U. G.; Pinetti, A.; Trave, R.; Garanti, L. Aust. J. Chem. 1976, 29, 1375–1381. doi:10.1071/CH9761375 |
| 43. | Sakan, T.; Murai, F.; Hayashi, Y.; Honda, Y.; Shono, T.; Nakajima, M.; Kato, M. Tetrahedron 1967, 23, 4635–4652. doi:10.1016/S0040-4020(01)92562-1 |
| 44. | Sampaio-Santos, M. I.; Kaplan, M. A. C. J. Braz. Chem. Soc. 2001, 12, 144–153. doi:10.1590/S0103-50532001000200004 |
| 41. | Grant, H. G.; O’Regan, P. J.; Park, R. J.; Sutherland, M. D. Aust. J. Chem. 1980, 33, 853–878. doi:10.1071/CH9800853 |
| 42. | Sakan, T.; Murai, F.; Isoe, S.; Hyeon, S. B.; Hayashi, S. J. Chem. Soc. Jpn., Pure Chem. Sect. 1969, 90, 507–511. |
| 40. | Jones, T. H.; Blum, M. S. Tetrahedron Lett. 1981, 22, 4373–4376. doi:10.1016/S0040-4039(01)82960-9 |
| 37. | Meinwald, J.; Jones, T. H.; Eisner, T.; Hicks, K. Proc. Natl. Acad. Sci. U. S. A. 1977, 74, 2189–2193. doi:10.1073/pnas.74.6.2189 |
| 37. | Meinwald, J.; Jones, T. H.; Eisner, T.; Hicks, K. Proc. Natl. Acad. Sci. U. S. A. 1977, 74, 2189–2193. doi:10.1073/pnas.74.6.2189 |
| 38. | Blum, M. S.; Wallace, J. B.; Duffield, R. M.; Brand, J. M.; Fales, H. M.; Sokoloski, E. A. J. Chem. Ecol. 1978, 4, 47–53. doi:10.1007/BF00988259 |
| 39. | Shimizu, N.; Yakumaru, Z.; Sakata, T.; Shimano, S.; Kuwahara, Y. J. Chem. Ecol. 2012, 38, 29–35. doi:10.1007/s10886-012-0064-3 |
| 46. | Lorenz, M.; Boland, W.; Dettner, K. Angew. Chem., Int. Ed. Engl. 1993, 32, 912–914. doi:10.1002/anie.199309121 |
| 47. | Veith, M.; Lorenz, M.; Boland, W.; Simon, H.; Dettner, K. Tetrahedron 1994, 50, 6859–6874. doi:10.1016/S0040-4020(01)81338-7 |
| 48. | Weibel, D. B.; Oldham, N. J.; Feld, B.; Glombitza, G.; Dettner, K.; Boland, W. Insect Biochem. Mol. Biol. 2001, 31, 583–591. doi:10.1016/S0965-1748(00)00163-6 |
| 49. | Sugawara, F.; Matsuda, K.; Kobayashi, A.; Yamashita, K. J. Chem. Ecol. 1979, 5, 929–939. doi:10.1007/BF00990215 |
| 50. | Pasteels, J. M.; Braekman, J. C.; Daloze, D.; Ottinger, R. Tetrahedron 1982, 38, 1891–1897. doi:10.1016/0040-4020(82)80038-0 |
| 45. | Stökl, J.; Hofferberth, J.; Pritschet, M.; Brummer, M.; Ruther, J. J. Chem. Ecol. 2012, 38, 331–339. doi:10.1007/s10886-012-0103-0 |
| 1. | Zimmermann, N.; Hilgraf, R.; Lehmann, L.; Ibarra, D.; Francke, W. Beilstein J. Org. Chem. 2012, 8, 1246–1255. doi:10.3762/bjoc.8.140 |
| 2. | Petersen, G.; Matthiesen, C.; Francke, W.; Wyss, U. Eur. J. Entomol. 2000, 97, 545–550. |
| 3. | Regnier, F. E. In Biochemical Application of Mass Spectrometry; Waller, G. R., Ed.; Wiley & Sons: New York, 1972; pp 723–734. |
| 1. | Zimmermann, N.; Hilgraf, R.; Lehmann, L.; Ibarra, D.; Francke, W. Beilstein J. Org. Chem. 2012, 8, 1246–1255. doi:10.3762/bjoc.8.140 |
| 1. | Zimmermann, N.; Hilgraf, R.; Lehmann, L.; Ibarra, D.; Francke, W. Beilstein J. Org. Chem. 2012, 8, 1246–1255. doi:10.3762/bjoc.8.140 |
| 14. | Lange, G. L.; Neidert, E. E.; Orrom, W. J.; Wallace, D. J. Can. J. Chem. 1978, 56, 1628–1633. doi:10.1139/v78-266 |
| 15. | Rao, H. S. P.; Reddy, K. S. Tetrahedron Lett. 1994, 35, 171–174. doi:10.1016/0040-4039(94)88193-6 |
| 1. | Zimmermann, N.; Hilgraf, R.; Lehmann, L.; Ibarra, D.; Francke, W. Beilstein J. Org. Chem. 2012, 8, 1246–1255. doi:10.3762/bjoc.8.140 |
| 1. | Zimmermann, N.; Hilgraf, R.; Lehmann, L.; Ibarra, D.; Francke, W. Beilstein J. Org. Chem. 2012, 8, 1246–1255. doi:10.3762/bjoc.8.140 |
| 56. | Grasswitz, T. R.; Reese, B. D. BioControl 1998, 43, 261–271. doi:10.1023/A:1009987609371 |
| 3. | Regnier, F. E. In Biochemical Application of Mass Spectrometry; Waller, G. R., Ed.; Wiley & Sons: New York, 1972; pp 723–734. |
| 4. | Sakai, T.; Nakajima, K.; Sakan, T. Bull. Chem. Soc. Jpn. 1980, 53, 3683–3686. doi:10.1246/bcsj.53.3683 |
| 1. | Zimmermann, N.; Hilgraf, R.; Lehmann, L.; Ibarra, D.; Francke, W. Beilstein J. Org. Chem. 2012, 8, 1246–1255. doi:10.3762/bjoc.8.140 |
| 7. |
Thomas, A. F.; Bessière, Y. The Synthesis of Monoterpenes, 1980–1986. In The Total Synthesis of Natural Products; ApSimon, J. W., Ed.; Wiley-Interscience: New York, 1988; Vol. 7, pp 275–454.
(and references cited therein). |
| 8. |
Nangia, A.; Prasuna, G.; Bheema Rao, B. Tetrahedron 1997, 53, 14507–14545. doi:10.1016/S0040-4020(97)00748-5
(and literature cited therein). |
| 9. | Ernst, M.; Helmchen, G. Synthesis 2002, 1953–1955. |
| 10. |
Beckett, J. S.; Beckett, J. D.; Hofferberth, J. E. Org. Lett. 2010, 12, 1408–1411. doi:10.1021/ol100077z
(and references cited therein). |
| 12. | Wolinsky, J.; Gibson, T.; Chan, D.; Wolf, H. Tetrahedron 1965, 21, 1247–1261. doi:10.1016/0040-4020(65)80066-7 |
| 54. | Hübner, G.; Völkl, W.; Francke, W.; Dettner, K. Biochem. Syst. Ecol. 2002, 30, 505–523. doi:10.1016/S0305-1978(01)00137-5 |
| 6. | Roth, L. M.; Eisner, T. Annu. Rev. Entomol. 1962, 7, 107–136. doi:10.1146/annurev.en.07.010162.000543 |
| 13. | Trave, R.; Marchesini, A.; Garanti, L. Gazz. Chim. Ital. 1970, 100, 1061–1075. |
| 55. | Petersen, G.; Matthiesen, C.; Stolzenberg, N.; Zimmermann, N.; Hilgraf, R.; Lehmann, L.; Francke, W.; Wyss, U. Mitt. Dtsch. Entomol. Ges. 2001, 13, 51–55. |
| 33. | Dossey, A. T.; Walse, S. S.; Rocca, J. R.; Edison, A. S. ACS Chem. Biol. 2006, 1, 511–514. doi:10.1021/cb600318u |
| 4. | Sakai, T.; Nakajima, K.; Sakan, T. Bull. Chem. Soc. Jpn. 1980, 53, 3683–3686. doi:10.1246/bcsj.53.3683 |
| 11. | Sisido, K.; Inomata, K.; Kageyqama, T.; Utimoto, K. J. Org. Chem. 1968, 33, 3149–3155. doi:10.1021/jo01272a027 |
| 51. | Daloze, D.; Pasteels, J. M. J. Chem. Ecol. 1994, 20, 2089–2097. doi:10.1007/BF02066245 |
| 52. | Feld, B. K.; Pasteels, J. M.; Boland, W. Chemoecology 2001, 11, 191–198. doi:10.1007/PL00001851 |
| 53. | Kunert, M.; Søe, A.; Bartram, S.; Discher, S.; Tolzin-Banasch, K.; Nie, L.; David, A.; Pasteels, J.; Boland, W. Insect Biochem. Mol. Biol. 2008, 38, 895–904. doi:10.1016/j.ibmb.2008.06.005 |
| 19. | Wolinsky, J.; Slabaugh, M. R.; Gibson, T. J. Org. Chem. 1964, 29, 3740–3742. doi:10.1021/jo01035a537 |
| 16. | Crabtree, R. H.; Davis, M. W. Organometallics 1983, 2, 681–892. doi:10.1021/om00077a019 |
| 17. | Crabtree, R. H.; Davis, M. W. J. Org. Chem. 1986, 51, 2655–2661. doi:10.1021/jo00364a007 |
| 18. | Brown, J. M. Angew. Chem., Int. Ed. Engl. 1987, 26, 190–203. doi:10.1002/anie.198701901 |
| 1. | Zimmermann, N.; Hilgraf, R.; Lehmann, L.; Ibarra, D.; Francke, W. Beilstein J. Org. Chem. 2012, 8, 1246–1255. doi:10.3762/bjoc.8.140 |
| 1. | Zimmermann, N.; Hilgraf, R.; Lehmann, L.; Ibarra, D.; Francke, W. Beilstein J. Org. Chem. 2012, 8, 1246–1255. doi:10.3762/bjoc.8.140 |
| 1. | Zimmermann, N.; Hilgraf, R.; Lehmann, L.; Ibarra, D.; Francke, W. Beilstein J. Org. Chem. 2012, 8, 1246–1255. doi:10.3762/bjoc.8.140 |
| 1. | Zimmermann, N.; Hilgraf, R.; Lehmann, L.; Ibarra, D.; Francke, W. Beilstein J. Org. Chem. 2012, 8, 1246–1255. doi:10.3762/bjoc.8.140 |
| 20. | Ibarra-Wiltschek, D. Identifizierung und Synthese mono- und sesquiterpenoider Inhaltsstoffe aus Hymenopteren. Ph.D. Thesis, Universität Hamburg, Germany, 1995. |
| 1. | Zimmermann, N.; Hilgraf, R.; Lehmann, L.; Ibarra, D.; Francke, W. Beilstein J. Org. Chem. 2012, 8, 1246–1255. doi:10.3762/bjoc.8.140 |
| 16. | Crabtree, R. H.; Davis, M. W. Organometallics 1983, 2, 681–892. doi:10.1021/om00077a019 |
| 17. | Crabtree, R. H.; Davis, M. W. J. Org. Chem. 1986, 51, 2655–2661. doi:10.1021/jo00364a007 |
| 18. | Brown, J. M. Angew. Chem., Int. Ed. Engl. 1987, 26, 190–203. doi:10.1002/anie.198701901 |
| 1. | Zimmermann, N.; Hilgraf, R.; Lehmann, L.; Ibarra, D.; Francke, W. Beilstein J. Org. Chem. 2012, 8, 1246–1255. doi:10.3762/bjoc.8.140 |
| 14. | Lange, G. L.; Neidert, E. E.; Orrom, W. J.; Wallace, D. J. Can. J. Chem. 1978, 56, 1628–1633. doi:10.1139/v78-266 |
| 15. | Rao, H. S. P.; Reddy, K. S. Tetrahedron Lett. 1994, 35, 171–174. doi:10.1016/0040-4039(94)88193-6 |
| 1. | Zimmermann, N.; Hilgraf, R.; Lehmann, L.; Ibarra, D.; Francke, W. Beilstein J. Org. Chem. 2012, 8, 1246–1255. doi:10.3762/bjoc.8.140 |
© 2012 Hilgraf et al; licensee Beilstein-Institut.
This is an Open Access article under the terms of the Creative Commons Attribution License (http://creativecommons.org/licenses/by/2.0), which permits unrestricted use, distribution, and reproduction in any medium, provided the original work is properly cited.
The license is subject to the Beilstein Journal of Organic Chemistry terms and conditions: (http://www.beilstein-journals.org/bjoc)