Abstract
A series of nitrogen (N)-doped macrocycles was successfully synthesized through palladium-catalyzed arylation. X-ray crystallographic characterization revealed the formation of isomeric products depending on the substituents on the N atoms. Notably, two intrinsically chiral macrocycles MC1 and MC3 with C1 symmetry were successfully obtained. These macrocycles exhibit exceptional photophysical properties, particularly remarkable high fluorescence quantum yields (ΦF up to 0.69). Furthermore, enantiomeric resolution of inherent chiral MC1 was achieved using preparative chiral HPLC, enabling detailed investigation of its chiroptical behavior through circular dichroism and circularly polarized luminescence spectroscopy.
Graphical Abstract
Introduction
Chiral macrocycles have attracted significant research interest owing to their diverse applications in enantioselective recognition [1,2], catalysis [3,4], and circularly polarized luminescence [5,6]. Generally, chirality in macrocycles arises from subunits featuring classical chiral elements [7], such as central, axis, planar and helical configurations. In contrast, inherent chirality represents a non-classical phenomenon where chirality emerges from the rigid and nonplanar architecture of macrocycles that inherently lacks symmetry [8,9]. One of the most typical representatives are calix[4]arenes (Figure 1a), first reported by Böhmer in 1994 [10], where asymmetric substitutions on the macrocyclic rim induce inherent chirality. Subsequent advancements have identified other inherent chiral systems, including molecular bowls [11-13] and medium-sized macrocycles containing a saddle-shaped eight-membered ring [14,15]. In the past decades, despite rapid progress in chiral macrocycles, inherent chirality is largely limited to calix[n]arene derivatives. This underscores a critical opportunity to design novel macrocyclic frameworks with intrinsic asymmetry.
Figure 1: (a) Representatives of inherent chiral calix[4]arenes. (b) Molecular skeletons of inherent chiral N-doped macrocycles in this work.
Figure 1: (a) Representatives of inherent chiral calix[4]arenes. (b) Molecular skeletons of inherent chiral N...
Nitrogen (N)-doped macrocycles are of peculiar interest due to their unique optical, electronic and magnetic properties [16-19]. Among them, aza[1n]metacyclophanes, in which m-phenylene units are linked via N atoms, serves as N-bridged structural analogs of [1n]metacyclophanes. In comparison to all-carbon [1n]metacyclophanes, the incorporation of N atoms endows them with unique features, such as enhanced molecular dynamics and tunable redox property, positioning them as key precursors to construct organic high-spin materials [20-23]. In addition to benzene-based systems, pyridine-embedded aza[1n]metacyclophanes have been synthesized by Wang [24]. Despite these advances, N-doped chiral macrocycles incorporating extended π-conjugated moieties remain largely underexplored. To date, only a few examples, carbazole-based chiral macrocycles, have been reported [17,25], highlighting a critical gap in the design of chiral macrocycles with tailored electronic landscapes. Herein, we reported the synthesis, characterizations and photophysical properties of inherent chiral N-doped macrocycles (Figure 1b) via regioselective palladium (Pd)-catalyzed arylation of aza[14]metacyclophane derivatives. By modulating the substitutions on the N atoms, two isomeric macrocycles, a C1-symmetric one as the minor fraction (MC1) and a C2v-symmetric one as the major product (MC2), were successfully obtained when 4-tert-butylphenyl groups were introduced. In contrast, when bulky 3,5-bis(trifluoromethyl)phenyl groups were introduced, only inherent chiral macrocyclic products (MC3) were obtained in high yield. Their molecular structures are unambiguously characterized by NMR, mass spectra and X-ray crystallographic characterization. In addition, these macrocycles show blue to green emissions with high fluorescence quantum yields (ΦF up to 0.69). Owing to the existence of inherent chirality, two enantiomers of N-doped macrocycle MC1 were successfully isolated by chiral resolution, enabling detailed investigation of its chiroptical properties through circular dichroism (CD) and circularly polarized luminescence (CPL) spectroscopy.
Results and Discussion
The syntheses of N-doped macrocycles MC1–3 are shown in Scheme 1. Diamines 1a and 1b were synthesized by double Pd-catalyzed C–N coupling reaction of 4,6-dichlorobenzene-1,3-diamine with phenyl bromide (see Supporting Information File 1). Subsequent Buchwald–Hartwig reaction with 1,3-dibromo-7-tert-butylpyrene (2) gave the [2 + 2] macrocyclic precursors 3a,b as the major product in 16%/10% yields, and trace amounts of higher oligomers as detected by mass spectrometry. Notably, compounds 3a,b could be viewed as the aza[14]metacyclophane derivatives, in which two benzene rings are replaced by two pyrenes. The Pd-catalyzed arylation of 3a with Pd(OAc)2, PMe(t-Bu)2·HBF4 and DBU under microwave conditions gave two isomeric macrocycles MC1 and MC2 with four newly formed C–C bonds in yields of 5% and 90%, respectively. For MC2, four C–C bonds are formed between the dichlorobenzene units and tert-butylphenyl groups, generating two dihydroindolo[2,3-b]carbazole subunits. In contrast, there is only one newly formed C–C bond between the dichlorobenzene unit and one pyrene moiety for MC1. Interestingly, for the cyclization of 3b, only compound MC3 was obtained in 85% yield, which is probably attributed to larger steric hindrance deriving from bis(trifluoromethyl)phenyl groups. These macrocycles show good solubility in common solvents, and their chemical structures have been unambiguously characterized by NMR spectroscopy, mass spectrometry, and X-ray crystallography.
Scheme 1: Synthesis of N-doped macrocycles MC1, MC2, and MC3. Reaction conditions: a) Pd2(dba)3, Pt-Bu3·HBF4, NaOt-Bu, toluene, 110 °C, 24 h. 3a: 16%; 3b: 10%. b) Pd(OAc)2, PMe(t-Bu)2·HBF4, 1,8-diazabicyclo[5.4.0]undec-7-ene (DBU), DMAc, microwave, 170 °C, 5 h. MC1: 5%; MC2: 90%; MC3: 85%.
Scheme 1: Synthesis of N-doped macrocycles MC1, MC2, and MC3. Reaction conditions: a) Pd2(dba)3, Pt-Bu3·HBF4,...
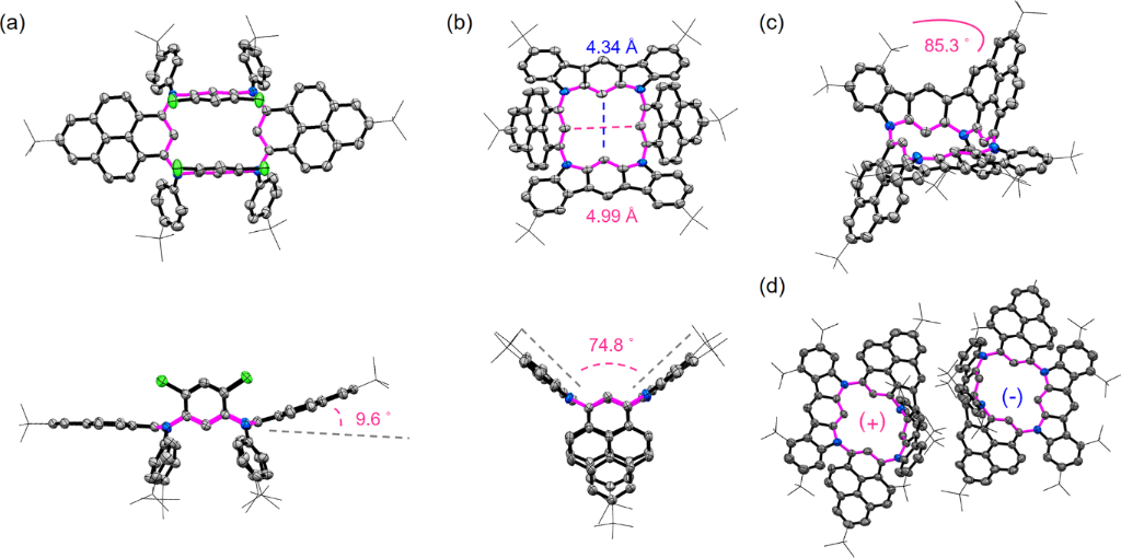
Single crystals suitable for X-ray diffraction measurements of compounds 3a, MC2, and MC3 were successfully obtained to reveal their molecular structures. In the crystal structure of 3a (Figure 2a), the two pyrene units are nearly coplanar with a dihedral angle of 170°. The two dichlorobenzene rings are parallel to each other and perpendicular to the pyrene plane, and the four tert-butylphenyl groups are directed on one side of the pyrene plane to minimize steric repulsion. MC2 takes a C2v-symmetric saddle-shaped geometry with two planar dihydroindolo[2,3-b]carbazole subunits orienting upwards with a dihedral angle of 75° and two pyrene units downwards (Figure 2b). Besides, the central cavity is highly symmetric, and the shortest diameters are determined to be 4.34 Å and 4.99 Å, respectively. In contrast to MC2, MC3 shows an asymmetric geometry due to the fusion of the pyrene unit (Figure 2c). The two pyrene units are oriented antiparallel, which is distinctive from that observed in 3a and MC2. Notably, the pyrene-fused moiety is highly curved with a bending angle of 85.3° as defined by the angle of the planes of the terminal rings. In the molecular arrangement, a pair of enantiomers exists in each cell for MC3 (Figure 2d). Considering the C–C single bonds between the π-subunits, isomerization among different molecular configurations might occur via rotations. To further investigate the conformational stability of MC3, theoretical calculations were performed to evaluate the energy barriers of isomerization. As shown in Figure S3 (Supporting Information File 1), the configuration observed in the crystal structure has the lower energy by 24.0 kcal mol−1 than that of the isomeric structure with two pyrene units at the same side. The energy barrier was calculated to be 66.7 kcal mol−1, indicating MC3 is highly conformationally stable.
Figure 2: Crystal structures of compounds (a) 3a, (b) MC2, and (c) MC3. (d) Molecular arrangements of MC3. Hydrogen atoms are omitted for clarity.
Figure 2: Crystal structures of compounds (a) 3a, (b) MC2, and (c) MC3. (d) Molecular arrangements of MC3. Hy...
The optical properties of the synthesized macrocycles were investigated in dichloromethane (Figure 3). The precursors 3a,b show intense absorptions with maxima at 425 nm and 395 nm, respectively. Correspondingly, 3a exhibits a deep blue emission at 453 nm with a quantum yield (ΦF) of 0.79, while a hypsochromic shift of the signal for 3b to 424 nm is observed and the ΦF value is decreased to 0.22 due to the electron-deficient character of the 3,5-bis(trifluoromethyl)phenyl groups. The absorption maximum of MC1 is more redshifted by 42 nm compared to MC2, which is attributed to the extended conjugation after the fusion of one pyrene unit. Similarly, both MC1 and MC2 have higher ΦF values of 0.45 and 0.69 than compound MC3 (ΦF = 0.13). The optical energy bandgaps were determined to be 2.48 eV for MC1, 2.61 eV for MC2, and 2.68 eV for MC3, respectively, based on the onset absorptions. MC2 and MC3 display strong blue emissions at 487 nm and 458 nm, respectively, while MC1 exhibits green photoluminescence at 516 nm.
Figure 3: (a) Absorptions and (b) emissions of compounds 3a, 3b, MC1, MC2, and MC3 measured in dichloromethane at room temperature. The inset shows the photographs under UV light at 365 nm. The concentration is 10 μM.
Figure 3: (a) Absorptions and (b) emissions of compounds 3a, 3b, MC1, MC2, and MC3 measured in dichloromethan...
To better understand the electronic structures of these N-doped macrocycles, theoretical calculations on the frontier molecular orbitals were carried out based on the optimized structures. As shown in Figure 4, the distributions of the highest occupied molecular orbitals (HOMOs) are disjointed from that of the lowest unoccupied molecular orbitals (LUMOs). Specifically, the HOMOs of MC1 and MC3 mainly distribute on the fused pyrene moiety and the substituent on the N atom, while the LUMOs localize on the other pyrene unit. In contrast, the HOMOs of MC2 are mainly located on two dihydroindolo[2,3-b]carbazole subunits, and the LUMOs localize on two pyrene units. Owing to electron-deficient character, both the HOMO and LUMO energy levels of MC3 are obviously decreased in comparison to MC1 and MC2. Accordingly, the calculated energy gaps are 2.81 eV for MC1, 3.01 for MC2 and 3.08 for MC3, respectively, which are in line with the optical ones.
Figure 4: Calculated frontier molecular orbitals and relative energy levels of MC1 (left), MC2 (middle), and MC3 (right) calculated at the B3LYP/6-31G(d) level of theory.
Figure 4: Calculated frontier molecular orbitals and relative energy levels of MC1 (left), MC2 (middle), and ...
In view of the existence of inherent chirality for both MC1 and MC3, chiral resolutions using chiral high-performance liquid chromatography (HPLC) were performed. Due to insufficient solubility, MC3 failed in chiral separation via preparative chiral columns. Fortunately, two enantiomers of MC1 were successfully isolated with a Daicel Chiralpak IF column (Figure S1, Supporting Information File 1). The absolute configuration of the separated enantiomers of MC1 was determined based on the calculated CD spectra (Figure S4, Supporting Information File 1). The first fraction was defined as the (+)-enantiomer, and the second fraction was assigned as the (−)-enantiomer. As shown in Figure 5, the CD spectra displayed mirror images with positive and negative Cotton effects at wavelengths from 250 to 500 nm, indicating strong chiroptical responses. (+)-MC1 shows five positive Cotton effects at 259, 305, 355, 392, and 453 nm, as well as four negative Cotton effects at 288, 317, 331, and 432 nm, respectively. (−)-MC1 exhibits a mirror image with the opposite signals to that of (+)-MC1. The maximum absorption dissymmetry factor (gabs) value of 1.1 × 10−3 at 453 nm is observed (Figure 5b), which is derived from the S0→S1 transition. Similar to the CD spectra, mirror images of the CPL spectra (Figure S2, Supporting Information File 1) and luminescence dissymmetry factor (glum) plots (Figure 5c) were observed for the enantiomers of MC1. However, both enantiomers show a low glum value below 1.0 × 10−3.
Figure 5: (a) CD spectra, (b) |gabs|, and (c) glum values of enantiomers of MC1 measured in dichloromethane at room temperature. The concentrations were 10 μM.
Figure 5: (a) CD spectra, (b) |gabs|, and (c) glum values of enantiomers of MC1 measured in dichloromethane a...
Conclusion
In summary, we demonstrated the synthesis and characterizations of N-doped macrocycles MC1–3 by palladium-catalyzed arylations. The molecular structures of the macrocyclic precursors and targets were unambiguously revealed by X-ray crystallographic characterization. These macrocycles exhibit strong fluorescence with ΦF values up to 0.69. Remarkably, MC1 and MC3 are inherent chiral owing to their C1 symmetric structures. The enantiomers of MC1 were successfully isolated by chiral resolution, which indicate a gabs value of 1.1 × 10−3 and a glum value at the level of 10−4. Our work represents one of the rare examples of non-classical chiral macrocycles, providing insights into molecular design of chiral macrocycles with high emissions.
Acknowledgements
We thank Dr. Faan-Fung Hung and Prof. Chi-Ming Che for the assistance in measurements of photophysical and chiroptical properties. Prof. Zhaohui Wang from Tsinghua University is acknowledged for helpful discussions. We thank the UGC funding administered by HKU for supporting the Time-of-Flight Mass Spectrometry Facilities under the Support for Interdisciplinary Research in Chemical Science. We acknowledge the computer cluster (HPC2021) of HKU for generous allocations of compute resources.
Funding
This work was supported by the Hong Kong Research Grants Council (27301720, 17304021), National Natural Science Foundation of China (22122114). J. L. is grateful for the funding from The University of Hong Kong (HKU) and ITC to the SKL. The work described in this paper was partially supported by a grant from the Co-funding Mechanism on Joint Laboratories with the Chinese Academy of Sciences (CAS) sponsored by the Research Grants Council of the Hong Kong Special Administrative Region, China and the CAS (Project No. JLFS/P-701/24 and Project No. JLFS/P-404/24).
Data Availability Statement
All data that supports the findings of this study is available in the published article and/or the supporting information of this article.
References
-
Sun, G.; Zhang, X.; Zheng, Z.; Zhang, Z.-Y.; Dong, M.; Sessler, J. L.; Li, C. J. Am. Chem. Soc. 2024, 146, 26233–26242. doi:10.1021/jacs.4c07924
Return to citation in text: [1] -
Zhang, X. X.; Bradshaw, J. S.; Izatt, R. M. Chem. Rev. 1997, 97, 3313–3362. doi:10.1021/cr960144p
Return to citation in text: [1] -
Kellogg, R. M. Angew. Chem., Int. Ed. Engl. 1984, 23, 782–794. doi:10.1002/anie.198407821
Return to citation in text: [1] -
Yamashita, K.; Tabata, Y.; Yamakawa, K.; Mochizuki, T.; Matsui, K.; Hatano, M.; Ishihara, K. J. Am. Chem. Soc. 2023, 145, 26238–26248. doi:10.1021/jacs.3c08905
Return to citation in text: [1] -
Wang, J.-Q.; Han, X.-N.; Han, Y.; Chen, C.-F. Chem. Commun. 2023, 59, 13089–13106. doi:10.1039/d3cc04187e
Return to citation in text: [1] -
Hasegawa, M.; Nojima, Y.; Mazaki, Y. ChemPhotoChem 2021, 5, 1042–1058. doi:10.1002/cptc.202100162
Return to citation in text: [1] -
Sun, Z.; Tang, H.; Wang, L.; Cao, D. Chem. – Eur. J. 2025, 31, e202404217. doi:10.1002/chem.202404217
Return to citation in text: [1] -
Szumna, A. Chem. Soc. Rev. 2010, 39, 4274–4285. doi:10.1039/b919527k
Return to citation in text: [1] -
Dalla Cort, A.; Mandolini, L.; Pasquini, C.; Schiaffino, L. New J. Chem. 2004, 28, 1198–1199. doi:10.1039/b404388j
Return to citation in text: [1] -
Böhmer, V.; Kraft, D.; Tabatabai, M. J. Inclusion Phenom. Mol. Recognit. Chem. 1994, 19, 17–39. doi:10.1007/bf00708972
Return to citation in text: [1] -
Higashibayashi, S.; Sakurai, H. J. Am. Chem. Soc. 2008, 130, 8592–8593. doi:10.1021/ja802822k
Return to citation in text: [1] -
Tan, Q.; Higashibayashi, S.; Karanjit, S.; Sakurai, H. Nat. Commun. 2012, 3, 891. doi:10.1038/ncomms1896
Return to citation in text: [1] -
Wu, Y.-T.; Hayama, T.; Baldridge, K. K.; Linden, A.; Siegel, J. S. J. Am. Chem. Soc. 2006, 128, 6870–6884. doi:10.1021/ja058391a
Return to citation in text: [1] -
Shi, S.-Q.; Cui, C.-C.; Xu, L.-L.; Zhang, J.-P.; Hao, W.-J.; Wang, J.; Jiang, B. Nat. Commun. 2024, 15, 8474. doi:10.1038/s41467-024-52823-3
Return to citation in text: [1] -
Luo, Y.; Luo, S.; Zhu, Q. J. Org. Chem. 2025, 90, 5307–5322. doi:10.1021/acs.joc.5c00479
Return to citation in text: [1] -
Zhang, F.; Du, X.-S.; Zhang, D.-W.; Wang, Y.-F.; Lu, H.-Y.; Chen, C.-F. Angew. Chem., Int. Ed. 2021, 60, 15291–15295. doi:10.1002/anie.202104259
Return to citation in text: [1] -
Zhao, F.; Zhao, J.; Liu, H.; Wang, Y.; Duan, J.; Li, C.; Di, J.; Zhang, N.; Zheng, X.; Chen, P. J. Am. Chem. Soc. 2023, 145, 10092–10103. doi:10.1021/jacs.3c00306
Return to citation in text: [1] [2] -
Ma, Y.; Han, Y.; Hou, X.; Wu, S.; Chi, C. Angew. Chem., Int. Ed. 2024, 63, e202407990. doi:10.1002/anie.202407990
Return to citation in text: [1] -
Qiu, S.; Zhao, Y.; Zhang, L.; Ni, Y.; Wu, Y.; Cong, H.; Qu, D.-H.; Jiang, W.; Wu, J.; Tian, H.; Wang, Z. CCS Chem. 2023, 5, 1763–1772. doi:10.31635/ccschem.023.202302830
Return to citation in text: [1] -
Ito, A.; Ono, Y.; Tanaka, K. J. Org. Chem. 1999, 64, 8236–8241. doi:10.1021/jo990983m
Return to citation in text: [1] -
Vale, M.; Pink, M.; Rajca, S.; Rajca, A. J. Org. Chem. 2008, 73, 27–35. doi:10.1021/jo702151n
Return to citation in text: [1] -
Ito, A.; Inoue, S.; Hirao, Y.; Furukawa, K.; Kato, T.; Tanaka, K. Chem. Commun. 2008, 3242–3244. doi:10.1039/b805333b
Return to citation in text: [1] -
Ito, A. J. Mater. Chem. C 2016, 4, 4614–4625. doi:10.1039/c6tc00973e
Return to citation in text: [1] -
Wang, M.-X. Acc. Chem. Res. 2012, 45, 182–195. doi:10.1021/ar200108c
Return to citation in text: [1] -
Shi, Y.; Li, X.; Di, J.; Xue, Y.; Zhang, N.; Jin, T.; Chen, C.-F.; Chen, P. CCS Chem. 2025, 7, 2781–2797. doi:10.31635/ccschem.024.202404995
Return to citation in text: [1]
| 1. | Sun, G.; Zhang, X.; Zheng, Z.; Zhang, Z.-Y.; Dong, M.; Sessler, J. L.; Li, C. J. Am. Chem. Soc. 2024, 146, 26233–26242. doi:10.1021/jacs.4c07924 |
| 2. | Zhang, X. X.; Bradshaw, J. S.; Izatt, R. M. Chem. Rev. 1997, 97, 3313–3362. doi:10.1021/cr960144p |
| 8. | Szumna, A. Chem. Soc. Rev. 2010, 39, 4274–4285. doi:10.1039/b919527k |
| 9. | Dalla Cort, A.; Mandolini, L.; Pasquini, C.; Schiaffino, L. New J. Chem. 2004, 28, 1198–1199. doi:10.1039/b404388j |
| 7. | Sun, Z.; Tang, H.; Wang, L.; Cao, D. Chem. – Eur. J. 2025, 31, e202404217. doi:10.1002/chem.202404217 |
| 5. | Wang, J.-Q.; Han, X.-N.; Han, Y.; Chen, C.-F. Chem. Commun. 2023, 59, 13089–13106. doi:10.1039/d3cc04187e |
| 6. | Hasegawa, M.; Nojima, Y.; Mazaki, Y. ChemPhotoChem 2021, 5, 1042–1058. doi:10.1002/cptc.202100162 |
| 3. | Kellogg, R. M. Angew. Chem., Int. Ed. Engl. 1984, 23, 782–794. doi:10.1002/anie.198407821 |
| 4. | Yamashita, K.; Tabata, Y.; Yamakawa, K.; Mochizuki, T.; Matsui, K.; Hatano, M.; Ishihara, K. J. Am. Chem. Soc. 2023, 145, 26238–26248. doi:10.1021/jacs.3c08905 |
| 16. | Zhang, F.; Du, X.-S.; Zhang, D.-W.; Wang, Y.-F.; Lu, H.-Y.; Chen, C.-F. Angew. Chem., Int. Ed. 2021, 60, 15291–15295. doi:10.1002/anie.202104259 |
| 17. | Zhao, F.; Zhao, J.; Liu, H.; Wang, Y.; Duan, J.; Li, C.; Di, J.; Zhang, N.; Zheng, X.; Chen, P. J. Am. Chem. Soc. 2023, 145, 10092–10103. doi:10.1021/jacs.3c00306 |
| 18. | Ma, Y.; Han, Y.; Hou, X.; Wu, S.; Chi, C. Angew. Chem., Int. Ed. 2024, 63, e202407990. doi:10.1002/anie.202407990 |
| 19. | Qiu, S.; Zhao, Y.; Zhang, L.; Ni, Y.; Wu, Y.; Cong, H.; Qu, D.-H.; Jiang, W.; Wu, J.; Tian, H.; Wang, Z. CCS Chem. 2023, 5, 1763–1772. doi:10.31635/ccschem.023.202302830 |
| 14. | Shi, S.-Q.; Cui, C.-C.; Xu, L.-L.; Zhang, J.-P.; Hao, W.-J.; Wang, J.; Jiang, B. Nat. Commun. 2024, 15, 8474. doi:10.1038/s41467-024-52823-3 |
| 15. | Luo, Y.; Luo, S.; Zhu, Q. J. Org. Chem. 2025, 90, 5307–5322. doi:10.1021/acs.joc.5c00479 |
| 17. | Zhao, F.; Zhao, J.; Liu, H.; Wang, Y.; Duan, J.; Li, C.; Di, J.; Zhang, N.; Zheng, X.; Chen, P. J. Am. Chem. Soc. 2023, 145, 10092–10103. doi:10.1021/jacs.3c00306 |
| 25. | Shi, Y.; Li, X.; Di, J.; Xue, Y.; Zhang, N.; Jin, T.; Chen, C.-F.; Chen, P. CCS Chem. 2025, 7, 2781–2797. doi:10.31635/ccschem.024.202404995 |
| 11. | Higashibayashi, S.; Sakurai, H. J. Am. Chem. Soc. 2008, 130, 8592–8593. doi:10.1021/ja802822k |
| 12. | Tan, Q.; Higashibayashi, S.; Karanjit, S.; Sakurai, H. Nat. Commun. 2012, 3, 891. doi:10.1038/ncomms1896 |
| 13. | Wu, Y.-T.; Hayama, T.; Baldridge, K. K.; Linden, A.; Siegel, J. S. J. Am. Chem. Soc. 2006, 128, 6870–6884. doi:10.1021/ja058391a |
| 10. | Böhmer, V.; Kraft, D.; Tabatabai, M. J. Inclusion Phenom. Mol. Recognit. Chem. 1994, 19, 17–39. doi:10.1007/bf00708972 |
| 20. | Ito, A.; Ono, Y.; Tanaka, K. J. Org. Chem. 1999, 64, 8236–8241. doi:10.1021/jo990983m |
| 21. | Vale, M.; Pink, M.; Rajca, S.; Rajca, A. J. Org. Chem. 2008, 73, 27–35. doi:10.1021/jo702151n |
| 22. | Ito, A.; Inoue, S.; Hirao, Y.; Furukawa, K.; Kato, T.; Tanaka, K. Chem. Commun. 2008, 3242–3244. doi:10.1039/b805333b |
| 23. | Ito, A. J. Mater. Chem. C 2016, 4, 4614–4625. doi:10.1039/c6tc00973e |
© 2025 Qiu and Liu; licensee Beilstein-Institut.
This is an open access article licensed under the terms of the Beilstein-Institut Open Access License Agreement (https://www.beilstein-journals.org/bjoc/terms), which is identical to the Creative Commons Attribution 4.0 International License (https://creativecommons.org/licenses/by/4.0). The reuse of material under this license requires that the author(s), source and license are credited. Third-party material in this article could be subject to other licenses (typically indicated in the credit line), and in this case, users are required to obtain permission from the license holder to reuse the material.