Abstract
The addition reaction of C60 with silylene 1, a silicon analog of carbene, yielded the corresponding bis-adduct 3. The structure of 3 was determined by single-crystal X-ray structure analysis, representing the first example of a crystal structure of a silirane (silacyclopropane) derivative of fullerenes. Electrochemical measurements confirmed that the redox potentials of 3 are shifted cathodically compared to those of the parent mono-adduct 2. Density functional theory (DFT) calculations provided the basis for the electronic properties of compound 3.
Graphical Abstract
Introduction
The chemical functionalization of fullerenes has been exploited extensively from both fundamental and practical perspectives, elucidating their potential applications for biochemistry, nanomaterials sciences, and molecular electronics [1-3]. With the development of research investigating the functionalization of fullerenes, several multiple addition reactions of fullerenes have been investigated [4-8]. For example, earlier reports have described that some functionalization reactions of fullerenes afford bis-adducts with excellent properties as organic photovoltaic materials [9-14]. Furthermore, regioisomerically pure bis-functionalized fullerenes function better as electron acceptors in organic thin-film solar cells than mixtures of the corresponding regioisomers do [12-14]. Therefore, controlling the regioselectivities of multiple functionalizations of fullerenes for the selective synthesis of specific multi-adducts poses an important challenge.
Addition reactions of C60 are well known to occur mainly at the 6,6-bonds (junction between two hexagons) rather than at the 5,6-bonds (junction between a pentagon and a hexagon). If the second additions proceed also at the 6,6-bonds, then nine regioisomers are possible for bis-additions, as shown in Figure 1 [4,5]. In addition, when the second addends are identical to the first, the e' and e'' isomers are the same adducts, thereby affording eight possible regioisomers for bis-addition reactions. Hirsch and co-workers reported two-fold additions of C60 using the Bingel–Hirsch and the Bamford–Stevens reactions as well as nitrene addition reactions, indicating the formation of regioisomers as anticipated from the possible addition sites in Figure 1 [5]. Diederich and co-workers developed a general methodology using tether-directed remote functionalization for the regioselective formation of multiple adducts of fullerenes [6].
Figure 1: Positional notation of 6,6-bonds in a mono-adduct of C60 with the first addition site indicated using a bold line [5].
Figure 1: Positional notation of 6,6-bonds in a mono-adduct of C60 with the first addition site indicated usi...
In our earlier reports, the reactions of C60 and C70, with silylene Dip2Si (1, Dip = 2,6-diisopropylphenyl), a silicon analog of carbene, were described as providing silirane (silacyclopropane)-type 6,6-mono-adducts Dip2SiC60 (2, Scheme 1) and Dip2SiC70 [15,16]. Furthermore, bis-adducts (Dip2Si)2C60 and (Dip2Si)2C70 were obtained as byproducts, but no details of these bis-adducts have been clarified [15,16]. The results demonstrated that the electronic properties of product 2 were altered considerably compared to that of pristine C60 mainly because silicon atoms are less electronegative. Electron-donating effects of silyl groups in fullerene derivatives were also rationalized in terms of σ–π conjugations between C–Si σ bonds of the silirane ring and adjacent π-bonds of the fullerene cage [17-20]. Therefore, it is interesting to examine the electronic properties of multi-silylene adducts in comparison with those of 2. Herein, we report the structural determination and characterization of a bis-silylene adduct 3 of C60 based on spectroscopic measurements, X-ray crystallography, electrochemical analyses, and theoretical calculations.
Scheme 1: Synthesis of silylene adducts 2 and 3.
Scheme 1: Synthesis of silylene adducts 2 and 3.
Results and Discussion
Synthesis of bis-silylene adduct 3
The synthesis of the silylene adduct was conducted using a modified literature procedure [15]. A degassed solution of Dip2Si(SiMe3) as a silylene precursor and C60 in toluene was irradiated by a 125-W low-pressure mercury lamp in a quartz tube for 2 h (Scheme 1). During reaction, the color of the solution turned to dark brown. After the photolysis, the bis-silylene adduct 3 was isolated in 36% yield accompanied by mono-adduct 2 (22% yield) by silica gel flash column chromatography using mixed solvents of hexane/CH2Cl2 by changing the ratios of volumes from 10:1 to 3:1. In thin-layer chromatography (TLC) analysis using silica gel, the Rf values are 0.55 for 2 and 0.33 for 3, respectively, with hexane/CH2Cl2 5:1 as solvent mixture. Although several other fractions containing C60 derivatives were obtained, their structures are still under investigation because of the difficulty in isolating and purifying those fractions.
To clarify the addition site of 3, we measured the ultraviolet–visible (UV–vis) spectrum. Fullerene derivatives are well-known to show characteristic absorption spectra depending on the addition pattern. As shown in Figure 2, the spectrum of 3 exhibited an absorption maximum at 515 nm, which is similar to those of the e′ and e′′ isomers of C60[C(C6H4OMe)2]2 and C60[C(C6H4OMe)2][NCOOEt] [5]. In the case of 3, the e′ and e′′ isomers are identical products, and 3 is denoted as the e isomer hereinafter.
Figure 2: Absorption spectrum of 3 in CH2Cl2.
Figure 2: Absorption spectrum of 3 in CH2Cl2.
The 1H NMR spectrum of 3 showed signals of eight doublets and three septets, which were assigned respectively to the methyl and methine groups, along with the aromatic protons (Figure 3). In the 13C NMR spectrum, a total of 43 signals were observed in the low-field region (approximately 160–120 ppm), of which 29 signals are attributed to the C60 carbon cage and 14 signals are attributed to the aromatic ring carbon nuclei of the Dip groups (Figure 4). In addition, three sp3 carbon atoms of the C60 carbon cage, eight methyl, and three methine carbon signals of the Dip group were observed. These spectral features are consistent with the structure of 3 as the e isomer of bis-adducts with Cs symmetry. The plane of symmetry includes one silirane ring and bisects another silirane ring perpendicularly.
Figure 3: 500 MHz 1H NMR spectrum of 3 in CDCl3/CS2 3:1.
Figure 3: 500 MHz 1H NMR spectrum of 3 in CDCl3/CS2 3:1.
Figure 4: 125 MHz 13C NMR spectrum of 3 in CDCl3/CS2 3:1. The signals of sp2 carbons of C60 and quaternary carbons of the Dip groups are indicated by grey circles.
Figure 4: 125 MHz 13C NMR spectrum of 3 in CDCl3/CS2 3:1. The signals of sp2 carbons of C60 and quaternary ca...
Unfortunately, the matrix-assisted laser desorption ionization time-of-flight (MALDI-TOF) mass spectrometry of 3 afforded no molecular ion peak expected for adducts derived from Dip2Si and C60 while a base peak at m/z 720 due to C60 was observed probably because of the low stability of radical ions of 3.
Finally, the structure of 3 was established by single-crystal X-ray structure analysis. The ORTEP diagram of 3 is presented in Figure 5 with the selected bond lengths and angles collected in Table 1. The cage C–C bond lengths of the addition sites are C1–C9: 1.623(2) Å and C21–C40: 1.6282(19) Å, which fall within the range of the corresponding values reported for the crystal structures of methano-derivatives of C60 [5,21-33]. It is noteworthy that these C–C bond lengths are longer than those of the reported siliranes [34-42], except for rare examples such as 3-(hydroxydimesitylsilyl)-1,1-dimesityl-2,2-bis(trimethylsilyl)-1-silirane [43]. In contrast, we earlier reported the crystal structure of the adduct of Lu3N@Ih–C80 with silylene Dep2Si (Dep = 2,6-diethylphenyl), which was revealed to be a sila-fulleroid structure with the cage C–C separation distance of 2.25 Å at the addition site [44]. On the other hand, the Si–C bond lengths of the silirane ring in 3 are Si1–C1: 1.8886(15) Å, Si1–C9: 1.8796(15) Å, Si2–C21: 1.8778(14) Å, and Si2–C40: 1.8865(15) Å, which are roughly equal to those of the reported siliranes. These results confirm that the two addends in 3 are both silirane structures, which represents the first example of a crystallographic analysis of silirane derivatives of fullerenes.
Figure 5: ORTEP drawing of 3 showing thermal ellipsoids at the 50% probability level at 100 K. Hydrogen atoms are omitted for clarity.
Figure 5: ORTEP drawing of 3 showing thermal ellipsoids at the 50% probability level at 100 K. Hydrogen atoms...
Table 1: Selected bond lengths and angles of 3.
| bond length [Å] | bond angle [°] | ||
| C1–C9 | 1.623(2) | Si1–C1–C9 | 64.19(7) |
| Si1–C1 | 1.8886(15) | C1–Si1–C9 | 51.04(6) |
| Si1–C9 | 1.8796(15) | Si1–C9–C1 | 64.77(7) |
| C1–C2 | 1.495(2) | ||
| C1–C5 | 1.497(2) | ||
| C8–C9 | 1.492(2) | ||
| C9–C10 | 1.498(2) | ||
| C21–C40 | 1.6282(19) | Si2–C21–C40 | 64.65(7) |
| Si2–C21 | 1.8778(14) | C21–Si2–C40 | 51.26(6) |
| Si2–C40 | 1.8865(15) | Si2–C40–C21 | 64.10(7) |
| C20–C21 | 1.4951(19) | ||
| C21–C22 | 1.490(2) | ||
| C39–C40 | 1.4951(19) | ||
| C40–C41 | 1.4928(19) | ||
Theoretical calculations
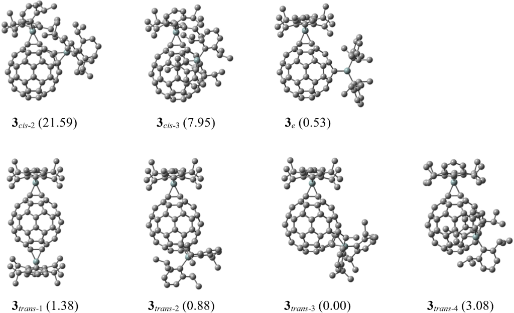
Hirsch and co-workers reported the bis-functionalization of C60 using the Bingel–Hirsch, the Bamford–Stevens reactions, and nitrene addition, indicating that preferential formation of the e (e′ or e′′) isomers followed by trans-3 isomer when at least one of the two addends was sterically demanding [5]. The formation of 3 in the present bis-silylene addition is consistent with those earlier results. To obtain some insight into regioselectivity, we performed density functional theory (DFT) calculations using the B3LYP/6-31G(d) method [45-48]. We first compared the relative stabilities of mono-adducts (Dip2SiC60) with 6,6-silirane (2a), 6,6-sila-fulleroid (2b), 5,6-silirane (2c), and 5,6-sila-fulleroid (2d) structures (Figure 6). The optimized structure of 2a was found to be more stable than that of 2c by 19.23 kcal/mol. In contrast, optimization using initial structures of 2b and 2d afforded the structures of 2a and 2c, respectively. Based on these results, the optimized structures of bis-adduct isomers 3cis-2, 3cis-3, 3e, 3trans-1, 3trans-2, 3trans-3, and 3trans-4 were calculated by assuming the 6,6-silirane structures for addition sites. Calculation of 3cis-1 was not conducted because of its sterically clouded structure. Structural parameters around the addition sites of 3e showed rough agreement with the corresponding values of 3 obtained using the X-ray structural analysis (Table 1 and Table S1 in Supporting Information File 1). As shown in Figure 7, few differences in relative energies are apparent among 3e, 3trans-1, 3trans-2, 3trans-3, and 3trans-4, although 3cis-2 and 3cis-3 are unstable. Therefore, we next investigated the structural and electronic properties of the calculated mono-adduct 2a to evaluate its reactivity toward 1.
Figure 6: (a) Partial structures of isomers of Dip2SiC60. (b) Optimized structures of 2a and 2c. Hydrogen atoms are omitted for clarity.
Figure 6: (a) Partial structures of isomers of Dip2SiC60. (b) Optimized structures of 2a and 2c. Hydrogen ato...
Figure 7: Optimized structures of 3cis-2, 3cis-3, 3e, 3trans-1, 3trans-2, 3trans-3, and 3trans-4. Values in parentheses are the relative energies in kcal/mol compared to that of 3trans-3. Hydrogen atoms are omitted for clarity.
Figure 7: Optimized structures of 3cis-2, 3cis-3, 3e, 3trans-1, 3trans-2, 3trans-3, and 3trans-4. Values in p...
The bond lengths of the cage C–C double bonds and the π-orbital axis vector (POAV) [49] of the cage carbon atoms of 2a are presented in Tables S2 and S3 in Supporting Information File 1. Mean values are given respectively for the identical type of bonds and atoms. The differences in the double bond lengths are negligible, but the cis-1, cis-2, and e bonds are slightly shorter than the other bonds. The POAV values show no marked difference except for the carbons adjacent to the addition site. Therefore, neither the double bond lengths nor the POAV values of 2a are regarded as affecting the regioselectivity.
The frontier orbitals of 2a were then examined to elucidate the reactivity in the second silylene addition. The ground states of silylenes are known to be singlet except for a few examples [50,51]. Singlet silylenes have n orbitals as the highest occupied molecular orbitals (HOMOs) that accommodate unshared electron pairs on the silicon atoms, while empty 3p orbitals correspond to the lowest unoccupied molecular orbitals (LUMOs). In addition, silylenes are characterized by both nucleophilic properties based on the high HOMO levels, and electrophilic properties because of the low LUMO levels [50,51]. The Mulliken charge densities of 2s are also shown in Figure S2 (Supporting Information File 1), which shows that the charge densities are nearly zero on the cage carbon atoms except those adjacent to the addition site. The charge densities of 2a are regarded as affecting the regioselectivity. Thus, it is suggested that the regioselectivity in the silylene addition could not be estimated by the charge densities of 2a.
The regioselectivity in the addition reaction of 1 with C70 was explained earlier in terms of the interaction between the HOMO of 1 and the LUMO of C70 [16]. The reaction mechanism of ethylene with a silylene substituted with thiolate ligands has been studied using theoretical calculations, in which the transition state was ascribed to the donor–acceptor interactions between the HOMO of the silylene and the LUMO of ethylene, and vice versa [42]. For 2a, the LUMO is largely distributed at the e' bonds, followed by the cis-2 and trans-3 bonds (Figure 8). These results suggest that the formation of 3 may involve the interaction of 1 with the LUMO of 2a. The HOMO of 2a is observed mainly around the cis-1 and e′′ bonds among the 6,6-bonds, although the cis-1 bond would not be susceptible to the second silylene addition because of its steric hindrance. Alternatively, the interaction of the LUMO of 1 with the HOMO of 2a should be considered.
Figure 8: (a) LUMO and (b) HOMO of 2a calculated at the B3LYP/6-31G(d) level. Hydrogen atoms are omitted for clarity.
Figure 8: (a) LUMO and (b) HOMO of 2a calculated at the B3LYP/6-31G(d) level. Hydrogen atoms are omitted for ...
Electrochemical measurements of 3
Cyclic voltammetry (CV) and differential pulse voltammetry (DPV) measurements were conducted to evaluate the electronic effects of the silylene addends in 3 (Figure 9). The oxidation processes of 3 were shown to be irreversible, probably because of the removal of silylene addends, whereas the electrochemically reversible behavior was observed for the reduction waves. Table 2 presents the redox potentials of 3 obtained by DPV with those of C60 and 2, as reference compounds. Both the reduction (Ered) and the oxidation (Eox) potentials of 3 were found to be shifted cathodically compared respectively to those of C60 and 2, indicating the electron-donating effects of the two Dip2Si groups. It is noteworthy that the first reduction potential of 3 (Ered1 = −1.52 V) is the most negative among those of the silylated empty fullerenes [52-56].
Figure 9: Cyclic voltammograms (CV) and differential pulse voltammograms (DPV) of 3 in o-dichlorobenzene containing 0.1 M (n-Bu)4NPF6. In DPVs, peaks of the adducts are denoted by circles. Potentials are shown in volts relative to the ferrocene/ferrocenium couple. Conditions: glassy carbon working electrode; Pt wire counter electrode; SCE reference electrode; 50 mV/s scan rate.
Figure 9: Cyclic voltammograms (CV) and differential pulse voltammograms (DPV) of 3 in o-dichlorobenzene cont...
Table 2: Redox potentialsa (V) of C60, 2, and 3.
| compound | Eox2 | Eox1 | Ered1 | Ered2 |
|---|---|---|---|---|
| C60 | +1.32b | −1.15 | −1.58 | |
| 2b | +0.71 | −1.30 | −1.71 | |
| 3 | +0.80 | +0.58 | −1.52 | −1.92 |
aValues obtained by DPV are in volts relative to the ferrocene/ferrocenium couple. bData from ref [54].
The energies of HOMOs and LUMOs of the calculated regioisomers of 3 were compared with those of C60 and 2a (Table 3). The HOMO and LUMO levels of 3e were both found to be higher than those of C60 and 2a, respectively, which is qualitatively consistent with the shifts in the redox potentials of C60, 2, and 3. By contrast, 3cis-2, 3cis-3, 3e, 3trans-1, 3trans-2, 3trans-3, and 3trans-4 were found to have no significant differences in their respective HOMO and LUMO levels, as shown in Table 3.
Conclusion
The bis-silylene adduct 3 was isolated by the two-fold addition of 1 to C60. The spectroscopic and crystallographic analyses established 3 as an e isomer of bis-adducts with silirane structures at the 6,6-bonds. In the DFT calculations of mono-adduct 2a, the LUMO is distributed remarkably around the e’ bonds, which are likely to interact with the HOMO of 1 leading to the formation of 3. Also, the HOMO of 2a is observed around the cis-1 and e′′ bonds, although the cis-1 bond would be sterically protected from the second silylene addition. Alternatively, the interaction of the LUMO of 1 with e′′ bonds of 2 should be considered. Electrochemical measurements (CV and DPV) were taken to evaluate the electronic properties of 3. As expected, the redox potentials of 3 are shown to be shifted cathodically compared to those of C60 and 2 because of the electron-donating effect of the two silylene groups. These results are qualitatively consistent with the shifts in the HOMO and LUMO levels calculated respectively for C60, 2, and 3.
Experimental
Materials and general method: All chemicals were reagent grade, purchased from commercial suppliers. o-Dichlorobenzene (ODCB) was distilled from P2O5 under vacuum before use. Toluene was distilled from benzophenone sodium ketyl under dry N2 prior to use. Reagents were used as purchased unless otherwise specified. The 1H and 13C NMR measurements were conducted on a JEOL ECA-500 spectrometer (JEOL Ltd.). Absorption spectra were measured using a UV-3150 spectrophotometer (Shimadzu Corp.). Cyclic voltammograms and differential pulse voltammograms were recorded on a BAS CV50W electrochemical analyzer (BAS Inc.). The reference electrode was a saturated calomel reference electrode (SCE). The glassy carbon electrode was used as the working electrode, and a platinum wire was used as the counter electrode. All potentials are referenced to the ferrocene/ferrocenium couple (Fc/Fc+) as the standard. (n-Bu)4NPF6 (0.1 M) in ODCB was used as the supporting electrolyte solution. The cyclic voltammograms were recorded using a scan rate of 50 mV/s. The differential pulse voltammograms were obtained using a pulse amplitude of 50 mV, a pulse width of 50 ms, a pulse period of 200 ms, and a scan rate of 50 mV/s.
Synthesis of 3. A degassed solution of Dip2Si(SiMe3) (30 mg) and C60 (4.6 mg) in toluene (20 mL) in a quartz tube was irradiated by a 125-W low-pressure mercury lamp for 2 h [15]. After the photolysis, 2 (22% yield) and 3 (36% yield) were isolated by flash column chromatography (SiO2) using mixed solvents of hexane/CH2Cl2 by changing the ratios of volumes from 10:1 to 3:1. TLC analysis (SiO2, hexane/CH2Cl2 5:1) afforded Rf = 0.55 for 2 and Rf = 0.33 for 3, respectively. Data for compound 3: 1H NMR (CDCl3/CS2 3:1) δ 7.61 (t, J = 7.5 Hz, 1H), 7.56 (t, J = 7.5 Hz, 1H), 7.51 (t, J = 7.5 Hz, 2H), 7.41 (d, J = 7.5 Hz, 2H), 7.35 (d, J = 7.5 Hz, 2H), 7.31 (d, J = 7.5 Hz, 2H), 7.26 (d, J = 7.5 Hz, 2H), 4.04 (sept, J = 7.0 Hz, 2H), 4.03 (sept, J = 7.0 Hz, 2H), 3.95 (sept, J = 7.0 Hz, 2H), 3.52 (sept, J = 7.0 Hz, 2H), 1.43 (d, J = 7.0 Hz, 6H), 1.40 (d, J = 7.0 Hz, 6H), 1.371 (d, J = 7.0 Hz, 6H), 1.365 (d, J = 7.0 Hz, 6H), 1.31 (d, J = 7.0 Hz, 6H), 1.29 (d, J = 7.0 Hz, 6H), 1.17 (d, J = 7.0 Hz, 6H), 1.06 (d, J = 7.0 Hz, 6H); 13C NMR (CDCl3/CS2 3:1) δ 160.16 (s, 2C), 158.38 (s, 2C), 158.33 (s, 2C), 158.29 (s, 2C), 158.18 (s, 2C), 157.12 (s, 2C), 155.78 (s, 2C), 154.87 (s, 2C), 148.96 (s, 1C), 148.73 (s, 2C), 148.56 (s, 2C), 147.66 (s, 2C), 147.48 (s, 2C), 147.22 (s, 2C), 146.69 (s, 1C), 146.26 (s, 2C), 145.51 (s, 2C), 145.37 (s, 2C), 145.03 (s, 2C), 144.84 (s, 2C), 144.71 (s, 2C), 144.65 (s, 4C), 144.51 (s, 2C), 144.23 (s, 2C), 142.90 (s, 2C), 142.43 (s, 2C), 141.62 (s, 2C), 139.22 (s, 2C), 139.05 (s, 2C), 138.21 (s, 2C), 138.15 (s, 2C), 133.37 (s, 2C), 132.76 (d, 1C), 132.56 (d, 2C), 131.71 (d, 1C), 125.43 (s, 1C), 124.79 (d, 2C), 124.71 (d, 2C), 124.66 (s, 1C), 124.49 (d, 2C), 124.35 (d, 2C), 123.85 (s, 2C), 71.92 (s, 2C), 70.39 (s, 1C), 69.12 (s, 1C), 37.59 (d, 2C), 37.35 (d, 2C), 37.24 (d, 2C), 37.11 (d, 2C), 28.55 (q, 2C), 27.86 (q, 2C), 27.57 (q, 2C), 27.44 (q, 2C), 25.61 (q, 2C), 25.25 (q, 2C), 25.10 (q, 2C), 24.11 (q, 2C); UV–vis (CH2Cl2) λmax 515 nm.
X-ray crystallography of 3: Black plate crystals suitable for X-ray diffraction were obtained using the liquid–liquid bilayer diffusion method with solutions of 3 in CS2 using hexane as a poor solvent at 0 °C. Single-crystal X-ray diffraction data of 3 were collected on a Rigaku Oxford Diffraction XtaLAB Synergy R DW system with a HyPix detector equipped with a nitrogen-gas flow low-temperature apparatus providing a constant temperature at 100 K. Crystal data for C60(Dip2Si)2: C108H68Si2: Mr = 1421.87, black plate, 0.11 × 0.16 × 0.025 mm, λ = 0.71073 Å, monoclinic, space group P21/n (no. 14), a = 18.3631(3), b = 13.6696 (2), c = 27.6360 (5) Å, β = 92.857 (2)°, V = 6928.5(2) Å3, T = 99.9(2) K, Z = 4, 67750 reflections measured, 19176 unique (Rint = 0.0321), which were used for all calculations, 2θmax = 63.262; min/max transmission = 0.921/1.000 (absorption correction was applied by multi-scan method); The structure was solved using a direct method using olex2.solve 1.5-ac5-018 [57] and was refined with SHELXL-2018 [58]. The final wR(F2) was 0.1283 (all data), conventional R1 = 0.0493 computed for 14459 reflections with I > 2σ(I) using 1007 parameters with 0 restraints. Crystallographic computations were performed with Olex2 [59]. CCDC 2311474 (3) contains the supplementary crystallographic data for this paper, and is obtainable free of charge from the Cambridge Crystallographic Data Centre.
Computational method. All calculations were conducted using the Gaussian 16 program [60]. Optimized structures were obtained at the B3LYP [45-47] level of theory using basis sets of 6-31G(d) [48].
Supporting Information
| Supporting Information File 1: Structural data of 2a and 3e obtained by DFT calculations, and Cartesian coordinates of optimized structures. | ||
| Format: PDF | Size: 740.2 KB | Download |
| Supporting Information File 2: Crystallographic information file of 3. | ||
| Format: CIF | Size: 2.3 MB | Download |
Data Availability Statement
All data that supports the findings of this study is available in the published article and/or the supporting information to this article.
References
-
Hirsch, A. The Chemistry of the Fullerenes; Thieme: Stuttgart, Germany, 1994. doi:10.1002/9783527619214
Return to citation in text: [1] -
Taylor, R., Ed. The Chemistry of the Fullerenes; Advanced Series in Fullerenes, Vol. 4; World Scientific: Singapore, 1995. doi:10.1142/2790
Return to citation in text: [1] -
Hirsch, A., Ed. Fullerenes and related Structures; Springer: Berlin, Germany, 1999. doi:10.1007/3-540-68117-5
Return to citation in text: [1] -
Hirsch, A.; Lamparth, I.; Karfunkel, H. R. Angew. Chem., Int. Ed. Engl. 1994, 33, 437–438. doi:10.1002/anie.199404371
Return to citation in text: [1] [2] -
Djojo, F.; Herzog, A.; Lamparth, I.; Hampel, F.; Hirsch, A. Chem. – Eur. J. 1996, 2, 1537–1547. doi:10.1002/chem.19960021211
Return to citation in text: [1] [2] [3] [4] [5] [6] [7] -
Diederich, F.; Kessinger, R. Acc. Chem. Res. 1999, 32, 537–545. doi:10.1021/ar970321o
Return to citation in text: [1] [2] -
Hirsch, A. Chem. Rec. 2005, 5, 196–208. doi:10.1002/tcr.20047
Return to citation in text: [1] -
Cerón, M. R.; Echegoyen, L. J. Phys. Org. Chem. 2016, 29, 613–619. doi:10.1002/poc.3563
Return to citation in text: [1] -
Brabec, C. J.; Cravino, A.; Meissner, D.; Sariciftci, N. S.; Fromherz, T.; Rispens, M. T.; Sanchez, L.; Hummelen, J. C. Adv. Funct. Mater. 2001, 11, 374–380. doi:10.1002/1616-3028(200110)11:5<374::aid-adfm374>3.0.co;2-w
Return to citation in text: [1] -
Lenes, M.; Wetzelaer, G.-J. A. H.; Kooistra, F. B.; Veenstra, S. C.; Hummelen, J. C.; Blom, P. W. M. Adv. Mater. (Weinheim, Ger.) 2008, 20, 2116–2119. doi:10.1002/adma.200702438
Return to citation in text: [1] -
Mishra, A.; Bäuerle, P. Angew. Chem., Int. Ed. 2012, 51, 2020–2067. doi:10.1002/anie.201102326
Return to citation in text: [1] -
Tao, R.; Umeyama, T.; Kurotobi, K.; Imahori, H. ACS Appl. Mater. Interfaces 2014, 6, 17313–17322. doi:10.1021/am5058794
Return to citation in text: [1] [2] -
Wong, W. W. H.; Subbiah, J.; White, J. M.; Seyler, H.; Zhang, B.; Jones, D. J.; Holmes, A. B. Chem. Mater. 2014, 26, 1686–1689. doi:10.1021/cm404054z
Return to citation in text: [1] [2] -
Meng, X.; Zhao, G.; Xu, Q.; Tan, Z.; Zhang, Z.; Jiang, L.; Shu, C.; Wang, C.; Li, Y. Adv. Funct. Mater. 2014, 24, 158–163. doi:10.1002/adfm.201301411
Return to citation in text: [1] [2] -
Akasaka, T.; Ando, W.; Kobayashi, K.; Nagase, S. J. Am. Chem. Soc. 1993, 115, 1605–1606. doi:10.1021/ja00057a072
Return to citation in text: [1] [2] [3] [4] -
Akasaka, T.; Mitsuhida, E.; Ando, W.; Kobayashi, K.; Nagase, S. J. Chem. Soc., Chem. Commun. 1995, 1529–1530. doi:10.1039/c39950001529
Return to citation in text: [1] [2] [3] -
Bock, H.; Solouki, B. Photoelectron Spectra of Silicon Compounds. In The Chemistry of Organic Silicon Compounds; Patai, S.; Rappoport, Z., Eds.; John Wiley & Sons: Chichester, UK, 1989; pp 555–653. doi:10.1002/0470025107.ch9
Return to citation in text: [1] -
Traylor, T. G.; Hanstein, W.; Berwin, H. J.; Clinton, N. A.; Brown, R. S. J. Am. Chem. Soc. 1971, 93, 5715–5725. doi:10.1021/ja00751a024
Return to citation in text: [1] -
Hosomi, A. Acc. Chem. Res. 1988, 21, 200–206. doi:10.1021/ar00149a004
Return to citation in text: [1] -
Fleming, I.; Barbero, A.; Walter, D. Chem. Rev. 1997, 97, 2063–2192. doi:10.1021/cr941074u
Return to citation in text: [1] -
Osterodt, J.; Nieger, M.; Vögtle, F. J. Chem. Soc., Chem. Commun. 1994, 1607–1608. doi:10.1039/c39940001607
Return to citation in text: [1] -
Anderson, H. L.; Boudon, C.; Diederich, F.; Gisselbrecht, J.-P.; Gross, M.; Seiler, P. Angew. Chem., Int. Ed. Engl. 1994, 33, 1628–1632. doi:10.1002/anie.199416281
Return to citation in text: [1] -
Paulus, E. F.; Bingel, C. Acta Crystallogr., Sect. C: Cryst. Struct. Commun. 1995, 51, 143–146. doi:10.1107/s0108270194009728
Return to citation in text: [1] -
Seiler, P.; Isaacs, L.; Diederich, F. Helv. Chim. Acta 1996, 79, 1047–1058. doi:10.1002/hlca.19960790413
Return to citation in text: [1] -
Tezuka, Y.; Kawasaki, N.; Yajima, H.; Ishii, T.; Oyama, T.; Takeuchi, K.; Nakao, A.; Katayama, C. Acta Crystallogr., Sect. C: Cryst. Struct. Commun. 1996, 52, 1008–1010. doi:10.1107/s0108270195013096
Return to citation in text: [1] -
Cardullo, F.; Seiler, P.; Isaacs, L.; Nierengarten, J.-F.; Haldimann, R. F.; Diederich, F.; Mordasini‐Denti, T.; Thiel, W.; Boudon, C.; Gisselhrccht, J.-P.; Gross, M. Helv. Chim. Acta 1997, 80, 343–371. doi:10.1002/hlca.19970800203
Return to citation in text: [1] -
Iversen, B. B.; Darovsky, A.; Bolotovsky, R.; Coppens, P. Acta Crystallogr., Sect. B: Struct. Sci. 1998, 54, 174–179. doi:10.1107/s0108768197012007
Return to citation in text: [1] -
Rispens, M. T.; Meetsma, A.; Rittberger, R.; Brabec, C. J.; Sariciftci, N. S.; Hummelen, J. C. Chem. Commun. 2003, 2116–2118. doi:10.1039/b305988j
Return to citation in text: [1] -
Nikawa, H.; Nakahodo, T.; Tsuchiya, T.; Wakahara, T.; Rahman, G. M. A.; Akasaka, T.; Maeda, Y.; Liu, M. T. H.; Meguro, A.; Kyushin, S.; Matsumoto, H.; Mizorogi, N.; Nagase, S. Angew. Chem., Int. Ed. 2005, 44, 7567–7570. doi:10.1002/anie.200502971
Return to citation in text: [1] -
Ishitsuka, M. O.; Enoki, H.; Nikawa, H.; Wakahara, T.; Tsuchiya, T.; Akasaka, T.; Liu, M. T. H. Tetrahedron Lett. 2007, 48, 859–861. doi:10.1016/j.tetlet.2006.11.145
Return to citation in text: [1] -
Sato, S.; Yamada, M.; Wakahara, T.; Tsuchiya, T.; Ishitsuka, M. O.; Akasaka, T.; Liu, M. T. H. Tetrahedron Lett. 2007, 48, 6290–6293. doi:10.1016/j.tetlet.2007.07.027
Return to citation in text: [1] -
Matsuo, Y.; Okada, H.; Maruyama, M.; Sato, H.; Tobita, H.; Ono, Y.; Omote, K.; Kawachi, K.; Kasama, Y. Org. Lett. 2012, 14, 3784–3787. doi:10.1021/ol301671n
Return to citation in text: [1] -
Okada, H.; Kawakami, H.; Aoyagi, S.; Matsuo, Y. J. Org. Chem. 2017, 82, 5868–5872. doi:10.1021/acs.joc.7b00730
Return to citation in text: [1] -
Delker, G. L.; Wang, Y.; Stucky, G. D.; Lambert, R. L., Jr.; Haas, C. K.; Seyferth, D. J. Am. Chem. Soc. 1976, 98, 1779–1784. doi:10.1021/ja00423a024
Return to citation in text: [1] -
Ando, W.; Fujita, M.; Yoshida, H.; Sekiguchi, A. J. Am. Chem. Soc. 1988, 110, 3310–3311. doi:10.1021/ja00218a056
Return to citation in text: [1] -
Suzuki, H.; Tokitoh, N.; Okazaki, R. J. Am. Chem. Soc. 1994, 116, 11572–11573. doi:10.1021/ja00104a049
Return to citation in text: [1] -
Suzuki, H.; Tokitoh, N.; Okazaki, R. Bull. Chem. Soc. Jpn. 1995, 68, 2471–2481. doi:10.1246/bcsj.68.2471
Return to citation in text: [1] -
Ando, W.; Shiba, T.; Hidaka, T.; Morihashi, K.; Kikuchi, O. J. Am. Chem. Soc. 1997, 119, 3629–3630. doi:10.1021/ja9637412
Return to citation in text: [1] -
Klapötke, T. M.; Kumar Vasisht, S.; Mayer, P. Z. Anorg. Allg. Chem. 2009, 635, 2447–2454. doi:10.1002/zaac.200900309
Return to citation in text: [1] -
Ishida, S.; Iwamoto, T.; Kira, M. Heteroat. Chem. 2011, 22, 432–437. doi:10.1002/hc.20705
Return to citation in text: [1] -
Pichaandi, K. R.; Mague, J. T.; Fink, M. J. J. Organomet. Chem. 2011, 696, 1957–1963. doi:10.1016/j.jorganchem.2010.10.043
Return to citation in text: [1] -
Lips, F.; Fettinger, J. C.; Mansikkamäki, A.; Tuononen, H. M.; Power, P. P. J. Am. Chem. Soc. 2014, 136, 634–637. doi:10.1021/ja411951y
Return to citation in text: [1] [2] -
Ishikawa, M.; Matsuzawa, S.; Sugisawa, H.; Yano, F.; Kamitori, S.; Higuchi, T. J. Am. Chem. Soc. 1985, 107, 7706–7710. doi:10.1021/ja00311a080
Return to citation in text: [1] -
Sato, K.; Kako, M.; Suzuki, M.; Mizorogi, N.; Tsuchiya, T.; Olmstead, M. M.; Balch, A. L.; Akasaka, T.; Nagase, S. J. Am. Chem. Soc. 2012, 134, 16033–16039. doi:10.1021/ja3073929
Return to citation in text: [1] -
Becke, A. D. Phys. Rev. A 1988, 38, 3098–3100. doi:10.1103/physreva.38.3098
Return to citation in text: [1] [2] -
Becke, A. D. J. Chem. Phys. 1993, 98, 5648–5652. doi:10.1063/1.464913
Return to citation in text: [1] [2] -
Lee, C.; Yang, W.; Parr, R. G. Phys. Rev. B 1988, 37, 785–789. doi:10.1103/physrevb.37.785
Return to citation in text: [1] [2] -
Hehre, W. J.; Ditchfield, R.; Pople, J. A. J. Chem. Phys. 1972, 56, 2257–2261. doi:10.1063/1.1677527
Return to citation in text: [1] [2] -
Haddon, R. C. J. Am. Chem. Soc. 1997, 119, 1797–1798. doi:10.1021/ja9637659
Return to citation in text: [1] -
Gaspar, P. P.; West, R. Silylenes. In The Chemistry of Organosilicon Compounds; Patai, S.; Rappoport, Z., Eds.; John Wiley & Sons: Chichester, UK, 1998; Vol. 2, pp 2463–2568. doi:10.1002/0470857250.ch43
Return to citation in text: [1] [2] -
Mizuhata, Y.; Sasamori, T.; Tokitoh, N. Chem. Rev. 2009, 109, 3479–3511. doi:10.1021/cr900093s
Return to citation in text: [1] [2] -
Suzuki, T.; Maruyama, Y.; Akasaka, T.; Ando, W.; Kobayashi, K.; Nagase, S. J. Am. Chem. Soc. 1994, 116, 1359–1363. doi:10.1021/ja00083a022
Return to citation in text: [1] -
Akasaka, T.; Suzuki, T.; Maeda, Y.; Ara, M.; Wakahara, T.; Kobayashi, K.; Nagase, S.; Kako, M.; Nakadaira, Y.; Fujitsuka, M.; Ito, O. J. Org. Chem. 1999, 64, 566–569. doi:10.1021/jo981689h
Return to citation in text: [1] -
Wakahara, T.; Han, A.; Niino, Y.; Maeda, Y.; Akasaka, T.; Suzuki, T.; Yamamoto, K.; Kako, M.; Nakadaira, Y.; Kobayashi, K.; Nagase, S. J. Mater. Chem. 2002, 12, 2061–2064. doi:10.1039/b201118b
Return to citation in text: [1] [2] -
Maeda, Y.; Aminur Rahman, G. M.; Wakahara, T.; Kako, M.; Okamura, M.; Sato, S.; Akasaka, T.; Kobayashi, K.; Nagase, S. J. Org. Chem. 2003, 68, 6791–6794. doi:10.1021/jo0344788
Return to citation in text: [1] -
Han, A. H.; Wakahara, T.; Maeda, Y.; Akasaka, T.; Fujitska, M.; Ito, O.; Yamamoto, K.; Kako, M.; Kobayashi, K.; Nagase, S. New J. Chem. 2009, 33, 497–500. doi:10.1039/b808119k
Return to citation in text: [1] -
Bourhis, L. J.; Dolomanov, O. V.; Gildea, R. J.; Howard, J. A. K.; Puschmann, H. Acta Crystallogr., Sect. A: Found. Adv. 2015, 71, 59–75. doi:10.1107/s2053273314022207
Return to citation in text: [1] -
Sheldrick, G. M. Acta Crystallogr., Sect. C: Struct. Chem. 2015, 71, 3–8. doi:10.1107/s2053229614024218
Return to citation in text: [1] -
Dolomanov, O. V.; Bourhis, L. J.; Gildea, R. J.; Howard, J. A. K.; Puschmann, H. J. Appl. Crystallogr. 2009, 42, 339–341. doi:10.1107/s0021889808042726
Return to citation in text: [1] -
Gaussian 16, Revision C.01; Gaussian, Inc.: Wallingford, CT, 2019.
Return to citation in text: [1]
| 57. | Bourhis, L. J.; Dolomanov, O. V.; Gildea, R. J.; Howard, J. A. K.; Puschmann, H. Acta Crystallogr., Sect. A: Found. Adv. 2015, 71, 59–75. doi:10.1107/s2053273314022207 |
| 58. | Sheldrick, G. M. Acta Crystallogr., Sect. C: Struct. Chem. 2015, 71, 3–8. doi:10.1107/s2053229614024218 |
| 59. | Dolomanov, O. V.; Bourhis, L. J.; Gildea, R. J.; Howard, J. A. K.; Puschmann, H. J. Appl. Crystallogr. 2009, 42, 339–341. doi:10.1107/s0021889808042726 |
| 1. | Hirsch, A. The Chemistry of the Fullerenes; Thieme: Stuttgart, Germany, 1994. doi:10.1002/9783527619214 |
| 2. | Taylor, R., Ed. The Chemistry of the Fullerenes; Advanced Series in Fullerenes, Vol. 4; World Scientific: Singapore, 1995. doi:10.1142/2790 |
| 3. | Hirsch, A., Ed. Fullerenes and related Structures; Springer: Berlin, Germany, 1999. doi:10.1007/3-540-68117-5 |
| 4. | Hirsch, A.; Lamparth, I.; Karfunkel, H. R. Angew. Chem., Int. Ed. Engl. 1994, 33, 437–438. doi:10.1002/anie.199404371 |
| 5. | Djojo, F.; Herzog, A.; Lamparth, I.; Hampel, F.; Hirsch, A. Chem. – Eur. J. 1996, 2, 1537–1547. doi:10.1002/chem.19960021211 |
| 34. | Delker, G. L.; Wang, Y.; Stucky, G. D.; Lambert, R. L., Jr.; Haas, C. K.; Seyferth, D. J. Am. Chem. Soc. 1976, 98, 1779–1784. doi:10.1021/ja00423a024 |
| 35. | Ando, W.; Fujita, M.; Yoshida, H.; Sekiguchi, A. J. Am. Chem. Soc. 1988, 110, 3310–3311. doi:10.1021/ja00218a056 |
| 36. | Suzuki, H.; Tokitoh, N.; Okazaki, R. J. Am. Chem. Soc. 1994, 116, 11572–11573. doi:10.1021/ja00104a049 |
| 37. | Suzuki, H.; Tokitoh, N.; Okazaki, R. Bull. Chem. Soc. Jpn. 1995, 68, 2471–2481. doi:10.1246/bcsj.68.2471 |
| 38. | Ando, W.; Shiba, T.; Hidaka, T.; Morihashi, K.; Kikuchi, O. J. Am. Chem. Soc. 1997, 119, 3629–3630. doi:10.1021/ja9637412 |
| 39. | Klapötke, T. M.; Kumar Vasisht, S.; Mayer, P. Z. Anorg. Allg. Chem. 2009, 635, 2447–2454. doi:10.1002/zaac.200900309 |
| 40. | Ishida, S.; Iwamoto, T.; Kira, M. Heteroat. Chem. 2011, 22, 432–437. doi:10.1002/hc.20705 |
| 41. | Pichaandi, K. R.; Mague, J. T.; Fink, M. J. J. Organomet. Chem. 2011, 696, 1957–1963. doi:10.1016/j.jorganchem.2010.10.043 |
| 42. | Lips, F.; Fettinger, J. C.; Mansikkamäki, A.; Tuononen, H. M.; Power, P. P. J. Am. Chem. Soc. 2014, 136, 634–637. doi:10.1021/ja411951y |
| 12. | Tao, R.; Umeyama, T.; Kurotobi, K.; Imahori, H. ACS Appl. Mater. Interfaces 2014, 6, 17313–17322. doi:10.1021/am5058794 |
| 13. | Wong, W. W. H.; Subbiah, J.; White, J. M.; Seyler, H.; Zhang, B.; Jones, D. J.; Holmes, A. B. Chem. Mater. 2014, 26, 1686–1689. doi:10.1021/cm404054z |
| 14. | Meng, X.; Zhao, G.; Xu, Q.; Tan, Z.; Zhang, Z.; Jiang, L.; Shu, C.; Wang, C.; Li, Y. Adv. Funct. Mater. 2014, 24, 158–163. doi:10.1002/adfm.201301411 |
| 43. | Ishikawa, M.; Matsuzawa, S.; Sugisawa, H.; Yano, F.; Kamitori, S.; Higuchi, T. J. Am. Chem. Soc. 1985, 107, 7706–7710. doi:10.1021/ja00311a080 |
| 9. | Brabec, C. J.; Cravino, A.; Meissner, D.; Sariciftci, N. S.; Fromherz, T.; Rispens, M. T.; Sanchez, L.; Hummelen, J. C. Adv. Funct. Mater. 2001, 11, 374–380. doi:10.1002/1616-3028(200110)11:5<374::aid-adfm374>3.0.co;2-w |
| 10. | Lenes, M.; Wetzelaer, G.-J. A. H.; Kooistra, F. B.; Veenstra, S. C.; Hummelen, J. C.; Blom, P. W. M. Adv. Mater. (Weinheim, Ger.) 2008, 20, 2116–2119. doi:10.1002/adma.200702438 |
| 11. | Mishra, A.; Bäuerle, P. Angew. Chem., Int. Ed. 2012, 51, 2020–2067. doi:10.1002/anie.201102326 |
| 12. | Tao, R.; Umeyama, T.; Kurotobi, K.; Imahori, H. ACS Appl. Mater. Interfaces 2014, 6, 17313–17322. doi:10.1021/am5058794 |
| 13. | Wong, W. W. H.; Subbiah, J.; White, J. M.; Seyler, H.; Zhang, B.; Jones, D. J.; Holmes, A. B. Chem. Mater. 2014, 26, 1686–1689. doi:10.1021/cm404054z |
| 14. | Meng, X.; Zhao, G.; Xu, Q.; Tan, Z.; Zhang, Z.; Jiang, L.; Shu, C.; Wang, C.; Li, Y. Adv. Funct. Mater. 2014, 24, 158–163. doi:10.1002/adfm.201301411 |
| 5. | Djojo, F.; Herzog, A.; Lamparth, I.; Hampel, F.; Hirsch, A. Chem. – Eur. J. 1996, 2, 1537–1547. doi:10.1002/chem.19960021211 |
| 4. | Hirsch, A.; Lamparth, I.; Karfunkel, H. R. Angew. Chem., Int. Ed. Engl. 1994, 33, 437–438. doi:10.1002/anie.199404371 |
| 5. | Djojo, F.; Herzog, A.; Lamparth, I.; Hampel, F.; Hirsch, A. Chem. – Eur. J. 1996, 2, 1537–1547. doi:10.1002/chem.19960021211 |
| 6. | Diederich, F.; Kessinger, R. Acc. Chem. Res. 1999, 32, 537–545. doi:10.1021/ar970321o |
| 7. | Hirsch, A. Chem. Rec. 2005, 5, 196–208. doi:10.1002/tcr.20047 |
| 8. | Cerón, M. R.; Echegoyen, L. J. Phys. Org. Chem. 2016, 29, 613–619. doi:10.1002/poc.3563 |
| 5. | Djojo, F.; Herzog, A.; Lamparth, I.; Hampel, F.; Hirsch, A. Chem. – Eur. J. 1996, 2, 1537–1547. doi:10.1002/chem.19960021211 |
| 21. | Osterodt, J.; Nieger, M.; Vögtle, F. J. Chem. Soc., Chem. Commun. 1994, 1607–1608. doi:10.1039/c39940001607 |
| 22. | Anderson, H. L.; Boudon, C.; Diederich, F.; Gisselbrecht, J.-P.; Gross, M.; Seiler, P. Angew. Chem., Int. Ed. Engl. 1994, 33, 1628–1632. doi:10.1002/anie.199416281 |
| 23. | Paulus, E. F.; Bingel, C. Acta Crystallogr., Sect. C: Cryst. Struct. Commun. 1995, 51, 143–146. doi:10.1107/s0108270194009728 |
| 24. | Seiler, P.; Isaacs, L.; Diederich, F. Helv. Chim. Acta 1996, 79, 1047–1058. doi:10.1002/hlca.19960790413 |
| 25. | Tezuka, Y.; Kawasaki, N.; Yajima, H.; Ishii, T.; Oyama, T.; Takeuchi, K.; Nakao, A.; Katayama, C. Acta Crystallogr., Sect. C: Cryst. Struct. Commun. 1996, 52, 1008–1010. doi:10.1107/s0108270195013096 |
| 26. | Cardullo, F.; Seiler, P.; Isaacs, L.; Nierengarten, J.-F.; Haldimann, R. F.; Diederich, F.; Mordasini‐Denti, T.; Thiel, W.; Boudon, C.; Gisselhrccht, J.-P.; Gross, M. Helv. Chim. Acta 1997, 80, 343–371. doi:10.1002/hlca.19970800203 |
| 27. | Iversen, B. B.; Darovsky, A.; Bolotovsky, R.; Coppens, P. Acta Crystallogr., Sect. B: Struct. Sci. 1998, 54, 174–179. doi:10.1107/s0108768197012007 |
| 28. | Rispens, M. T.; Meetsma, A.; Rittberger, R.; Brabec, C. J.; Sariciftci, N. S.; Hummelen, J. C. Chem. Commun. 2003, 2116–2118. doi:10.1039/b305988j |
| 29. | Nikawa, H.; Nakahodo, T.; Tsuchiya, T.; Wakahara, T.; Rahman, G. M. A.; Akasaka, T.; Maeda, Y.; Liu, M. T. H.; Meguro, A.; Kyushin, S.; Matsumoto, H.; Mizorogi, N.; Nagase, S. Angew. Chem., Int. Ed. 2005, 44, 7567–7570. doi:10.1002/anie.200502971 |
| 30. | Ishitsuka, M. O.; Enoki, H.; Nikawa, H.; Wakahara, T.; Tsuchiya, T.; Akasaka, T.; Liu, M. T. H. Tetrahedron Lett. 2007, 48, 859–861. doi:10.1016/j.tetlet.2006.11.145 |
| 31. | Sato, S.; Yamada, M.; Wakahara, T.; Tsuchiya, T.; Ishitsuka, M. O.; Akasaka, T.; Liu, M. T. H. Tetrahedron Lett. 2007, 48, 6290–6293. doi:10.1016/j.tetlet.2007.07.027 |
| 32. | Matsuo, Y.; Okada, H.; Maruyama, M.; Sato, H.; Tobita, H.; Ono, Y.; Omote, K.; Kawachi, K.; Kasama, Y. Org. Lett. 2012, 14, 3784–3787. doi:10.1021/ol301671n |
| 33. | Okada, H.; Kawakami, H.; Aoyagi, S.; Matsuo, Y. J. Org. Chem. 2017, 82, 5868–5872. doi:10.1021/acs.joc.7b00730 |
| 15. | Akasaka, T.; Ando, W.; Kobayashi, K.; Nagase, S. J. Am. Chem. Soc. 1993, 115, 1605–1606. doi:10.1021/ja00057a072 |
| 16. | Akasaka, T.; Mitsuhida, E.; Ando, W.; Kobayashi, K.; Nagase, S. J. Chem. Soc., Chem. Commun. 1995, 1529–1530. doi:10.1039/c39950001529 |
| 17. | Bock, H.; Solouki, B. Photoelectron Spectra of Silicon Compounds. In The Chemistry of Organic Silicon Compounds; Patai, S.; Rappoport, Z., Eds.; John Wiley & Sons: Chichester, UK, 1989; pp 555–653. doi:10.1002/0470025107.ch9 |
| 18. | Traylor, T. G.; Hanstein, W.; Berwin, H. J.; Clinton, N. A.; Brown, R. S. J. Am. Chem. Soc. 1971, 93, 5715–5725. doi:10.1021/ja00751a024 |
| 19. | Hosomi, A. Acc. Chem. Res. 1988, 21, 200–206. doi:10.1021/ar00149a004 |
| 20. | Fleming, I.; Barbero, A.; Walter, D. Chem. Rev. 1997, 97, 2063–2192. doi:10.1021/cr941074u |
| 48. | Hehre, W. J.; Ditchfield, R.; Pople, J. A. J. Chem. Phys. 1972, 56, 2257–2261. doi:10.1063/1.1677527 |
| 5. | Djojo, F.; Herzog, A.; Lamparth, I.; Hampel, F.; Hirsch, A. Chem. – Eur. J. 1996, 2, 1537–1547. doi:10.1002/chem.19960021211 |
| 15. | Akasaka, T.; Ando, W.; Kobayashi, K.; Nagase, S. J. Am. Chem. Soc. 1993, 115, 1605–1606. doi:10.1021/ja00057a072 |
| 6. | Diederich, F.; Kessinger, R. Acc. Chem. Res. 1999, 32, 537–545. doi:10.1021/ar970321o |
| 5. | Djojo, F.; Herzog, A.; Lamparth, I.; Hampel, F.; Hirsch, A. Chem. – Eur. J. 1996, 2, 1537–1547. doi:10.1002/chem.19960021211 |
| 15. | Akasaka, T.; Ando, W.; Kobayashi, K.; Nagase, S. J. Am. Chem. Soc. 1993, 115, 1605–1606. doi:10.1021/ja00057a072 |
| 16. | Akasaka, T.; Mitsuhida, E.; Ando, W.; Kobayashi, K.; Nagase, S. J. Chem. Soc., Chem. Commun. 1995, 1529–1530. doi:10.1039/c39950001529 |
| 45. | Becke, A. D. Phys. Rev. A 1988, 38, 3098–3100. doi:10.1103/physreva.38.3098 |
| 46. | Becke, A. D. J. Chem. Phys. 1993, 98, 5648–5652. doi:10.1063/1.464913 |
| 47. | Lee, C.; Yang, W.; Parr, R. G. Phys. Rev. B 1988, 37, 785–789. doi:10.1103/physrevb.37.785 |
| 45. | Becke, A. D. Phys. Rev. A 1988, 38, 3098–3100. doi:10.1103/physreva.38.3098 |
| 46. | Becke, A. D. J. Chem. Phys. 1993, 98, 5648–5652. doi:10.1063/1.464913 |
| 47. | Lee, C.; Yang, W.; Parr, R. G. Phys. Rev. B 1988, 37, 785–789. doi:10.1103/physrevb.37.785 |
| 48. | Hehre, W. J.; Ditchfield, R.; Pople, J. A. J. Chem. Phys. 1972, 56, 2257–2261. doi:10.1063/1.1677527 |
| 44. | Sato, K.; Kako, M.; Suzuki, M.; Mizorogi, N.; Tsuchiya, T.; Olmstead, M. M.; Balch, A. L.; Akasaka, T.; Nagase, S. J. Am. Chem. Soc. 2012, 134, 16033–16039. doi:10.1021/ja3073929 |
| 5. | Djojo, F.; Herzog, A.; Lamparth, I.; Hampel, F.; Hirsch, A. Chem. – Eur. J. 1996, 2, 1537–1547. doi:10.1002/chem.19960021211 |
| 54. | Wakahara, T.; Han, A.; Niino, Y.; Maeda, Y.; Akasaka, T.; Suzuki, T.; Yamamoto, K.; Kako, M.; Nakadaira, Y.; Kobayashi, K.; Nagase, S. J. Mater. Chem. 2002, 12, 2061–2064. doi:10.1039/b201118b |
| 15. | Akasaka, T.; Ando, W.; Kobayashi, K.; Nagase, S. J. Am. Chem. Soc. 1993, 115, 1605–1606. doi:10.1021/ja00057a072 |
| 42. | Lips, F.; Fettinger, J. C.; Mansikkamäki, A.; Tuononen, H. M.; Power, P. P. J. Am. Chem. Soc. 2014, 136, 634–637. doi:10.1021/ja411951y |
| 52. | Suzuki, T.; Maruyama, Y.; Akasaka, T.; Ando, W.; Kobayashi, K.; Nagase, S. J. Am. Chem. Soc. 1994, 116, 1359–1363. doi:10.1021/ja00083a022 |
| 53. | Akasaka, T.; Suzuki, T.; Maeda, Y.; Ara, M.; Wakahara, T.; Kobayashi, K.; Nagase, S.; Kako, M.; Nakadaira, Y.; Fujitsuka, M.; Ito, O. J. Org. Chem. 1999, 64, 566–569. doi:10.1021/jo981689h |
| 54. | Wakahara, T.; Han, A.; Niino, Y.; Maeda, Y.; Akasaka, T.; Suzuki, T.; Yamamoto, K.; Kako, M.; Nakadaira, Y.; Kobayashi, K.; Nagase, S. J. Mater. Chem. 2002, 12, 2061–2064. doi:10.1039/b201118b |
| 55. | Maeda, Y.; Aminur Rahman, G. M.; Wakahara, T.; Kako, M.; Okamura, M.; Sato, S.; Akasaka, T.; Kobayashi, K.; Nagase, S. J. Org. Chem. 2003, 68, 6791–6794. doi:10.1021/jo0344788 |
| 56. | Han, A. H.; Wakahara, T.; Maeda, Y.; Akasaka, T.; Fujitska, M.; Ito, O.; Yamamoto, K.; Kako, M.; Kobayashi, K.; Nagase, S. New J. Chem. 2009, 33, 497–500. doi:10.1039/b808119k |
| 50. | Gaspar, P. P.; West, R. Silylenes. In The Chemistry of Organosilicon Compounds; Patai, S.; Rappoport, Z., Eds.; John Wiley & Sons: Chichester, UK, 1998; Vol. 2, pp 2463–2568. doi:10.1002/0470857250.ch43 |
| 51. | Mizuhata, Y.; Sasamori, T.; Tokitoh, N. Chem. Rev. 2009, 109, 3479–3511. doi:10.1021/cr900093s |
| 16. | Akasaka, T.; Mitsuhida, E.; Ando, W.; Kobayashi, K.; Nagase, S. J. Chem. Soc., Chem. Commun. 1995, 1529–1530. doi:10.1039/c39950001529 |
| 50. | Gaspar, P. P.; West, R. Silylenes. In The Chemistry of Organosilicon Compounds; Patai, S.; Rappoport, Z., Eds.; John Wiley & Sons: Chichester, UK, 1998; Vol. 2, pp 2463–2568. doi:10.1002/0470857250.ch43 |
| 51. | Mizuhata, Y.; Sasamori, T.; Tokitoh, N. Chem. Rev. 2009, 109, 3479–3511. doi:10.1021/cr900093s |
© 2024 Kako et al.; licensee Beilstein-Institut.
This is an open access article licensed under the terms of the Beilstein-Institut Open Access License Agreement (https://www.beilstein-journals.org/bjoc/terms), which is identical to the Creative Commons Attribution 4.0 International License (https://creativecommons.org/licenses/by/4.0). The reuse of material under this license requires that the author(s), source and license are credited. Third-party material in this article could be subject to other licenses (typically indicated in the credit line), and in this case, users are required to obtain permission from the license holder to reuse the material.