Abstract
A recent find of a Marasmius species in Northern Thailand led to the isolation of five unprecedented derivatives of the carotane antibiotic fulvoferruginin (1), fulvoferruginins B–F (2–6). The structures of these sesquiterpenoids were elucidated using HRESIMS, 1D and 2D NMR, as well as CD spectroscopy. Assessing the bioactivity, fulvoferruginin emerged as a potent cytotoxic agent of potential pharmaceutical interest.
Graphical Abstract
Introduction
The family Marasmiaceae (Agaricomycetes, Basidiomycota) presently contains ten genera with Marasmius Fr. being the predominant one (currently comprising over 600 recognized species). Most of these fungi are considered saprotrophs, even though some (e.g., Moniliophthora species) are plant pathogens [1]. They are rather ubiquitous, but have been frequently overlooked owing to the small dimensions of their basidiomes. As of now, their taxonomy is not well settled, and a world monograph using modern mycological methodology is still not available.
As of 2006, the family forms a sister taxon to the Omphalotaceae within the suborder of Marasmiineae (Agaricales) [2,3]. Among Basidiomycota, the Marasmiineae are most famous for their abundant chemical diversity. Metabolites with various bioactivities described from Marasmius spp. include the cryptoporic acids [4], marasmals, marasmones, and oreadones [5,6], the caryophyllane hebelophyllene C [7], and the carotane fulvoferruginin (1) [8] (Figure 1). The latter is the only known secondary metabolite from M. fulvoferrugineus Gilliam and displays a modest antibiotic and moderate antifungal activity. A recent find of a Marasmius species in Northern Thailand led, however, to the isolation and identification of five novel derivatives of this carotane-type sesquiterpenoid. The present study is dedicated to describing their isolation, and biological and physicochemical characterization.
Figure 1: Structures of fulvoferruginin (1) and the newly isolated derivatives fulvoferruginins B–F (2–6).
Figure 1: Structures of fulvoferruginin (1) and the newly isolated derivatives fulvoferruginins B–F (2–6).
Results
Structure elucidation of the secondary metabolites 2–6
Preparative HPLC of the supernatant crude extract of a submerged cultivation of Marasmius sp. strain MFLUCC 14-0681 in ZM½ media led to the isolation of six carotane sesquiterpenoids, fulvoferruginins A–F (1–6, Figure 1).
The first isolated metabolite (2) showed a protonated molecular ion peak at m/z 249.1477 [M + H]+ in the HRESIMS, corresponding to the molecular formula C15H20O3 (calcd for C15H21O3+, 249.1490). The 1H NMR spectrum showed signals for three methyl groups at δH 0.99 (s, H-13), 1.20 (d, J = 7.0 Hz, H-14), and 1.91 (t, J = 1.7 Hz, H-12); two methylenes at δH 1.69 (m, H-8a), 1.85 (m, H-9a), 2.00 (m, H-9b), and 2.05 (m, H-8b) as well as five methines of which one is oxygenated at δH 4.95 (br d, J = 12.1 Hz, H-5) and three are olefinic: δH 5.59 (d, J = 11.2 Hz, H-2), 5.71 (d, J = 0.9 Hz, H-4), and 6.09 (d, J = 11.2 Hz, H-1). The 13C NMR spectrum showed 15 signals including those of a lactone carbonyl at δC 177.6 (C-15); four olefinic carbons at δC 126.0 (C-4), 126.5 (C-2), 133.4 (C-3), and 144.0 (C-1); three methyl groups at δC 8.7 (C-14), 20.2 (C-13), and 28.0 (C-12) (Table 1). The remaining resonances were due to two methylenes at δC 38.8 (C-8) and 39.2 (C-9); three methines at δC 46.4 (C-11), 58.4 (C-6), and 77.6 (C-7) as well as two quaternary carbons at δC 45.6 (C-8) and 82.8 (C-10). Correlating 1D data with 2D NMR experiments (1H,1H COSY, 1H,13C HMBC, 1H,1H ROESY, see Figure 2) led to an underlying structure resembling that of the carotane sesquiterpenoid fulvoferruginin (1, [8]) with the only difference being a tertiary methyl group at C-14 (δC/H 8.7/1.20), instead of an olefin. Compound 2 was therefore named fulvoferruginin B. Subsequently, a minor peak following 2 in the HPLC chromatogram was isolated and identified as fulvoferruginin (1), utilizing HRESIMS and 1D/2D NMR experiments (see Table S3 in Supporting Information File 1).
Table 1: NMR chemical shifts of compounds 2–6 (1H NMR (700 MHz) and 13C NMR (176 MHz) in methanol-d4.
| Pos. | 2 | 3 | 4 | 5 | 6 | |||||
| 13C, mult. | 1H, mult. (J, Hz) | 13C, mult. | 1H, mult. (J, Hz) | 13C, mult. | 1H, mult. (J, Hz) | 13C, mult. | 1H, mult. (J, Hz) | 13C, mult. | 1H, mult. (J, Hz) | |
| 1 | 144.0, CH | 6.09, d (11.2) | 144.1, CH | 6.09, d (11.2) | 143.9, CH | 6.09, d (11.2) | 41.0, CH2 | 1.76, ddd (13.5, 8.1, 3.4) | 39.9, CH2 | 1.58, ddd (17.3, 13.6, 3.7) |
| 1.54, td (13.5, 4.1) | 1.78, m | |||||||||
| 2 | 126.5, CH | 5.59, d (11.2) | 126.7, CH | 5.60, d (11.2) | 126.6, CH | 5.60, dd (11.2, 0.6) | 31.7, CH2 | 2.12, m | 31.1, CH2 | 2.08, dt (17.3, 3.7) |
| 2.38, m | 2.38, m | |||||||||
| 3 | 133.4, Cq | 133.9, Cq | 133.5, Cq | 138.1, Cq | 139.0, Cq | |||||
| 4 | 126.0, CH | 5.71, d (0.9) | 125.6, CH | 5.70, dd (2.2, 1.2) | 125.7, CH | 5.71, dd (2.2, 1.2) | 127.0, CH | 5.66, dt (2.8, 1.7) | 127.1, CH | 5.58, br s |
| 5 | 77.6, CH | 4.95, br d (12.1) | 79.5, CH | 5.04, dt (12.2, 1.9) | 77.8, CH | 4.96, br d (12.2) | 77.6, CH | 4.79, br dd (11.4, 1.7) | 79.5, CH | 4.71, br dd (12.4, 1.8) |
| 6 | 58.4, CH | 2.33, d (12.1) | 46.8, CH | 2.51, t (12.2) | 58.9, CH | 2.28, d (12.2) | 64.7, CH | 1.83, m | 53.5, CH | 2.56, br dt (12.4, 2.8) |
| 7 | 45.6, Cq | 45.4, Cq | 45.3, Cq | 44.4, Cq | 40.9, Cq | |||||
| 8 | 38.8, CH2 | 2.05, m | 41.1, CH2 | 1.78, m | 38.9, CH2 | 1.70, dd (11.8, 6.1) | 42.2, CH2 | 1.58, m | 51.9, CH2 | 1.52, dd (12.4, 8.9) |
| 1.69, m | 2.06, m | 1.84, m | 2.18, dd (12.4, 7.6) | |||||||
| 9 | 39.2, CH2 | 1.85, m | 31.3, CH2 | 1.61, m | 39.6, CH2 | 1.94, dd (13.1, 6.1) | 38.6, CH2 | 1.83, m | 70.8, CH | 4.88, m |
| 2.00, m | 2.08, m | 2.17, m | 2.18, m | |||||||
| 10 | 82.8, Cq | 39.3, CH | 2.69, m | 82.5, Cq | 83.7, Cq | 161.7, Cq | ||||
| 11 | 46.4, CH | 2.72, q (7.0) | 52.7, CHa | 53.4, CH | 2.71, dd (6.4, 4.0) | 54.2, CH | 2.66, dd (6.4, 4.0) | 123.9, Cq | ||
| 12 | 28.0, CH3 | 1.91, t (1.7) | 28.1, CH3 | 1.91, t (1.7) | 28.0, CH3 | 1.91, t (1.7) | 29.0, CH3 | 1.80, dt (2.0, 1.2) | 28.9, CH3 | 1.80, s |
| 13 | 20.2, CH3 | 0.99, s | 21.2, CH3 | 1.03, s | 20.1, CH3 | 1.00, s | 17.8, CH3 | 1.00, s | 18.2, CH3 | 0.85, s |
| 14 | 8.7, CH3 | 1.20, d (7.0) | 171.9, Cq | 59.0, CH2 | 3.94, dd (11.4, 4.0) | 59.2, CH2 | 3.93, dd (11.4, 4.0) | 12.1, CH3 | 1.93, dd (2.8, 1.0) | |
| 4.10, dd (11.4, 6.4) | 4.10, dd (11.4, 6.4) | |||||||||
| 15 | 177.6, Cq | 173.0, Cq | 175.6, Cq | 175.7, Cq | 169.6, Cq | |||||
a 13C NMR chemical shift extracted from HMBC spectrum. CH verified by measuring 3 in chloroform-d (see Table S1 in Supporting Information File 1).
Figure 2: KEY HMBC (arrows) and COSY (thick bonds) correlations of compounds 2 and 3.
Figure 2: KEY HMBC (arrows) and COSY (thick bonds) correlations of compounds 2 and 3.
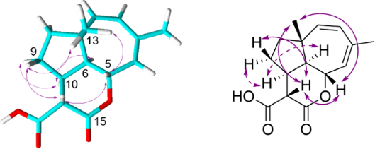
The methyl group C-14 of fulvoferruginin B (2) results in an additional stereocenter at C-11. The proton at C-11 (δH 2.72) exhibited 1H,1H ROESY correlations with H-5 (δH 4.95) and H3-13 (δH 0.99) indicating that they are on the same face of the molecule. These ROESY correlations are otherwise identical to those observed for fulvoferruginin (1). The relative stereochemistry at C-6 and C-10 was further confirmed through comparison with ROESY correlations of metabolite 3 (Figure 3).
Figure 3: Key ROESY correlations of metabolite 3.
Figure 3: Key ROESY correlations of metabolite 3.
A third isolated compound (3) with a molecular formula of C15H18O4, derived from a protonated molecular ion peak of m/z 263.1276 [M + H]+, was named fulvoferruginin C (3). It differed from compound 2 only in the presence of a carboxyl group (δC 171.9) instead of the tertiary methyl C-14, and a methine (C-10, δC 39.3) instead of a hydroxylated quaternary carbon. The presence of the methine C-11 was confirmed by measuring 1D/2D NMR spectra of 3 in chloroform-d (see Table S1 in Supporting Information File 1). The corresponding proton H-11 (δH 3.38) forms again a spin system with H-5 (δH 4.89) and H-13 (δH 1.01) in the COSY spectrum (Figure 2). Furthermore, the relative configurations of C-6 and C-10 were elucidated by the ROESY correlation (Figure 3) depicted between H-6 (δH 2.57) and H-10 (δH 2.75). All these correlations also support the structure of compound 2.
Metabolite 4, trivially named fulvoferruginin D, is structurally similar to compound 2. Its molecular formula C15H20O4 was deduced from the HRESIMS which exhibited ions at m/z 265.1434 [M + H]+ (calcd for C15H21O4+, 265.1439) and 287.1252 [M + Na]+ (calcd for C15H20NaO4+, 287.1254). The examination of the NMR spectroscopic data revealed that C-14 is hydroxylated in compound 4 (δC 59.0) as compared to fulvoferruginin B (2). This was further confirmed by HMBC correlations observed between the hydroxymethylene protons [δH 3.94 (dd, J = 11.4, 4.0 Hz, H-14a) and 4.10 (dd, J = 11.4, 6.4 Hz, H-14b)] and carbons at δC 53.4 (C-11), 82.5 (C-10), and 175.6 (C-15) (see Table 1 and Supporting Information File 1).
Fulvoferruginin E (5), isolated as a clear solid, shares the same molecular formula C15H22O4 as compound 2, as deduced from the HRESIMS spectrum also exhibiting a protonated molecular ion peak at m/z 267.1589 [M + H]+. Its 1D/2D NMR spectroscopic data are similar to those of metabolite 4, with the only striking variation being the replacement of two olefinic methines (C-1/C-2) with methylenes (C-1: δC 41.0, C-2: δC 31.7). The absence of this double bond has previously been observed in the structurally related hercynolactone from the liverworts Barbilophozia lycopodioides and B. hatcheri [9].
To add to this, another metabolite, fulvoferruginin F (6), with a molecular formula of C15H20O3 was isolated that is also lacking the double bond at C-1/C-2. It further possesses an additional double bond between C-10/C-11, just like hercynolactone. However, NMR data analysis disclosed that the position C-9 (δC 70.8) is hydroxylated. The ROESY spectrum indicates H-9 (δH 4.88) to be cofacial with H-5 and H-13. Thus, fulvoferruginin F could also be named 9-hydroxyhercynolactone [9].
Assessing the bioactivity of the fulvoferruginins A–F (1–6), aside from the known antifungal activity of fulvoferruginin (1), no other antimicrobial activities were observed (Table S2 in Supporting Information File 1). All metabolites were also tested against the murine fibroblast cell line L929 and the cervix carcinoma cell line KB3.1. While all metabolites exhibited very weak cytotoxic effects at the highest concentration, only 2, 4, and 6 displayed mild cytotoxicity, allowing for a determination of IC50 values, which ranged from 9.5–32 µg/mL. To our surprise, fulvoferruginin (1) displayed greater cytotoxic effects than previously reported (though for other cell lines) [8], which led us to assess its cytotoxicity further against different carcinoma cell lines. The IC50 values of compound 1 range from 0.06–0.7 µg/mL for all tested cell lines (Table S2 in Supporting Information File 1).
Discussion
The lack of bioactivity for metabolites 2–6 can be attributed to an absence of the α-methylene lactone unit present in fulvoferruginin (1). Nevertheless, the cytotoxicity detected here for fulvoferruginin shows that re-evaluating the bioactivity of previously isolated basidiomycete metabolites in different bioassays can lead to unexpected results of potential pharmaceutical interest.
Klein et al. obtained a crystal structure of fulvoferruginin (1) [8], as did Huneck et al. for hercynolactone [9], verifying their relative configuration. Huo et al. have further confirmed the absolute configuration of compound 1 by utilizing the CD exciton chirality method. Additionally, our recorded CD spectra (Figure S1 in Supporting Information File 1) of metabolites 3 and 4, are in close agreement with 1. As the metabolites 2–6 displayed analogous relative stereochemistry and optical rotations, we presume that the new compounds arise from the same biosynthetic genes as the parent compound, and postulate that the congeners should also have the same absolute configuration as compound 1 [10].
For a long time, fulvoferruginin was only known to be produced by a strain of M. fulvoferrugineus found in Northern America, but there is a recent report on the occurrence of fulvoferruginin (1) in a basidiomycete collected in China. This strain was tentatively identified as Gymnopus sp. through analysis of its internal transcribed spacer (ITS1-5.8s) rDNA region [10]. Today, Gymnopus belongs to the Omphalotaceae and some Marasmius species have been reassigned to Gymnopus, as have certain Gymnopus spp. to genera like Marasmiellus. However, intensive phylogenetic studies on these genera remain to be conducted. A macroscopic differentiation to Marasmius is difficult and a taxonomic classification based on ITS alone has proven to be insufficient for these genera [11]. In addition, the recent finding that multiple copies of the rDNA can be present in one and the same genome of certain fungi, leading to up to more than 10% deviations [12], makes us suspicious about the validity of the previous classification of the Chinese “Gymnopus” species.
Taking also other marker loci into consideration, as is required for publishing a new fungal species [12], Marasmius sp. MFLUCC14-0681 currently displays the largest identity (BLASTn) to a European M. haematocephalus (98.9%), a Brazilian M. conchiformis, and M. purpureostriatus. Nevertheless, all species are genetically distinct. Considering other rDNA regions currently leads to more questions than answers regarding the phylogeny and clearly shows the need for further taxonomic re-evaluation.
Experimental
General experimental procedures
An Agilent 1200 series HPLC-UV system (Santa Clara, CA, USA) with an ESI-TOF-MS (MaXis, Bruker, Bremen, Germany) [column 2.1 × 50 mm, 1.7 µm, C18 Acquity UPLC BEH (Waters, Eschborn, Germany)], with deionized water + 0.1% formic acid (solvent A) as well as acetonitrile + 0.1% formic acid (solvent B) and a gradient of 5% B for 0.5 min increasing to 100% B in 19.5 min, maintaining 100% B for 5 min, flow rate: 0.6 mL/min, UV detection 200–600 nm, was used to obtain the HRESIMS data. NMR spectra were acquired on a Bruker Avance III 700 MHz spectrometer (Bremen, Germany) equipped with a 5 mm TCI cryoprobe (1H NMR (700 MHz), 13C NMR (175 MHz)). Optical rotations of the metabolites were measured with an MCP 150 polarimeter (Anton Paar, Graz, Austria). The CD spectra were obtained from a JASCO spectropolarimeter, model J-815 (Pfungstadt, Germany). The UV spectra were recorded on a Shimadzu UV–vis spectrophotometer UV-2450 (Duisburg, Germany).
Isolation and identification of fungal material
Basidiomes of strain MFLUCC 14-0681 were collected and isolated by B.T. close to the Mushroom Research Center in Chiang Mai Province, Thailand (http://www.mushroomresearchcentre.com) on August 11, 2014. The species was identified as a Marasmius sp. by mycologists B.T. and M.S. based on its morphological characteristics and cultures were verified by rDNA sequence comparison [5.8S gene region, the internal transcribed spacer 1 and 2 (ITS) and the large subunit (LSU)]. Sequence data are deposited with GenBank, under accession number MN150126 for ITS and MN150183 for LSU. The collected, dried specimen as well as corresponding cultures were deposited at the mycological herbarium of Mae Fah Luang University, Chiang Rai, Thailand, accession number MFLUCC 14-0681.
The DNA extraction was performed using an EZ-10 Spin Column Genomic DNA Miniprep kit (Bio Basic Canada Inc., Markham, Ontario, Canada) following the manufacturer’s protocol. A Precellys 24 homogenizer (Bertin Technologies, France) at 6000 rpm for 2 × 40 s was used for cell disruption. DNA regions were amplified using standard primers following our previously published protocols [13]. For both DNA regions, the PCR products were purified utilizing the Nucleo Spin® Gel and PCR Clean-up kit (Macherey-Nagel, Düren, Germany). Sequencing of the PCR products was carried out at the Department of Genome Analytics of the Helmholtz Centre for Infection Research, Braunschweig, Germany.
Fermentation and isolation of metabolites 1–6
Cultures of Marasmius sp. strain MFLUCC 14-0681 were maintained on YMG agar, as described by Klein et al. [8]. A 100 mL seed culture of the strain in ZM½ medium [14] was used to inoculate a 5 L batch fermentation in 25 500 mL Erlenmeyer flasks with ZM½ media for 15 days at 140 rpm and 23 °C. Afterwards, the fermentation broth was filtered and the supernatant extracted with 2% AmberliteTM XAD 16N (Rohm & Haas, Frankfurt a. M., Germany), subsequently resuspended in acetone and evaporated to dryness, resulting in 2.5 g of crude extract. This supernatant crude extract was filtered using a SPME StrataTM-X 33 u Polymeric RP cartridge (Phenomenex, Inc., Aschaffenburg, Germany) and subsequently pre-fractionated utilizing RP-HPLC with a Gilson PLC 2250 purification system (Middleton, WI, USA) and a VP Nucleodur 100-5 C18 ec 250 × 40 mm, 7 µm column (Macherey-Nagel, Düren, Germany). Acetonitrile + 0.1% formic acid and deionized water + 0.1% FA served as mobile phase, running a gradient of 10 min at 5% acetonitrile + 0.1% FA, then increasing to 100% within 70 min, flow rate: 40 mL/min, UV detection at 200–600 nm. Pre-fractions were further separated using a Luna C18(2) 250 × 21 mm, 7 μm column (Phenomenex, Aschaffenburg, Germany) and deionized water + 0.05% TFA (solvent A) and acetonitrile + 0.05% TFA (solvent B) as mobile phase and a flow rate of 18 mL/min. Gradients were established individually for each pre-fraction as follows: a pre-fraction at 36 to 37 minutes was further separated with a gradient of 20–50% solvent B within 60 minutes, resulting in a peak of metabolite 4 (32 mg) at 27–27.5 min. The pre-fraction at 38 minutes was separated with a gradient from 20–70% B within 60 minutes of which a peak at 24–25 min resulted in metabolite 5 (1.6 mg). A pre-fraction from 42–43 min was further separated with a gradient from 30–60% B within 60 min, resulting in a major peak at 26–27 min being fulvoferruginin B (2, 16 mg) as well as a minor peak at 27–28 min, being fulvoferruginin (1, 9.8 mg). Yet another pre-fraction at 45 min was further separated using a gradient of 30% solvent B for 10 minutes then increasing to 75% B within 45 min. A peak at 30–30.5 min resulted in fulvoferruginin C (3, 28 mg). The pre-fraction peak at 41–42 minutes was further separated with a gradient of 30% solvent B for 20 min, then increased from 30 to 50% B within 40 min using an XBridgeTM Trifunctional C18, 250 × 19 mm, 135 Å, 5 μm column (Waters, Eschborn, Germany) as stationary phase, resulting in a peak of metabolite 6 (1.2 mg) at 21–21.5 minutes.
Fulvoferruginin (1): colorless solid; [α]D20 −66 (c 1, MeOH); UV (MeOH) λmax (PDA) 200, 247 nm; 1H (700 MHz) and 13C NMR (175 MHz) data in CD3OD are collected in Table 1 and copies of spectra are provided in Supporting Information File 1.
Fulvoferruginin B (2): faint yellow solid; [α]D20 +14 (c 1, MeOH); UV (MeOH) λmax (log ε) 200 (3.7), 249 (3.5) nm; 1H NMR and 13C NMR data (1H 700 MHz, 13C 175 MHz) in CD3OD: see Table 1; HRMS–ESI (m/z): [M + H]+ calcd for C15H21O3+, 249.1477; found, 249.1490.
Fulvoferruginin C (3): colorless solid; [α]D20 +50 (c 1, MeOH); UV (MeOH) λmax (log ε) 200 (3.4), 249 (3.7) nm; 1H (700 MHz) and 13C NMR (175 MHz) data in CD3OD are collected in Table 1, data recorded in CDCl3 (Table S1) and copies of spectra are collected in Supporting Information File 1; HRMS–ESI (m/z): [M + H]+ calcd for C15H18O4+, 263.1283; found, 263.1276.
Fulvoferruginin D (4): light yellow solid; [α]D20 +19 (c 1, MeOH); UV (MeOH) λmax (log ε) 201 (4.4), 249 (4.2) nm; 1H (700 MHz) and 13C NMR (175 MHz) data in CD3OD are collected in Table 1 and copies of spectra are collected in Supporting Information File 1; HRMS–ESI (m/z): [M + H]+ calcd for C15H21O4+, 265.1439; found, 265.1434.
Fulvoferruginin E (5): colorless solid; [α]D20 +30 (c 1, MeOH); UV (MeOH) λmax (log ε) 200 (3.9), 223 (3.2) nm; 1H (700 MHz) and 13C NMR (175 MHz) data in CD3OD are collected in Table 1 and copies of spectra are collected in Supporting Information File 1; HRMS–ESI (m/z): [M + H]+ calcd for C15H23O4+, 267.1596; found, 267.1589.
Fulvoferruginin F/9-hydroxy-hercynolactone (6): colorless solid; [α]D20 +27 (c 1, MeOH); UV (MeOH) λmax (log ε) 201 (4.2), 232 (4.0) nm; 1H (700 MHz) and 13C NMR (175 MHz) data in CD3OD are collected in Table 1 and copies of spectra are collected in Supporting Information File 1; HRMS–ESI (m/z): [M + H]+ calcd for C15H21O3+, 249.1490; found, 249.1480.
Antimicrobial activity
The minimum inhibitory concentrations (MIC) of metabolites 1–6 were assessed using a serial dilution assay in 96-well microtiter plates with YM6.3 media (10 g/L malt extract, 4 g/L glucose, 4 g/L yeast extract, pH 6.3) for filamentous fungi and yeasts, and with BD DifcoTM Mueller Hinton Broth for bacteria. The antimicrobial assays were performed as previously described [13].
Cytotoxicity assay
The cytotoxicity was assessed in vitro against mouse fibroblast cell line L929, cervix carcinoma cell line KB3.1, ovarian cancer cell line SKOV-3, human adenocarcinoma cell lines MCF-7 and PC-3, and human epidermoid carcinoma cell line A431, using the MTT (3-(4,5-dimethylthiazol-2-yl)-2,5-diphenyltetrazolium bromide) test in 96-well plates [15].
Supporting Information
| Supporting Information File 1: HRESIMS profiles and copies of NMR spectra for compounds 1–6 in CD3OD, and for metabolite 3 also in CDCl3; minimum inhibitory concentrations (MIC) of 1–6 for bacteria, yeasts and fungi as well as half inhibitory concentrations (IC50) for different cell lines. | ||
| Format: PDF | Size: 3.0 MB | Download |
Acknowledgements
We are highly grateful to A. Skiba, W. Collisi, C. Kakoschke, and C. Bergmann for excellent technical support.
Funding
B.S. and F.S. are grateful for financial support from the Deutsche Forschungsgemeinschaft (DFG) for grant SU 936/1-1. The German Academic Exchange Service (DAAD) and the Thai Royal Golden Jubilee-Industry Program (RGJ) for a joint TRF/DAAD PPP (2014-2015) academic exchange grant to M.S. and F.S. and the RGJ for a personal grant to B.T. (No. Ph.D./0138/2553 in 4.S.MF/53/A.3) are also gratefully acknowledged. The Alexander von Humboldt Foundation is acknowledged for its financial support to R.B.T.
References
-
Wijayawardene, N. N.; Hyde, K. D.; Al-Ani, L. K. T.; Tedersoo, L.; Haelewaters, D.; Rajeshkumar, K. C.; Zhao, R. L.; Aptroot, A.; Leontyev, D. V.; Saxena, R. K.; Tokarev, Y. S.; Dai, D. Q.; Letcher, P. M.; Stephenson, S. L.; Ertz, D.; Lumbsch, H. T.; Kukwa, M.; Issi, I. V.; Madrid, H.; Phillips, A. J. L.; Selbmann, L.; Pfliegler, W. P.; Horváth, E.; Bensch, K.; Kirk, P. M.; Kolaríková, K.; Raja, H. A.; Radek, R.; Papp, V.; Dima, B.; Ma, J.; Malosso, E.; Takamatsu, S.; Rambold, G.; Gannibal, P. B.; Triebel, D.; Gautam, A. K.; Avasthi, S.; Suetrong, S.; Timdal, E.; Fryar, S. C.; Delgado, G.; Réblová, M.; Doilom, M.; Dolatabadi, S.; Pawlowska, J. Z.; Humber, R. A.; Kodsueb, R.; Sánchez-Castro, I.; Goto, B. T.; Silva, D. K. A.; de Souza, F. A.; Oehl, F.; da Silva, G. A.; Silva, I. R.; Blaszkowski, J.; Jobim, K.; Maia, L. C.; Barbosa, F. R.; Fiuza, P. O.; Divakar, P. K.; Shenoy, B. D.; Castañeda-Ruiz, R. F.; Somrithipol, S.; Lateef, A. A.; Karunarathna, S. C.; Tibpromma, S.; Mortimer, P. E.; Wanasinghe, D. N.; Phookamsak, R.; Xu, J.; Wang, Y.; Tian, F.; Alvarado, P.; Li, D. W.; Kušan, I.; Matocec, N.; Mešic, A.; Tkalcec, Z.; Maharachchikumbura, S. S. N.; Papizadeh, M.; Heredia, G.; Wartchow, F.; Bakhshi, M.; Boehm, E.; Youssef, N.; Hustad, V. P.; Lawrey, J. D.; Santiago, A. L. C. M. A.; Bezerra, J. D. P.; Souza-Motta, C. M.; Firmino, A. L.; Tian, Q.; Houbraken, J.; Hongsanan, S.; Tanaka, K.; Dissanayake, A. J.; Monteiro, J. S.; Grossart, H. P.; Suija, A.; Weerakoon, G.; Etayo, J.; Tsurykau, A.; Vázquez, V.; Mungai, P.; Damm, U.; Li, Q. R.; Zhang, H.; Boonmee, S.; Lu, Y. Z.; Becerra, A. G.; Kendrick, B.; Brearley, F. Q.; Motiejunaite, J.; Sharma, B.; Khare, R.; Gaikwad, S.; Wijesundara, D. S. A.; Tang, L. Z.; He, M. Q.; Flakus, A.; Rodriguez-Flakus, P.; Zhurbenko, M. P.; McKenzie, E. H. C.; Stadler, M.; Bhat, D. J.; Liu, J. K.; Raza, M.; Jeewon, R.; Nassonova, E. S.; Prieto, M.; Jayalal, R. G. U.; Erdogdu, M.; Yurkov, A.; Schnittler, M.; Shchepin, O. N.; Novozhilov, Y. K.; Silva-Filho, A. G. S.; Gentekaki, E.; Liu, P.; Cavender, J. C.; Kang, Y.; Mohammad, S.; Zhang, L. F.; Xu, R. F.; Li, Y. M.; Dayarathne, M. C.; Ekanayaka, A. H.; Wen, T. C.; Deng, C. Y.; Pereira, O. L.; Navathe, S.; Hawksworth, D. L.; Fan, X. L.; Dissanayake, L. S.; Kuhnert, E.; Grossart, H. P.; Thines, M. Mycosphere 2020, 11, 1060–1456. doi:10.5943/mycosphere/11/1/8
Return to citation in text: [1] -
Matheny, P. B.; Curtis, J. M.; Hofstetter, V.; Aime, M. C.; Moncalvo, J.-M.; Ge, Z.-W.; Yang, Z.-L.; Slot, J. C.; Ammirati, J. F.; Baroni, T. J.; Bougher, N. L.; Hughes, K. W.; Lodge, D. J.; Kerrigan, R. W.; Seidl, M. T.; Aanen, D. K.; DeNitis, M.; Daniele, G. M.; Desjardin, D. E.; Kropp, B. R.; Norvell, L. L.; Parker, A.; Vellinga, E. C.; Vilgalys, R.; Hibbett, D. S. Mycologia 2006, 98, 982–995. doi:10.1080/15572536.2006.11832627
Return to citation in text: [1] -
Oliveira, J. J. S.; Vargas-Isla, R.; Cabral, T. S.; Rodrigues, D. P.; Ishikawa, N. K. Mycol. Prog. 2019, 18, 713–739. doi:10.1007/s11557-019-01483-5
Return to citation in text: [1] -
Meng, J.; Li, Y.-Y.; Ou, Y.-X.; Song, L.-F.; Lu, C.-H.; Shen, Y.-M. Mycology 2011, 2, 30–36. doi:10.1080/21501203.2011.554908
Return to citation in text: [1] -
Ayer, W. A.; Craw, P. Can. J. Chem. 1989, 67, 1371–1380. doi:10.1139/v89-210
Return to citation in text: [1] -
Liermann, J. C.; Thines, E.; Opatz, T.; Anke, H. J. Nat. Prod. 2012, 75, 1983–1986. doi:10.1021/np300337w
Return to citation in text: [1] -
Fabian, K.; Anke, T.; Sterner, O. Z. Naturforsch., C: J. Biosci. 1999, 54, 469–473. doi:10.1515/znc-1999-7-802
Return to citation in text: [1] -
Klein, J.; Anke, T.; Sheldrick, W. S.; Bross, M.; Steffan, B.; Steglich, W. Z. Naturforsch., C: J. Biosci. 1990, 45, 845–850. doi:10.1515/znc-1990-7-816
Return to citation in text: [1] [2] [3] [4] [5] -
Huneck, S.; Cameron, A. F.; Connolly, J. D.; McLaren, M.; Rycroft, D. S. Tetrahedron Lett. 1982, 23, 3959–3962. doi:10.1016/s0040-4039(00)87754-0
Return to citation in text: [1] [2] [3] -
Huo, G. H.; Wu, T. F.; Peng, W. W.; Hu, D. M.; Li, Z. M.; Huo, D. Chem. Nat. Compd. 2019, 55, 857–860. doi:10.1007/s10600-019-02832-2
Return to citation in text: [1] [2] -
Wannathes, N.; Desjardin, D. E.; Hyde, K. D.; Perry, B. A.; Lumyong, S. Fungal Divers. 2009, 37, 209–306.
Return to citation in text: [1] -
Aime, M. C.; Miller, A. N.; Aoki, T.; Bensch, K.; Cai, L.; Crous, P. W.; Hawksworth, D. L.; Hyde, K. D.; Kirk, P. M.; Lücking, R.; May, T. W.; Malosso, E.; Redhead, S. A.; Rossman, A. Y.; Stadler, M.; Thines, M.; Yurkov, A. M.; Zhang, N.; Schoch, C. L. IMA Fungus 2021, 12, 11. doi:10.1186/s43008-021-00063-1
Return to citation in text: [1] [2] -
Sandargo, B.; Michehl, M.; Praditya, D.; Steinmann, E.; Stadler, M.; Surup, F. Org. Lett. 2019, 21, 3286–3289. doi:10.1021/acs.orglett.9b01017
Return to citation in text: [1] [2] -
Surup, F.; Hennicke, F.; Sella, N.; Stroot, M.; Bernecker, S.; Pfütze, S.; Stadler, M.; Rühl, M. Beilstein J. Org. Chem. 2019, 15, 1000–1007. doi:10.3762/bjoc.15.98
Return to citation in text: [1] -
Sandargo, B.; Michehl, M.; Stadler, M.; Surup, F. J. Nat. Prod. 2020, 83, 720–724. doi:10.1021/acs.jnatprod.9b00871
Return to citation in text: [1]
| 8. | Klein, J.; Anke, T.; Sheldrick, W. S.; Bross, M.; Steffan, B.; Steglich, W. Z. Naturforsch., C: J. Biosci. 1990, 45, 845–850. doi:10.1515/znc-1990-7-816 |
| 12. | Aime, M. C.; Miller, A. N.; Aoki, T.; Bensch, K.; Cai, L.; Crous, P. W.; Hawksworth, D. L.; Hyde, K. D.; Kirk, P. M.; Lücking, R.; May, T. W.; Malosso, E.; Redhead, S. A.; Rossman, A. Y.; Stadler, M.; Thines, M.; Yurkov, A. M.; Zhang, N.; Schoch, C. L. IMA Fungus 2021, 12, 11. doi:10.1186/s43008-021-00063-1 |
| 13. | Sandargo, B.; Michehl, M.; Praditya, D.; Steinmann, E.; Stadler, M.; Surup, F. Org. Lett. 2019, 21, 3286–3289. doi:10.1021/acs.orglett.9b01017 |
| 1. | Wijayawardene, N. N.; Hyde, K. D.; Al-Ani, L. K. T.; Tedersoo, L.; Haelewaters, D.; Rajeshkumar, K. C.; Zhao, R. L.; Aptroot, A.; Leontyev, D. V.; Saxena, R. K.; Tokarev, Y. S.; Dai, D. Q.; Letcher, P. M.; Stephenson, S. L.; Ertz, D.; Lumbsch, H. T.; Kukwa, M.; Issi, I. V.; Madrid, H.; Phillips, A. J. L.; Selbmann, L.; Pfliegler, W. P.; Horváth, E.; Bensch, K.; Kirk, P. M.; Kolaríková, K.; Raja, H. A.; Radek, R.; Papp, V.; Dima, B.; Ma, J.; Malosso, E.; Takamatsu, S.; Rambold, G.; Gannibal, P. B.; Triebel, D.; Gautam, A. K.; Avasthi, S.; Suetrong, S.; Timdal, E.; Fryar, S. C.; Delgado, G.; Réblová, M.; Doilom, M.; Dolatabadi, S.; Pawlowska, J. Z.; Humber, R. A.; Kodsueb, R.; Sánchez-Castro, I.; Goto, B. T.; Silva, D. K. A.; de Souza, F. A.; Oehl, F.; da Silva, G. A.; Silva, I. R.; Blaszkowski, J.; Jobim, K.; Maia, L. C.; Barbosa, F. R.; Fiuza, P. O.; Divakar, P. K.; Shenoy, B. D.; Castañeda-Ruiz, R. F.; Somrithipol, S.; Lateef, A. A.; Karunarathna, S. C.; Tibpromma, S.; Mortimer, P. E.; Wanasinghe, D. N.; Phookamsak, R.; Xu, J.; Wang, Y.; Tian, F.; Alvarado, P.; Li, D. W.; Kušan, I.; Matocec, N.; Mešic, A.; Tkalcec, Z.; Maharachchikumbura, S. S. N.; Papizadeh, M.; Heredia, G.; Wartchow, F.; Bakhshi, M.; Boehm, E.; Youssef, N.; Hustad, V. P.; Lawrey, J. D.; Santiago, A. L. C. M. A.; Bezerra, J. D. P.; Souza-Motta, C. M.; Firmino, A. L.; Tian, Q.; Houbraken, J.; Hongsanan, S.; Tanaka, K.; Dissanayake, A. J.; Monteiro, J. S.; Grossart, H. P.; Suija, A.; Weerakoon, G.; Etayo, J.; Tsurykau, A.; Vázquez, V.; Mungai, P.; Damm, U.; Li, Q. R.; Zhang, H.; Boonmee, S.; Lu, Y. Z.; Becerra, A. G.; Kendrick, B.; Brearley, F. Q.; Motiejunaite, J.; Sharma, B.; Khare, R.; Gaikwad, S.; Wijesundara, D. S. A.; Tang, L. Z.; He, M. Q.; Flakus, A.; Rodriguez-Flakus, P.; Zhurbenko, M. P.; McKenzie, E. H. C.; Stadler, M.; Bhat, D. J.; Liu, J. K.; Raza, M.; Jeewon, R.; Nassonova, E. S.; Prieto, M.; Jayalal, R. G. U.; Erdogdu, M.; Yurkov, A.; Schnittler, M.; Shchepin, O. N.; Novozhilov, Y. K.; Silva-Filho, A. G. S.; Gentekaki, E.; Liu, P.; Cavender, J. C.; Kang, Y.; Mohammad, S.; Zhang, L. F.; Xu, R. F.; Li, Y. M.; Dayarathne, M. C.; Ekanayaka, A. H.; Wen, T. C.; Deng, C. Y.; Pereira, O. L.; Navathe, S.; Hawksworth, D. L.; Fan, X. L.; Dissanayake, L. S.; Kuhnert, E.; Grossart, H. P.; Thines, M. Mycosphere 2020, 11, 1060–1456. doi:10.5943/mycosphere/11/1/8 |
| 7. | Fabian, K.; Anke, T.; Sterner, O. Z. Naturforsch., C: J. Biosci. 1999, 54, 469–473. doi:10.1515/znc-1999-7-802 |
| 11. | Wannathes, N.; Desjardin, D. E.; Hyde, K. D.; Perry, B. A.; Lumyong, S. Fungal Divers. 2009, 37, 209–306. |
| 5. | Ayer, W. A.; Craw, P. Can. J. Chem. 1989, 67, 1371–1380. doi:10.1139/v89-210 |
| 6. | Liermann, J. C.; Thines, E.; Opatz, T.; Anke, H. J. Nat. Prod. 2012, 75, 1983–1986. doi:10.1021/np300337w |
| 12. | Aime, M. C.; Miller, A. N.; Aoki, T.; Bensch, K.; Cai, L.; Crous, P. W.; Hawksworth, D. L.; Hyde, K. D.; Kirk, P. M.; Lücking, R.; May, T. W.; Malosso, E.; Redhead, S. A.; Rossman, A. Y.; Stadler, M.; Thines, M.; Yurkov, A. M.; Zhang, N.; Schoch, C. L. IMA Fungus 2021, 12, 11. doi:10.1186/s43008-021-00063-1 |
| 4. | Meng, J.; Li, Y.-Y.; Ou, Y.-X.; Song, L.-F.; Lu, C.-H.; Shen, Y.-M. Mycology 2011, 2, 30–36. doi:10.1080/21501203.2011.554908 |
| 10. | Huo, G. H.; Wu, T. F.; Peng, W. W.; Hu, D. M.; Li, Z. M.; Huo, D. Chem. Nat. Compd. 2019, 55, 857–860. doi:10.1007/s10600-019-02832-2 |
| 2. | Matheny, P. B.; Curtis, J. M.; Hofstetter, V.; Aime, M. C.; Moncalvo, J.-M.; Ge, Z.-W.; Yang, Z.-L.; Slot, J. C.; Ammirati, J. F.; Baroni, T. J.; Bougher, N. L.; Hughes, K. W.; Lodge, D. J.; Kerrigan, R. W.; Seidl, M. T.; Aanen, D. K.; DeNitis, M.; Daniele, G. M.; Desjardin, D. E.; Kropp, B. R.; Norvell, L. L.; Parker, A.; Vellinga, E. C.; Vilgalys, R.; Hibbett, D. S. Mycologia 2006, 98, 982–995. doi:10.1080/15572536.2006.11832627 |
| 3. | Oliveira, J. J. S.; Vargas-Isla, R.; Cabral, T. S.; Rodrigues, D. P.; Ishikawa, N. K. Mycol. Prog. 2019, 18, 713–739. doi:10.1007/s11557-019-01483-5 |
| 10. | Huo, G. H.; Wu, T. F.; Peng, W. W.; Hu, D. M.; Li, Z. M.; Huo, D. Chem. Nat. Compd. 2019, 55, 857–860. doi:10.1007/s10600-019-02832-2 |
| 9. | Huneck, S.; Cameron, A. F.; Connolly, J. D.; McLaren, M.; Rycroft, D. S. Tetrahedron Lett. 1982, 23, 3959–3962. doi:10.1016/s0040-4039(00)87754-0 |
| 8. | Klein, J.; Anke, T.; Sheldrick, W. S.; Bross, M.; Steffan, B.; Steglich, W. Z. Naturforsch., C: J. Biosci. 1990, 45, 845–850. doi:10.1515/znc-1990-7-816 |
| 15. | Sandargo, B.; Michehl, M.; Stadler, M.; Surup, F. J. Nat. Prod. 2020, 83, 720–724. doi:10.1021/acs.jnatprod.9b00871 |
| 9. | Huneck, S.; Cameron, A. F.; Connolly, J. D.; McLaren, M.; Rycroft, D. S. Tetrahedron Lett. 1982, 23, 3959–3962. doi:10.1016/s0040-4039(00)87754-0 |
| 9. | Huneck, S.; Cameron, A. F.; Connolly, J. D.; McLaren, M.; Rycroft, D. S. Tetrahedron Lett. 1982, 23, 3959–3962. doi:10.1016/s0040-4039(00)87754-0 |
| 8. | Klein, J.; Anke, T.; Sheldrick, W. S.; Bross, M.; Steffan, B.; Steglich, W. Z. Naturforsch., C: J. Biosci. 1990, 45, 845–850. doi:10.1515/znc-1990-7-816 |
| 14. | Surup, F.; Hennicke, F.; Sella, N.; Stroot, M.; Bernecker, S.; Pfütze, S.; Stadler, M.; Rühl, M. Beilstein J. Org. Chem. 2019, 15, 1000–1007. doi:10.3762/bjoc.15.98 |
| 8. | Klein, J.; Anke, T.; Sheldrick, W. S.; Bross, M.; Steffan, B.; Steglich, W. Z. Naturforsch., C: J. Biosci. 1990, 45, 845–850. doi:10.1515/znc-1990-7-816 |
| 8. | Klein, J.; Anke, T.; Sheldrick, W. S.; Bross, M.; Steffan, B.; Steglich, W. Z. Naturforsch., C: J. Biosci. 1990, 45, 845–850. doi:10.1515/znc-1990-7-816 |
| 13. | Sandargo, B.; Michehl, M.; Praditya, D.; Steinmann, E.; Stadler, M.; Surup, F. Org. Lett. 2019, 21, 3286–3289. doi:10.1021/acs.orglett.9b01017 |
© 2021 Sandargo et al.; licensee Beilstein-Institut.
This is an Open Access article under the terms of the Creative Commons Attribution License (https://creativecommons.org/licenses/by/4.0). Please note that the reuse, redistribution and reproduction in particular requires that the author(s) and source are credited and that individual graphics may be subject to special legal provisions.
The license is subject to the Beilstein Journal of Organic Chemistry terms and conditions: (https://www.beilstein-journals.org/bjoc/terms)