Guest Editor: T. Schrader Beilstein J. Org. Chem.2020,16, 2576–2588.https://doi.org/10.3762/bjoc.16.209 Received 07 Aug 2020,
Accepted 02 Oct 2020,
Published 20 Oct 2020
Crown ethers are common building blocks in supramolecular chemistry and are frequently applied as cation sensors or as subunits in synthetic molecular machines. Developing switchable and specifically designed crown ethers enables the implementation of function into molecular assemblies. Seven tailor-made redox-active crown ethers incorporating tetrathiafulvalene (TTF) or naphthalene diimide (NDI) as redox-switchable building blocks are described with regard to their potential to form redox-switchable rotaxanes. A combination of isothermal titration calorimetry and voltammetric techniques reveals correlations between the binding energies and redox-switching properties of the corresponding pseudorotaxanes with secondary ammonium ions. For two different weakly coordinating anions, a surprising relation between the enthalpic and entropic binding contributions of the pseudorotaxanes was discovered. These findings were applied to the synthesis of an NDI-[2]rotaxane, which retains similar spectroelectrochemical properties compared to the corresponding free macrocycle. The detailed understanding of the thermodynamic and electrochemical properties of the tailor-made crown ethers lays the foundation for the construction of new types of molecular redox switches with emergent properties.
Pedersen discovered crown ethers in 1967 while searching for multidentate ligands for the vanadyl group [1-3]. He was later awarded the Nobel Prize in Chemistry for his studies on the crown ether selective binding properties towards alkali metal ions [2]. Crown ethers and their binding properties nowadays find frequent application, e.g., as cation sensors [4-7], as phase-transfer catalysts [8-10], or as drug delivery systems [11-13].
Already at the early stages of crown ether research, considerable effort has been made towards switchable macrocyclic receptors, in which crown ethers are functionalized with a stimuli-responsive unit [14,15]. These studies were mainly motivated by a biomimetic approach and included examples such as crown ethers incorporating photo-responsive azobenzene [15,16] or redox-active ferrocene [14,17]. Yet, switchable crown ethers are also widely applied as cation sensors, where the sensor activity can be controlled by external stimuli, e.g., light, the redox potential or chemical reagents [14,17]. Redox-switchable crown ethers have been shown to sense cations by the generation of an electrochemical output. For example, crown ethers containing tetrathiafulvalene (TTF) derivatives, which enable two reversible oxidation processes from the neutral to the dicationic state, were applied to sense various cations, e.g., alkali metal ions, Pb2+, and Ba2+[18-21].
Furthermore, with the first synthesis of crown ether-based rotaxanes in 1995, crown ethers played a crucial role in the development of mechanically interlocked molecules (MIMs) [22,23]. This rotaxane synthesis was facilitated by the formation of a threaded complex (pseudorotaxane) between a secondary ammonium ion and dibenzo-24-crown-8 (DBC8, Figure 1), which bind through noncovalent interactions. In detail, these interactions are strong hydrogen bonds between ether oxygen atoms and ammonium protons. In addition, weaker C–H···O hydrogen bonds with the CH2 groups adjacent to the ammonium nitrogen as well as π–π-interactions between the catechol ring of the crown ether and aromatic moieties of the secondary ammonium ion contribute to the complex formation [22-25].
Figure 1:
Structures of the compounds used in this study: a) crown-8 analogs; b) crown-7 analogs; c) secondary ammonium axles. BArF24− represents tetrakis(3,5-bis(trifluoromethyl)phenyl)borate.
Figure 1:
Structures of the compounds used in this study: a) crown-8 analogs; b) crown-7 analogs; c) secondar...
Over the last 25 years, a detailed understanding of the thermodynamic and kinetic properties of crown ether/ammonium complexes has developed enabling the construction of more complex molecular structures [24,26,27]. With the introduction of stimuli-responsive units, crown ether/ammonium-based MIMs have evolved into molecular switches and motors [24,28]. Intriguing examples among them are a light-powered molecular pump [29], a chemical-fuel-driven molecular rotary motor [30], and an acid/base-switchable asymmetric organocatalyst [31].
In addition to MIMs switchable by light or chemical reagents, redox-switchable molecular assemblies are of particular interest, since redox switching at electrodes is considered to operate without chemical waste and electrochemical analytical tools, e.g., cyclic voltammetry (CV), exhibit great potential to investigate the kinetic and thermodynamic parameters of the switching processes [32,33]. Although various redox-active crown ethers have been described [14,21,34], they are not commonly implemented into crown ether/ammonium (pseudo)rotaxanes. One reason is that functionalized crown ethers can cause major obstacles in the synthesis of (pseudo)rotaxanes, as their functionalization can strongly interfere with the binding properties of the crown ether [24,25]. Recently, we have investigated examples for redox-switchable MIMs based on two 24-crown-8 ethers functionalized with TTF TTFC8[35,36] and exTTFC8[37] (Figure 1). Several TTFC8-derived molecular assemblies have been studied and provided access to new switching modes [35,36,38] and emergent optoelectronic properties [35,36,39,40], demonstrating the great potential of tailor-made redox-active crown ethers for the development of new molecular switches.
Yet, a careful design of tailor-made redox-active crown ethers is of great importance for tuning the crown ether binding and redox properties to achieve the desired molecular structure and switching mode, which motivated us to conduct the present study on the thermodynamic and electrochemical properties of seven redox-active crown ethers of different ring sizes in comparison to the unfunctionalized analogs DBC8 and BC7 (Figure 1). Crown ethers incorporating TTF, an extended TTF, and naphthalene diimide (NDI) as redox-active units were investigated with respect to the impact of the functionalization on the thermodynamic binding properties towards secondary ammonium axles using isothermal titration calorimetry (ITC). The electrochemical switching properties of the redox-active crown ethers were examined using differential pulse voltammetry (DPV) and compared to those of their corresponding pseudo[2]rotaxanes. Additionally, we report the synthesis of a novel NDI-[2]rotaxane and study the impact of the mechanical bond on the optoelectronic properties of the NDI unit by CV and spectroelectrochemical measurements.
Results and Discussion
Design considerations
The nine crown ether wheels and two ammonium axles used in this study are depicted in Figure 1. Previously, we investigated the thermodynamic and electrochemical properties of pseudorotaxanes made from TTFC8 and exTTFC8 in two separate studies [35,37]. Herein, we compare these two crown ethers, their smaller analogs and add a two TTF-units containing crown ether bisTTFC8, which was previously synthesized by Becher and co-workers [41]. These TTF-containing crown ethers become positively charged upon electrochemical oxidation, resulting in Coulomb repulsion with the ammonium axle [35,36,38].
A second goal was to add crown ethers, that can be reversibly reduced from the neutral to the dianionic state, as these crown ethers become negatively charged upon electrochemical switching and thus are expected to cause a Coulomb attraction between the ammonium axle and the crown ether. The NDI moiety, which is readily applied in various redox-active MIMs, was selected because of its high stability and synthetic accessibility [42].
An NDI-containing crown ether was reported by Sanders and co-workers, where the NDI unit is directly connected into the oligoglycol ring framework of the crown ether by the two nitrogen atoms [43]. However, the increased ring size and altered binding properties, which are dominated by the large π-systems of the NDI units, rendered this design unsuitable for our study. Therefore, we chose a similar design for the targeted NDI-functionalized crown ether as for the TTF crown ethers, where the NDI unit is in a position more remote from the crown ether binding site. Yet, keeping the formal C2-symmetry of the macrocycle is important to avoid mixtures of isomers upon the threading of directional axles, such as A1·PF6 (Figure 1c) [40]. Consequently, we chose to use a resorcinol-connected crown ether motif introduced by Stoddart and co-workers [44] for the NDI-crown-8 NDIC8 (Figure 1).
To compare the larger crown ethers with smaller analogs, benzo-21-crown-7 (BC7) and the derivatives were also included, as at least the parent compound forms stronger complexes with secondary ammonium ions than the larger analog. But since phenyl groups already act as a stopper for BC7, one side of the ammonium axle must be an alkyl chain, as in A2·PF6 to enable pseudo[2]rotaxane formation (Figure 1c) [45,46].
The smaller TTF-containing crown ethers TTFC7 and exTTFC7 were designed in analogy to their crown-8 analogs (Figure 1). To access the NDI-functionalized crown-7 analog NDIC7, we chose an aza-crown-7 core, similar to the divalent crown ether described by Das and co-workers [47]. Comparing both NDI-containing crown ethers, NDIC8 exhibits a rather rigid connection to the crown ether core, and in NDIC7, a more flexible ethylenediamine linker is used.
Crown ether synthesis and crystal structures
With respect to the synthesis of previously reported TTFC8 and exTTFC8[35,37], we synthesized the novel 21-crown-7 analogs following a similar synthetic route, yielding TTFC7 in one step and with good yield of 69% from the diiodide 1, and exTTFC7 with a good yield (31% over 4 steps) from BC7 (Scheme 1, for the detailed synthetic procedure and characterization data, see Supporting Information File 1, section 1). Both NDI macrocycles NDIC8 and NDIC7 were synthesized in moderate yields of 24% and 26%, respectively, over three steps from the same two building blocks, the ditosylate 5 and the monobutyl-protected NDI precursor 7 (Scheme 1).
Scheme 1:
Schematic representation of synthetic routes towards TTFC7, exTTFC7, NDIC7, and NDIC8.
Scheme 1:
Schematic representation of synthetic routes towards TTFC7, exTTFC7, NDIC7, and NDIC8.
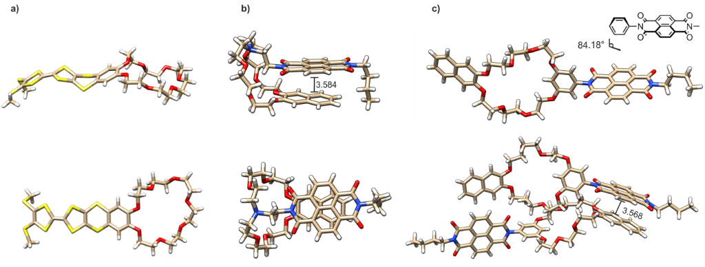
The connectivity and conformation of exTTFC7 was observed in the crystal structure obtained from crystals generated through slow evaporation of a CH2Cl2/CH3CN solution. The structure of the exTTF unit does not exhibit any significant changes upon incorporation into the crown ether [48]. No intermolecular stacking between the exTTF units was observed in the crystal structure of exTTFC7 (Figure 2a and section 2 in Supporting Information File 1). Slow diffusion of CH3CN into a concentrated solution of NDIC7 in CH2Cl2 yielded single crystals suitable for X-ray diffraction (Figure 2b). The macrocycle displays a folded conformation in the solid state due to the flexible linker, featuring an intramolecular NDI/naphthalene stacking with a typical π-stacking distance of 3.58 Å and a tilt angle of 5.8°. The free electron pair of the tertiary amine points towards the inside of the crown ether. In contrast, single crystals of NDIC8 (Figure 2c), obtained by slow evaporation of a concentrated dimethylformamide (DMF) solution, exhibit a non-folded conformation. The torsional angle between the central phenyl ring and the NDI is 84.2° in order to avoid strain between the protons of the resorcinol and the carbonyl groups of the NDI. Consequently, an intramolecular π–π-interaction with the naphthalene on the other side of the macrocycle is impeded. NDIC8 therefore does not fold but stacks with the naphthalene and NDI moieties of the neighbors alternatingly in the solid state and with a typical plane/plane distance of 3.57 Å [49].
Figure 2:
Solid-state structures of a) exTTFC7 (CH3CN molecule omitted for clarity), b) NDIC7 (CH3CN molecule omitted for clarity) and c) NDIC8.
Figure 2:
Solid-state structures of a) exTTFC7 (CH3CN molecule omitted for clarity), b) NDIC7 (CH3CN molecule...
Thermodynamic analysis of crown ether/ammonium complexes
For the investigation of the thermodynamic binding properties, isothermal titration calorimetry is an advantageous method as it yields the binding stoichiometry, the binding constant Ka and the binding enthalpy ΔH0 in one measurement. From these data, the Gibbs free binding energy ΔG0 and the binding entropy ΔS0 can be calculated. Pseudo[2]rotaxanes formed from crown ethers and ammonium axles are generally more strongly bound in solvents with low dielectric constants and in combination with weakly coordinating anions (WCAs) [24,50,51]. Therefore, we chose 1,2-dichloroethane (DCE) as the solvent and hexafluorophosphate (PF6−) as the counter ion, which resulted in binding constants in the optimal range for ITC titrations [52,53]. The even more weakly coordinating tetrakis(3,5-bis(trifluoromethyl)phenyl)borate (BArF24−) anion exemplarily served for comparison to study the influence of the anion on the binding constant.
Two different ammonium axles were employed: On the one hand, A1·PF6 can only form a threaded complex with crown-8 ether derivatives due to the two bulky benzyl substituents on the ammonium ion. On the other hand, A2·PF6 possesses one narrow alkyl substituent allowing both crown-8 and crown-7 ethers to form threaded complexes.
All possible pseudo[2]rotaxanes show strongly enthalpy-driven binding – with the notable exception of NDIC7 (Table 1). The unfunctionalized crown ethers BC7 and DBC8 are the strongest binders among the corresponding derivatives with ΔG0 of −34.6 kJ/mol and −34.8 kJ/mol, respectively (Table 1, entries 1 and 9).
Table 1:
Thermodynamic binding data of different crown ether/secondary ammonium axle complexes obtained by ITC titrations in DCE at 298 K (for full data set and titration curves, see Supporting Information File 1, section 3).
entry
macrocycle
axle
Ka [103 M−1]
ΔG0 [kJ/mol]
ΔH0 [kJ/mol]
TΔS0 [kJ/mol]
1
BC7
A2·PF6
1200 ± 100
−34.6 ± 0.2
−63.0 ± 0.5
−28.3 ± 0.7
2
exTTFC7
260 ± 30
−30.9 ± 0.3
−63.6 ± 1.0
−32.7 ± 1.3
3
NDIC7a
n. d.
n. d.
n. d.
n. d.
4
TTFC7
8.0 ± 1.0
−22.3 ± 0.2
−55.8 ± 1.5
−33.4 ± 1.7
5
DBC8
A2·PF6
480 ± 70
−32.4 ± 0.3
−60.4 ± 1.5
−28.0 ± 1.8
6
exTTFC8
160 ± 20
−29.7 ± 0.3
−57.2 ± 2.0
−27.5 ± 2.3
7
NDIC8
13 ± 1
−23.4 ± 0.2
−48.1 ± 1.0
−24.7 ± 1.2
8
TTFC8
7.0 ± 1.0
−22.1 ± 0.2
−50.3 ± 1.0
−28.3 ± 1.2
9
DBC8
A1·PF6
1300 ± 100
−34.8 ± 0.3
−60.9 ± 2.0
−26.1 ± 2.3
10
exTTFC8
780 ± 70
−33.6 ± 0.2
−58.6 ± 0.9
−25.0 ± 1.1
11
NDIC8
49 ± 6
−26.7 ± 0.3
−46.6 ± 2.0
−19.9 ± 2.3
12
TTFC8
33 ± 3
−25.7 ± 0.2
−51.5 ± 0.9
−25.9 ± 1.1
13
NDIC8
A1·BArF24
1000 ± 100
−34.2 ± 0.2
−42.9 ± 1.2
−8.7 ± 1.4
14
TTFC8b
440 ± 100
−32.2 ± 0.3
−46.2 ± 0.7
−14.0 ± 1.0
15
bisTTFC8
2.0 ± 0.5
−18.7 ± 0.6
−21.0 ± 2.0
−2.2 ± 2.6
aITC titrations cannot be fitted to a 1:1 pseudo[2]rotaxane binding model (for details, see text below and Supporting Information File 1, Figure S5). bTaken from a previous report [40].
Focusing on the combinations of crown-8 ethers and A1·PF6, exTTFC8 also forms a strong complex, with ΔG0 being only ≈1 kJ/mol (Table 1, entry 10) lower than that of the A1·PF6@DBC8 complex. In contrast, the binding of TTFC8 is more than 9 kJ/mol weaker (Table 1, entry 12), caused by the weaker hydrogen-bond-acceptor ability of the sulfur atoms incorporated in the TTFC8 crown ether ring [34,54]. NDIC8 also exhibits a comparably low binding energy, likely due to the increased ring size and the consequently weakened hydrogen-bonding pattern (Table 1, entry 11) [44].
However, NDIC8 and TTFC8 differ significantly in the entropic and enthalpic contributions to the binding energy (Table 1, entries 11 and 12). The comparably rigid structure of NDIC8 is unable to adjust the conformation in the complex to achieve an optimal hydrogen-bonding pattern with the ammonium axle, and simultaneously, maximized π–π-interactions with the axle because of the 84° torsional angle between the resorcinol and the NDI unit. Consequently, the complexation of NDIC8 is less enthalpically favored than that of TTFC8. However, the more rigid structure of NDIC8 also leads to a lower degree of conformational fixation in the pseudorotaxane of NDIC8, and thus to a more favorable binding entropy compared to the pseudorotaxane of TTFC8. For TTFC8, the increased binding enthalpy can be explained by additional π–π-interactions between the naphthalene and TTF unit of the crown ether and the ammonium axle, resulting in a rather rigid crown ether conformation in the complex as compared to the free macrocycle. This loss of conformational flexibility rationalizes the increased entropic penalty. A similar trend is observed for the binding enthalpy and entropy of NDIC8 and TTFC8 with the axles A2·PF6 (Table 1, entries 7 and 8) and A1·BArF24 (Table 1, entries 13 and 14), showing that this effect is caused by the macrocycle and not the ammonium axle.
The Gibbs free binding energy ΔG0 of all four crown-8 ethers to axle A2·PF6 is collectively 2–4 kJ/mol lower (Table 1, entries 5–8) in comparison to that of A1·PF6. On the one hand, additional π–π-interactions of the phenyl ring in A1·PF6 to the crown ether aromatic rings favor the complex formation. On the other hand, the flexibility of the alkyl substituent in A2·PF6 is diminished upon complexation, inducing a larger entropic penalty visible in the overall more negative binding entropies in pseudo[2]rotaxanes of A2·PF6 as compared to those formed from A1·PF6.
Furthermore, the three crown-7 macrocycles BC7, exTTFC7, and TTFC7 bind A2·PF6 with a binding energy (entries 1, 2, and 4 in Table 1) slightly higher than the crown-8 analogs (entries 5, 6, and 8 in Table 1). Moreover, ΔG0 follows the same trend as observed for crown-8 analogs with A1·PF6 (entries 9, 10, and 12 in Table 1) and discussed above: the binding energy decreases from BC7 over exTTFC7 to TTFC7.
The azacrown-7 NDIC7 is an exception: The ITC titration with the ammonium axle A2·PF6 does not exhibit the anticipated sigmoidal shape of a 1:1 bonded complex (see Figure S5a in Supporting Information File 1). The curve shape suggests a more complex chemical equilibrium that involves more than one chemical process generating heat, taking place in the titration experiment. One process is likely a proton transfer from the secondary ammonium group of the axle to the tertiary amine in the crown ether wheel. An ITC titration with A1·PF6 gave a similar curve shape (see Figure S5b in Supporting Information File 1), though crown-7 ethers are too small to thread over the phenyl ring of A1·PF6 under the conditions of the experiment. The folded structure observed in the crystal structure hints towards a possible “side-on” complex, where the ammonium axle is not threading through the ring of the macrocycle, yet still forms hydrogen bonds to the crown ether [24,25] (see spectroelectrochemical measurements below). These results suggest that both ammonium axles form a similar type of equilibrium with NDIC7, where the protonation of the tertiary amine and the complexation in a nonthreaded complex might contribute.
When using BArF24− as the counterion for A1, the binding energies increase by 6–8 kJ/mol, which results in a 10–20-fold increase of the binding constants as observed for the weaker binding macrocycles TTFC8 and NDIC8 (Table 1, entries 13 and 14). A1·BArF24 even allows the formation of a pseudo[2]rotaxane with the bisTTFC8 macrocycle (Table 1, entry 15), to which A1·PF6 binds too weakly to determine the binding data by ITC. The observed decrease of the binding energy with more sulfur atoms in the crown ether ring from DBC8 over TTFC8 to bisTTFC8 is consistent with a systematic study on thiacrown ethers [54].
Surprisingly, the increased Gibbs free binding energy ΔG0 for A1·BArF24 compared to A1·PF6, is not caused by the binding enthalpy ΔH0 (entries 11–14 in Table 1), as one might have expected, assuming the ion pairing to compete with the pseudorotaxane formation. In contrast, the enthalpic contribution is 4–6 kJ/mol less negative with A1·PF6 than in A1·BArF24 complexes, but the formation of the A1·BArF24 pseudo[2]rotaxanes is less entropically disfavored, reflected by 11–12 kJ/mol less negative TΔS0 (Table 1, entries 13 and 14). To the best of our knowledge, the study of weakly coordinating anions in the formation of pseudorotaxane complexes has been limited to their impact on the binding constant, but enthalpic and entropic contributions have not yet been studied [50,51,55]. As PF6− is more strongly coordinating than BArF24−, a larger fraction of A1·PF6 ion pairs is present in nonpolar solvents such as DCE. Upon complexation, the ion pair of A1·PF6 must dissociate, releasing PF6− anions into the bulk solution where they are solvated by a number of solvent molecules. The charge-induced order of the solvent dipoles in the solvent shell is entropically unfavorable and more pronounced for PF6−. Consequently, the main reason for the observed effects is likely a change in the solvation entropy. However, to further elucidate the role of WCAs in crown/ammonium complexes, more detailed studies are certainly indicated.
Electrochemistry
The electrochemical properties of the TTF and NDI-bearing macrocycles and pseudorotaxanes are summarized in Table 2. To get some insight into the solvent dependence of the electrochemical data, the measurements were performed in 1:1 DCE/CH3CN (increased solubility of the axle salts, weaker pseudo[2]rotaxane binding) and in pure DCE (stronger pseudo[2]rotaxane binding). Generally, the oxidation potentials are shifted to higher values, and the reduction potentials are shifted to lower values in pure DCE due to decreased charge stabilization.
Table 2:
Electrochemical data obtained by differential pulse voltammetry (for voltammograms and experimental details see Supporting Information File 1, section 4).
entry
compound
solventa
E1/2red2 [V]b
E1/2red1 [V]b
E1/2ox1 [V]b
E1/2ox2 [V]b
reversible reductions
reversible oxidations
1
exTTFC7
DCE/CH3CN 1:1
/
/
0.66
0.95
2
exTTFC8c
/
/
0.66
0.93
3
TTFC7
/
/
0.59
0.83
4
TTFC8
/
/
0.59
0.83
5
bisTTFC8c
/
/
0.57
0.93
6
NDIC7
−0.96
−0.54
/
/
7
NDIC7 + A2·PF6d
−0.70
−0.46
/
/
8
NDIC8c
−0.95
−0.49
/
/
9
NDIC8c + A1·PF6d
−0.72
−0.49
/
/
10
NDIC8c + (CH3)2NH2PF6d
−0.78
−0.45
11
NDIC8Rot
−0.95
−0.50
12
exTTFC7
DCE
/
/
0.65
1.01
13
exTTFC7 + A2·PF6d
/
/
0.67
1.01
14
TTFC7
/
/
0.59
0.87
15
TTFC7 + A2·PF6d
/
/
0.63
0.87
16
bisTTFC8
/
/
0.56
0.95
17
NDIC8c
−0.97
−0.53
/
/
18
NDIC8Rot
−0.96
−0.51
/
/
aWith n-Bu4NPF6 (0.1 M) as the electrolyte. bHalf-wave potentials are given against the decamethylferrocene/decamethylferrocenium couple as the reference; error = ±0.01 V. cThe compound showed only moderate solubility in the corresponding solvent. dFive equivalents of the ammonium guest were added.
As expected, all TTF macrocycles display two reversible oxidation processes (E1/2ox1, TTF→TTF•+ and E1/2ox2, TTF•+→TTF2+). E1/2ox1 and E1/2ox2 of the free exTTFC8 and exTTFC7 crown ethers are anodically shifted compared to those of TTFC8 and TTFC7, in which the TTF units are directly incorporated into the crown ethers. This behavior is known also for the two redox-active TTF building blocks exTTF and tetramethylene-TTF, which are not part of a macrocycle [48].
The addition of the axles A1·PF6 or A2·PF6 to TTFC8 and TTFC7, respectively, in a DCE/CH3CN 1:1 solution has no significant effect on E1/2ox1 and E1/2ox2 (see Supporting Information File 1). However, an increase in the oxidation potential (ΔE1/2ox1 = +0.04 V) was observed for the A2·PF6@TTFC7 complex in pure DCE, which can be attributed to the increased strength of the hydrogen bonds in the neutral complex and Coulomb repulsion in the oxidized complex [35]. This effect is less pronounced for the complex A2·PF6@exTTFC7 because the TTF unit is more distant to the ammonium unit [37].
The macrocycle bisTTFC8, bearing two TTF units, shows a broadening of the signal for the first oxidation (Figure S9 in Supporting Information File 1), presumably due to intramolecular TTF–TTF interactions [35,36,56]. In comparison to the wheel TTFC8, the second oxidation of bisTTFC8 is anodically shifted by ΔE1/2ox2 = +0.10 V, indicating intramolecular Coulomb repulsion between the two TTF2+ units. The addition of A1·PF6 does not have any impact on the redox properties of bisTTFC8, as hardly any pseudo[2]rotaxane forms with this axle.
The NDI-decorated wheels NDIC8 and NDIC7 undergo two reversible reduction processes (E1/2red1, NDI→NDI•− and E1/2red2, NDI•−→NDI2−). Here, the addition of the corresponding ammonium axles A1·PF6 and A2−PF6 drastically shifts the reduction potentials in DCE/CH3CN 1:1 (NDIC7: +0.08 V and +0.26 V; NDIC8: 0 V and +0.23 V, for ΔE1/2red1 and ΔE1/2red2, respectively). We assume that the negatively charged reduced forms NDI•− and NDI2− form strong electrostatic interactions to ammonium ions and act as strong, competitive hydrogen-bond acceptors [57]. The high anodic shifts indicate strong attractive interactions between the wheels and axles, which compete with the coordination of the crown ether moiety. Thus, the secondary ammonium axles form presumably a non-threaded complex with the reduced NDI crown ethers, where the charged ions are in closer proximity than in the pseudo[2]rotaxane. This assumption was further confirmed by the addition of the hydrogen bond donor (CH3)2NH2PF6 to a solution of the wheel NDIC8, which again leads to strong anodic shifts in the voltammogram (ΔE1/2red1 = +0.04 V, ΔE1/2red2 = +0.17 V, Table 2, entry 10) and will be further elucidated below.
Synthesis and spectroelectrochemical characterization of [2]rotaxane with NDI crown ether
For TTFC8, we have recently shown, that rotaxane formation influences the optoelectronic properties of the TTF unit [35], yet for exTTFC8 the [2]rotaxane shows very similar properties as compared to the free macrocycle [37]. As NDIC8 and the A1·PF6@NDIC8 pseudo[2]rotaxane also reveal distinctly different electrochemical potentials, we investigated the impact of mechanical bonding on the optoelectronic properties of the NDI unit. The binding properties suggest that the combination of the A1·BArF24 axle and NDIC8 is optimal for the synthesis of an NDI-containing [2]rotaxane. We applied Takata’s catalyst-free stoppering approach [58] using the nitrile oxide St for the preparation of the [2]rotaxane NDIRot, which was obtained in 43% yield (Figure 3a).
Figure 3:
a) Synthesis of the [2]rotaxane NDIRot. b) Stacked 1H NMR spectra (700 MHz, CDCl3, 298 K) of NDIC8 (top), NDIRot (middle), and A1·BArF24 (bottom). The signal assignment was done by 2D NMR spectroscopy.
Figure 3:
a) Synthesis of the [2]rotaxane NDIRot. b) Stacked 1H NMR spectra (700 MHz, CDCl3, 298 K) of NDIC8 ...
The formation of the isoxazole can be recognized by the strong downfield shift of the proton Hj in the 1H NMR spectrum (Figure 3b, for 2D spectra and signal assignment, see Supporting Information File 1, section 5.1). Furthermore, a diastereotopic splitting of the crown ether methylene protons and downfield shifts of the axle methylene protons Hd and Hf clearly point at the rotaxane formation. Additionally, a strong upfield shift observed for the resonance of the phenylic proton Hh (Δδ = 0.5 ppm) is in line with rotaxane formation, even though it has not previously been observed for similar TTF-containing rotaxanes [35,40]. This finding indicates a different conformation of the macrocycles in the NDI and TTF [2]rotaxanes.
Even though the signals of the NDI protons H6 and H6’ do not shift significantly which would be expected for strong π–π-interactions, they split from one pseudo singlet into two doublets upon rotaxane formation, indicating a lower symmetry of the NDI unit. The resorcinol proton H4 exhibits a significant upfield shift (Δδ = −0.2 ppm), which can be rationalized by the position in the crown ether cavity close to the positively charged ammonium ion.
The collision-induced dissociation of mass-selected rotaxane ions occurs only at comparably high collision energy. Only axle fragments are observed while the intact axle is not seen among the fragments (Figures S15 and S16 in Supporting Information File 1). This clearly supports the mechanically interlocked structure for NDIRot in analogy to similar structures investigated by tandem mass spectrometry earlier [35,40].
Cyclic voltammograms of NDIRot show two reversible reductions E1/2red1 and E1/2red2 independent of the used solvent (pure DCE or DCE/CH3CN 1:1, Figure S11 and Table S2 in Supporting Information File 1). Additionally, the two reduction potentials are very similar to those of free NDIC8 and not the pseudo[2]rotaxane A1·PF6@NDIC8 (see Table 2, entries 8–11). This agrees well with the assumption that the reduction of the NDI leads to a complete rearrangement of the pseudo[2]rotaxane into a non-threaded complex as discussed above. As dethreading is impossible in NDIRot, the electrochemical data are significantly different from those of the non-threaded complexes formed from the pseudorotaxane and the (CH3)2NH2PF6 complex of NDIC8.
The optoelectronic properties of the rotaxane NDIRot were investigated by UV–vis–NIR spectroelectrochemistry in a CH2Cl2/CH3CN 1:1 mixture and compared to NDIC8 and NDIC7 (Figure 4 and Table S3 in Supporting Information File 1). In the neutral state, the rotaxane displays the typical absorption pattern of an N,N’-disubstituted NDI monomer between 300 and 380 nm (Figure 4a–c, black) [59]. A weak charge-transfer band at ≈450 nm is observed for the free macrocycle NDIC7 (Figure 4a, black), which is most likely caused by an intramolecularly folded naphthalene–NDI complex in solution, similar to the crystal structure. In contrast, no charge-transfer band is present, neither for NDIRot nor for NDIC8, ruling out the formation of similar charge-transfer complexes in NDIC8 or in the corresponding rotaxane.
After one-electron reduction (NDI → NDI•−), a complex absorption band pattern emerges in the visible region of all three spectra. These bands are indicative of the radical anion NDI•− (Figure 4a–c, red curves) [59]. The radical character of NDIC8 was additionally confirmed by spectroelectrochemical EPR measurements, which showed an isotropic signal with a g-value of 2.004 (Figure S17 in Supporting Information File 1).
Upon further reduction, a new absorption pattern emerges for NDIC7, in accordance to a second electrochemical reduction (NDI•− → NDI2−) (Figure 4a, blue curve). However, only small shifts and intensity changes are observed for NDIC8 and the rotaxane NDIRot when going to a more negative potential (−1.2 V), which can be explained by diffusion and comproportionation of the dianion, as it was observed earlier for other NDI2− species [59]. Applying more positive potentials gradually converts the spectra back to the initial forms, which confirms the reversibility of the reduction processes. Overall, the comparison of all absorption spectra clearly demonstrates that the rotaxane formation does not significantly influence the optoelectronic properties of the NDI unit. This can be explained by the position of the NDI moiety being rather remote from the binding site of the crown ether.
Figure 4:
UV–vis–NIR spectra obtained by spectroelectrochemical measurements (0.1 M n-Bu4PF6, CH2Cl2/CH3CN 1:1, 298 K) of a) NDIC7 (0.5 mM), b) NDIC8 (0.5 mM), and c) NDIRot (1 mM). Potentials are referenced against a silver wire pseudo-reference electrode.
Figure 4:
UV–vis–NIR spectra obtained by spectroelectrochemical measurements (0.1 M n-Bu4PF6, CH2Cl2/CH3CN 1:...
In conclusion, the comparison of the thermodynamic properties of a series of functionalized crown ethers showed a small effect of redox-active units remotely attached to the crown ether on the binding of secondary ammonium ions. However, if the redox-active unit is incorporated directly into the crown ether core, as in TTFC8 and TTFC7, the binding properties are altered significantly. The redox properties do not depend much on the crown ether core, irrespective of whether the redox-active unit is attached in a remote position or incorporated in the crown ether.
Our findings provide some guidelines for how the binding and redox-switching properties can be fine-tuned for the construction of a desired crown ether-based switchable MIM: while bisTTFC8 shows interesting redox properties but very low binding constants and exTTFC8 displays a high binding constant, yet no strong interaction of the ammonium-binding site and the redox unit, TTFC8 offers the best compromise of sufficiently high binding constants combined with sufficient Coulomb repulsion between the oxidized TTF and the ammonium ion to construct a molecular switch [35]. This trend can directly be translated to the smaller exTTFC7 and TTFC7, which exhibit very similar thermodynamic and redox properties as compared to the corresponding crown-8 derivatives.
The important role that weakly coordinating counterions play in the binding of crown ether/ammonium pseudorotaxanes needs to be emphasized: a significant binding enhancement is achieved when BArF24 anions are used compared to hexafluorophosphate. Surprisingly, this increased binding energy is not caused by a higher binding enthalpy, but can be attributed to a favorable change in the solvation entropy.
Two novel NDI-containing crown ethers have been successfully synthesized and characterized. Both compounds exhibit two reversible reduction processes. The lariat ether NDIC7 is not suitable for rotaxane synthesis as it forms a complex equilibrium involving the deprotonation of the secondary ammonium axle and does not form 1:1 pseudorotaxanes. Additionally, the pseudorotaxane is hampered by intramolecular folding which was observed in the solid-state structure and is likely also present in solution, as indicated by a charge-transfer band. Nevertheless, it might be applicable for redox-controlled metal-sensing [60-62].
On the contrary, NDIC8 forms pseudo[2]rotaxanes and facilitates the synthesis of a [2]rotaxane. Due to the remote position of the NDI unit and the rigid linker, rotaxane formation does not have a significant impact on the optoelectronic properties of the NDI moiety. The electrostatic interaction observed for NDI2− and ammonium ions observed in the pseudo[2]rotaxane A1·PF6@NDIC8, which even results in dethreading of the pseudorotaxane, may give rise to new switching modes in more complex molecular structures.
Overall, these findings demonstrate the benefit of detailed and systematic studies on the noncovalent interactions cohering the components of switchable MIMs for the construction of new architectures with emergent properties.
Supporting Information
Supporting Information File 1:
Experimental section, including synthetic procedures, copies of NMR spectra, ITC, electrochemical, mass spectrometric and spectroelectrochemical data.
We thank Sebastian Sobottka for help with spectroelectrochemical measurements and Maite Nößler for help with synthesis.
Funding
This research was funded by the Deutsche Forschungsgemeinschaft and the Academy of Finland (decision no. 314343).
References
Pedersen, C. J. J. Am. Chem. Soc.1967,89, 2495–2496. doi:10.1021/ja00986a052
Return to citation in text:
[1]
Pedersen, C. J. Angew. Chem., Int. Ed. Engl.1988,27, 1021–1027. doi:10.1002/anie.198810211
Return to citation in text:
[1]
[2]
Pedersen, C. J. J. Am. Chem. Soc.1967,89, 7017–7036. doi:10.1021/ja01002a035
Return to citation in text:
[1]
Cox, R. P.; Sandanayake, S.; Scarborough, D. L. A.; Izgorodina, E. I.; Langford, S. J.; Bell, T. D. M. New J. Chem.2019,43, 2011–2018. doi:10.1039/c8nj05666h
Return to citation in text:
[1]
Li, J.; Yim, D.; Jang, W.-D.; Yoon, J. Chem. Soc. Rev.2017,46, 2437–2458. doi:10.1039/c6cs00619a
Return to citation in text:
[1]
Pedersen, C. J.; Frensdorff, H. K. Angew. Chem., Int. Ed. Engl.1972,11, 16–25. doi:10.1002/anie.197200161
Return to citation in text:
[1]
Gokel, G. W.; Leevy, W. M.; Weber, M. E. Chem. Rev.2004,104, 2723–2750. doi:10.1021/cr020080k
Return to citation in text:
[1]
Landini, D.; Montanari, F.; Pirisi, F. M. J. Chem. Soc., Chem. Commun.1974, 879–880. doi:10.1039/c39740000879
Return to citation in text:
[1]
Gokel, G. W.; Durst, H. D. Synthesis1976, 168–184. doi:10.1055/s-1976-23980
Return to citation in text:
[1]
Stuart, A. M.; Vidal, J. A. J. Org. Chem.2007,72, 3735–3740. doi:10.1021/jo062606x
Return to citation in text:
[1]
Morrison, P. W. J.; Porfiryeva, N. N.; Chahal, S.; Salakhov, I. A.; Lacourt, C.; Semina, I. I.; Moustafine, R. I.; Khutoryanskiy, V. V. Mol. Pharmaceutics2017,14, 3528–3538. doi:10.1021/acs.molpharmaceut.7b00556
Return to citation in text:
[1]
Hansen, T. K.; Joergensen, T.; Stein, P. C.; Becher, J. J. Org. Chem.1992,57, 6403–6409. doi:10.1021/jo00050a010
Return to citation in text:
[1]
Le Derf, F.; Mazari, M.; Mercier, N.; Levillain, E.; Trippé, G.; Riou, A.; Richomme, P.; Becher, J.; Garín, J.; Orduna, J.; Gallego-Planas, N.; Gorgues, A.; Sallé, M. Chem. – Eur. J.2001,7, 447–455. doi:10.1002/1521-3765(20010119)7:2<447::aid-chem447>3.0.co;2-a
Return to citation in text:
[1]
Trippé, G.; Levillain, E.; Le Derf, F.; Gorgues, A.; Sallé, M.; Jeppesen, J. O.; Nielsen, K.; Becher, J. Org. Lett.2002,4, 2461–2464. doi:10.1021/ol0260829
Return to citation in text:
[1]
Jana, A.; Bähring, S.; Ishida, M.; Goeb, S.; Canevet, D.; Sallé, M.; Jeppesen, J. O.; Sessler, J. L. Chem. Soc. Rev.2018,47, 5614–5645. doi:10.1039/c8cs00035b
Return to citation in text:
[1]
[2]
Ashton, P. R.; Campbell, P. J.; Glink, P. T.; Philp, D.; Spencer, N.; Stoddart, J. F.; Chrystal, E. J. T.; Menzer, S.; Williams, D. J.; Tasker, P. A. Angew. Chem., Int. Ed. Engl.1995,34, 1865–1869. doi:10.1002/anie.199518651
Return to citation in text:
[1]
[2]
Kolchinski, A. G.; Busch, D. H.; Alcock, N. W. J. Chem. Soc., Chem. Commun.1995, 1289–1291. doi:10.1039/c39950001289
Return to citation in text:
[1]
[2]
Bruns, C. J.; Stoddart, J. F. The Nature of the Mechanical Bond: From Molecules to Machines; John Wiley & Sons, Inc.: Hoboken, NJ, USA, 2017. doi:10.1002/9781119044123
Return to citation in text:
[1]
[2]
[3]
[4]
[5]
[6]
Ashton, P. R.; Chrystal, E. J. T.; Glink, P. T.; Menzer, S.; Schiavo, C.; Spencer, N.; Stoddart, J. F.; Tasker, P. A.; White, A. J. P.; Williams, D. J. Chem. – Eur. J.1996,2, 709–728. doi:10.1002/chem.19960020616
Return to citation in text:
[1]
[2]
[3]
Zhang, M.; Yan, X.; Huang, F.; Niu, Z.; Gibson, H. W. Acc. Chem. Res.2014,47, 1995–2005. doi:10.1021/ar500046r
Return to citation in text:
[1]
Clifford, T.; Abushamleh, A.; Busch, D. H. Proc. Natl. Acad. Sci. U. S. A.2002,99, 4830–4836. doi:10.1073/pnas.062639799
Return to citation in text:
[1]
Balzani, V.; Gómez-López, M.; Stoddart, J. F. Acc. Chem. Res.1998,31, 405–414. doi:10.1021/ar970340y
Return to citation in text:
[1]
Ragazzon, G.; Baroncini, M.; Silvi, S.; Venturi, M.; Credi, A. Nat. Nanotechnol.2015,10, 70–75. doi:10.1038/nnano.2014.260
Return to citation in text:
[1]
Erbas-Cakmak, S.; Fielden, S. D. P.; Karaca, U.; Leigh, D. A.; McTernan, C. T.; Tetlow, D. J.; Wilson, M. R. Science2017,358, 340–343. doi:10.1126/science.aao1377
Return to citation in text:
[1]
Blanco, V.; Leigh, D. A.; Marcos, V.; Morales-Serna, J. A.; Nussbaumer, A. L. J. Am. Chem. Soc.2014,136, 4905–4908. doi:10.1021/ja501561c
Return to citation in text:
[1]
Schröder, H. V.; Schalley, C. A. Chem. Sci.2019,10, 9626–9639. doi:10.1039/c9sc04118d
Return to citation in text:
[1]
Baroncini, M.; Silvi, S.; Credi, A. Chem. Rev.2020,120, 200–268. doi:10.1021/acs.chemrev.9b00291
Return to citation in text:
[1]
Ashton, P. R.; Becher, J.; Fyfe, M. C. T.; Nielsen, M. B.; Stoddart, J. F.; White, A. J. P.; Williams, D. J. Tetrahedron2001,57, 947–956. doi:10.1016/s0040-4020(00)01062-0
Return to citation in text:
[1]
[2]
Schröder, H. V.; Sobottka, S.; Nößler, M.; Hupatz, H.; Gaedke, M.; Sarkar, B.; Schalley, C. A. Chem. Sci.2017,8, 6300–6306. doi:10.1039/c7sc02694c
Return to citation in text:
[1]
[2]
[3]
[4]
[5]
[6]
[7]
[8]
[9]
[10]
[11]
[12]
Schröder, H. V.; Stein, F.; Wollschläger, J. M.; Sobottka, S.; Gaedke, M.; Sarkar, B.; Schalley, C. A. Angew. Chem., Int. Ed.2019,58, 3496–3500. doi:10.1002/anie.201813265
Return to citation in text:
[1]
[2]
[3]
[4]
[5]
Schröder, H. V.; Mekic, A.; Hupatz, H.; Sobottka, S.; Witte, F.; Urner, L. H.; Gaedke, M.; Pagel, K.; Sarkar, B.; Paulus, B.; Schalley, C. A. Nanoscale2018,10, 21425–21433. doi:10.1039/c8nr05534c
Return to citation in text:
[1]
[2]
[3]
[4]
[5]
Schröder, H. V.; Wollschläger, J. M.; Schalley, C. A. Chem. Commun.2017,53, 9218–9221. doi:10.1039/c7cc05259f
Return to citation in text:
[1]
[2]
Schröder, H. V.; Hupatz, H.; Achazi, A. J.; Sobottka, S.; Sarkar, B.; Paulus, B.; Schalley, C. A. Chem. – Eur. J.2017,23, 2960–2967. doi:10.1002/chem.201605710
Return to citation in text:
[1]
Gaedke, M.; Witte, F.; Anhäuser, J.; Hupatz, H.; Schröder, H. V.; Valkonen, A.; Rissanen, K.; Lützen, A.; Paulus, B.; Schalley, C. A. Chem. Sci.2019,10, 10003–10009. doi:10.1039/c9sc03694f
Return to citation in text:
[1]
[2]
[3]
[4]
[5]
Akutagawa, T.; Abe, Y.; Nezu, Y.-i.; Nakamura, T.; Kataoka, M.; Yamanaka, A.; Inoue, K.; Inabe, T.; Christensen, C. A.; Becher, J. Inorg. Chem.1998,37, 2330–2331. doi:10.1021/ic971623p
Return to citation in text:
[1]
Diac, A.; Matache, M.; Grosu, I.; Hădade, N. D. Adv. Synth. Catal.2018,360, 817–845. doi:10.1002/adsc.201701362
Return to citation in text:
[1]
Hansen, J. G.; Feeder, N.; Hamilton, D. G.; Gunter, M. J.; Becher, J.; Sanders, J. K. M. Org. Lett.2000,2, 449–452. doi:10.1021/ol991289w
Return to citation in text:
[1]
Zhang, C.; Li, S.; Zhang, J.; Zhu, K.; Li, N.; Huang, F. Org. Lett.2007,9, 5553–5556. doi:10.1021/ol702510c
Return to citation in text:
[1]
Jiang, W.; Schalley, C. A. Beilstein J. Org. Chem.2010,6, No. 14. doi:10.3762/bjoc.6.14
Return to citation in text:
[1]
Mandal, A. K.; Suresh, M.; Das, A. Org. Biomol. Chem.2011,9, 4811–4817. doi:10.1039/c0ob01106a
Return to citation in text:
[1]
Schröder, H. V.; Witte, F.; Gaedke, M.; Sobottka, S.; Suntrup, L.; Hupatz, H.; Valkonen, A.; Paulus, B.; Rissanen, K.; Sarkar, B.; Schalley, C. A. Org. Biomol. Chem.2018,16, 2741–2747. doi:10.1039/c8ob00415c
Return to citation in text:
[1]
[2]
Blackburn, A. K.; Sue, A. C.-H.; Shveyd, A. K.; Cao, D.; Tayi, A.; Narayanan, A.; Rolczynski, B. S.; Szarko, J. M.; Bozdemir, O. A.; Wakabayashi, R.; Lehrman, J. A.; Kahr, B.; Chen, L. X.; Nassar, M. S.; Stupp, S. I.; Stoddart, J. F. J. Am. Chem. Soc.2014,136, 17224–17235. doi:10.1021/ja509442t
Return to citation in text:
[1]
Gibson, H. W.; Jones, J. W.; Zakharov, L. N.; Rheingold, A. L.; Slebodnick, C. Chem. – Eur. J.2011,17, 3192–3206. doi:10.1002/chem.201002522
Return to citation in text:
[1]
[2]
Jones, J. W.; Gibson, H. W. J. Am. Chem. Soc.2003,125, 7001–7004. doi:10.1021/ja034442x
Return to citation in text:
[1]
[2]
Wiseman, T.; Williston, S.; Brandts, J. F.; Lin, L.-N. Anal. Biochem.1989,179, 131–137. doi:10.1016/0003-2697(89)90213-3
Return to citation in text:
[1]
Turnbull, W. B.; Daranas, A. H. J. Am. Chem. Soc.2003,125, 14859–14866. doi:10.1021/ja036166s
Return to citation in text:
[1]
Nagai, H.; Suzaki, Y.; Osakada, K. Eur. J. Inorg. Chem.2014, 4376–4384. doi:10.1002/ejic.201402465
Return to citation in text:
[1]
[2]
Suzaki, Y.; Nagai, H.; Osakada, K. Chem. Lett.2014,43, 714–716. doi:10.1246/cl.131213
Return to citation in text:
[1]
Rosokha, S. V.; Kochi, J. K. J. Am. Chem. Soc.2007,129, 828–838. doi:10.1021/ja064166x
Return to citation in text:
[1]
Altieri, A.; Gatti, F. G.; Kay, E. R.; Leigh, D. A.; Martel, D.; Paolucci, F.; Slawin, A. M. Z.; Wong, J. K. Y. J. Am. Chem. Soc.2003,125, 8644–8654. doi:10.1021/ja0352552
Return to citation in text:
[1]
Matsumura, T.; Ishiwari, F.; Koyama, Y.; Takata, T. Org. Lett.2010,12, 3828–3831. doi:10.1021/ol101543x
Return to citation in text:
[1]
Andric, G.; Boas, J. F.; Bond, A. M.; Fallon, G. D.; Ghiggino, K. P.; Hogan, C. F.; Hutchison, J. A.; Lee, M. A.-P.; Langford, S. J.; Pilbrow, J. R.; Troup, G. J.; Woodward, C. P. Aust. J. Chem.2004,57, 1011–1019. doi:10.1071/ch04130
Return to citation in text:
[1]
[2]
[3]
Hangarge, R. V.; La, D. D.; Boguslavsky, M.; Jones, L. A.; Kim, Y. S.; Bhosale, S. V. ChemistrySelect2017,2, 11487–11491. doi:10.1002/slct.201702085
Return to citation in text:
[1]
Lin, H.; Cinar, M. E.; Schmittel, M. Dalton Trans.2010,39, 5130–5138. doi:10.1039/c000449a
Return to citation in text:
[1]
Pond, S. J. K.; Tsutsumi, O.; Rumi, M.; Kwon, O.; Zojer, E.; Brédas, J.-L.; Marder, S. R.; Perry, J. W. J. Am. Chem. Soc.2004,126, 9291–9306. doi:10.1021/ja049013t
Return to citation in text:
[1]
Reference 42
42.
Diac, A.; Matache, M.; Grosu, I.; Hădade, N. D. Adv. Synth. Catal.2018,360, 817–845. doi:10.1002/adsc.201701362
Bruns, C. J.; Stoddart, J. F. The Nature of the Mechanical Bond: From Molecules to Machines; John Wiley & Sons, Inc.: Hoboken, NJ, USA, 2017. doi:10.1002/9781119044123
50.
Gibson, H. W.; Jones, J. W.; Zakharov, L. N.; Rheingold, A. L.; Slebodnick, C. Chem. – Eur. J.2011,17, 3192–3206. doi:10.1002/chem.201002522
51.
Jones, J. W.; Gibson, H. W. J. Am. Chem. Soc.2003,125, 7001–7004. doi:10.1021/ja034442x
Blackburn, A. K.; Sue, A. C.-H.; Shveyd, A. K.; Cao, D.; Tayi, A.; Narayanan, A.; Rolczynski, B. S.; Szarko, J. M.; Bozdemir, O. A.; Wakabayashi, R.; Lehrman, J. A.; Kahr, B.; Chen, L. X.; Nassar, M. S.; Stupp, S. I.; Stoddart, J. F. J. Am. Chem. Soc.2014,136, 17224–17235. doi:10.1021/ja509442t
Schröder, H. V.; Sobottka, S.; Nößler, M.; Hupatz, H.; Gaedke, M.; Sarkar, B.; Schalley, C. A. Chem. Sci.2017,8, 6300–6306. doi:10.1039/c7sc02694c
37.
Schröder, H. V.; Mekic, A.; Hupatz, H.; Sobottka, S.; Witte, F.; Urner, L. H.; Gaedke, M.; Pagel, K.; Sarkar, B.; Paulus, B.; Schalley, C. A. Nanoscale2018,10, 21425–21433. doi:10.1039/c8nr05534c
Ashton, P. R.; Becher, J.; Fyfe, M. C. T.; Nielsen, M. B.; Stoddart, J. F.; White, A. J. P.; Williams, D. J. Tetrahedron2001,57, 947–956. doi:10.1016/s0040-4020(00)01062-0
Schröder, H. V.; Sobottka, S.; Nößler, M.; Hupatz, H.; Gaedke, M.; Sarkar, B.; Schalley, C. A. Chem. Sci.2017,8, 6300–6306. doi:10.1039/c7sc02694c
36.
Schröder, H. V.; Stein, F.; Wollschläger, J. M.; Sobottka, S.; Gaedke, M.; Sarkar, B.; Schalley, C. A. Angew. Chem., Int. Ed.2019,58, 3496–3500. doi:10.1002/anie.201813265
56.
Rosokha, S. V.; Kochi, J. K. J. Am. Chem. Soc.2007,129, 828–838. doi:10.1021/ja064166x
Altieri, A.; Gatti, F. G.; Kay, E. R.; Leigh, D. A.; Martel, D.; Paolucci, F.; Slawin, A. M. Z.; Wong, J. K. Y. J. Am. Chem. Soc.2003,125, 8644–8654. doi:10.1021/ja0352552
Schröder, H. V.; Mekic, A.; Hupatz, H.; Sobottka, S.; Witte, F.; Urner, L. H.; Gaedke, M.; Pagel, K.; Sarkar, B.; Paulus, B.; Schalley, C. A. Nanoscale2018,10, 21425–21433. doi:10.1039/c8nr05534c
Bruns, C. J.; Stoddart, J. F. The Nature of the Mechanical Bond: From Molecules to Machines; John Wiley & Sons, Inc.: Hoboken, NJ, USA, 2017. doi:10.1002/9781119044123
25.
Ashton, P. R.; Chrystal, E. J. T.; Glink, P. T.; Menzer, S.; Schiavo, C.; Spencer, N.; Stoddart, J. F.; Tasker, P. A.; White, A. J. P.; Williams, D. J. Chem. – Eur. J.1996,2, 709–728. doi:10.1002/chem.19960020616
Schröder, H. V.; Mekic, A.; Hupatz, H.; Sobottka, S.; Witte, F.; Urner, L. H.; Gaedke, M.; Pagel, K.; Sarkar, B.; Paulus, B.; Schalley, C. A. Nanoscale2018,10, 21425–21433. doi:10.1039/c8nr05534c
Morrison, P. W. J.; Porfiryeva, N. N.; Chahal, S.; Salakhov, I. A.; Lacourt, C.; Semina, I. I.; Moustafine, R. I.; Khutoryanskiy, V. V. Mol. Pharmaceutics2017,14, 3528–3538. doi:10.1021/acs.molpharmaceut.7b00556
Hangarge, R. V.; La, D. D.; Boguslavsky, M.; Jones, L. A.; Kim, Y. S.; Bhosale, S. V. ChemistrySelect2017,2, 11487–11491. doi:10.1002/slct.201702085
61.
Lin, H.; Cinar, M. E.; Schmittel, M. Dalton Trans.2010,39, 5130–5138. doi:10.1039/c000449a
62.
Pond, S. J. K.; Tsutsumi, O.; Rumi, M.; Kwon, O.; Zojer, E.; Brédas, J.-L.; Marder, S. R.; Perry, J. W. J. Am. Chem. Soc.2004,126, 9291–9306. doi:10.1021/ja049013t
Erbas-Cakmak, S.; Fielden, S. D. P.; Karaca, U.; Leigh, D. A.; McTernan, C. T.; Tetlow, D. J.; Wilson, M. R. Science2017,358, 340–343. doi:10.1126/science.aao1377
Cox, R. P.; Sandanayake, S.; Scarborough, D. L. A.; Izgorodina, E. I.; Langford, S. J.; Bell, T. D. M. New J. Chem.2019,43, 2011–2018. doi:10.1039/c8nj05666h
Bruns, C. J.; Stoddart, J. F. The Nature of the Mechanical Bond: From Molecules to Machines; John Wiley & Sons, Inc.: Hoboken, NJ, USA, 2017. doi:10.1002/9781119044123
26.
Zhang, M.; Yan, X.; Huang, F.; Niu, Z.; Gibson, H. W. Acc. Chem. Res.2014,47, 1995–2005. doi:10.1021/ar500046r
27.
Clifford, T.; Abushamleh, A.; Busch, D. H. Proc. Natl. Acad. Sci. U. S. A.2002,99, 4830–4836. doi:10.1073/pnas.062639799
Andric, G.; Boas, J. F.; Bond, A. M.; Fallon, G. D.; Ghiggino, K. P.; Hogan, C. F.; Hutchison, J. A.; Lee, M. A.-P.; Langford, S. J.; Pilbrow, J. R.; Troup, G. J.; Woodward, C. P. Aust. J. Chem.2004,57, 1011–1019. doi:10.1071/ch04130
Bruns, C. J.; Stoddart, J. F. The Nature of the Mechanical Bond: From Molecules to Machines; John Wiley & Sons, Inc.: Hoboken, NJ, USA, 2017. doi:10.1002/9781119044123
28.
Balzani, V.; Gómez-López, M.; Stoddart, J. F. Acc. Chem. Res.1998,31, 405–414. doi:10.1021/ar970340y
Ashton, P. R.; Campbell, P. J.; Glink, P. T.; Philp, D.; Spencer, N.; Stoddart, J. F.; Chrystal, E. J. T.; Menzer, S.; Williams, D. J.; Tasker, P. A. Angew. Chem., Int. Ed. Engl.1995,34, 1865–1869. doi:10.1002/anie.199518651
23.
Kolchinski, A. G.; Busch, D. H.; Alcock, N. W. J. Chem. Soc., Chem. Commun.1995, 1289–1291. doi:10.1039/c39950001289
Andric, G.; Boas, J. F.; Bond, A. M.; Fallon, G. D.; Ghiggino, K. P.; Hogan, C. F.; Hutchison, J. A.; Lee, M. A.-P.; Langford, S. J.; Pilbrow, J. R.; Troup, G. J.; Woodward, C. P. Aust. J. Chem.2004,57, 1011–1019. doi:10.1071/ch04130
Ashton, P. R.; Campbell, P. J.; Glink, P. T.; Philp, D.; Spencer, N.; Stoddart, J. F.; Chrystal, E. J. T.; Menzer, S.; Williams, D. J.; Tasker, P. A. Angew. Chem., Int. Ed. Engl.1995,34, 1865–1869. doi:10.1002/anie.199518651
23.
Kolchinski, A. G.; Busch, D. H.; Alcock, N. W. J. Chem. Soc., Chem. Commun.1995, 1289–1291. doi:10.1039/c39950001289
24.
Bruns, C. J.; Stoddart, J. F. The Nature of the Mechanical Bond: From Molecules to Machines; John Wiley & Sons, Inc.: Hoboken, NJ, USA, 2017. doi:10.1002/9781119044123
25.
Ashton, P. R.; Chrystal, E. J. T.; Glink, P. T.; Menzer, S.; Schiavo, C.; Spencer, N.; Stoddart, J. F.; Tasker, P. A.; White, A. J. P.; Williams, D. J. Chem. – Eur. J.1996,2, 709–728. doi:10.1002/chem.19960020616
Andric, G.; Boas, J. F.; Bond, A. M.; Fallon, G. D.; Ghiggino, K. P.; Hogan, C. F.; Hutchison, J. A.; Lee, M. A.-P.; Langford, S. J.; Pilbrow, J. R.; Troup, G. J.; Woodward, C. P. Aust. J. Chem.2004,57, 1011–1019. doi:10.1071/ch04130
Trippé, G.; Levillain, E.; Le Derf, F.; Gorgues, A.; Sallé, M.; Jeppesen, J. O.; Nielsen, K.; Becher, J. Org. Lett.2002,4, 2461–2464. doi:10.1021/ol0260829
21.
Jana, A.; Bähring, S.; Ishida, M.; Goeb, S.; Canevet, D.; Sallé, M.; Jeppesen, J. O.; Sessler, J. L. Chem. Soc. Rev.2018,47, 5614–5645. doi:10.1039/c8cs00035b
Jana, A.; Bähring, S.; Ishida, M.; Goeb, S.; Canevet, D.; Sallé, M.; Jeppesen, J. O.; Sessler, J. L. Chem. Soc. Rev.2018,47, 5614–5645. doi:10.1039/c8cs00035b
34.
Ashton, P. R.; Becher, J.; Fyfe, M. C. T.; Nielsen, M. B.; Stoddart, J. F.; White, A. J. P.; Williams, D. J. Tetrahedron2001,57, 947–956. doi:10.1016/s0040-4020(00)01062-0
Schröder, H. V.; Sobottka, S.; Nößler, M.; Hupatz, H.; Gaedke, M.; Sarkar, B.; Schalley, C. A. Chem. Sci.2017,8, 6300–6306. doi:10.1039/c7sc02694c
36.
Schröder, H. V.; Stein, F.; Wollschläger, J. M.; Sobottka, S.; Gaedke, M.; Sarkar, B.; Schalley, C. A. Angew. Chem., Int. Ed.2019,58, 3496–3500. doi:10.1002/anie.201813265
38.
Schröder, H. V.; Wollschläger, J. M.; Schalley, C. A. Chem. Commun.2017,53, 9218–9221. doi:10.1039/c7cc05259f
Schröder, H. V.; Sobottka, S.; Nößler, M.; Hupatz, H.; Gaedke, M.; Sarkar, B.; Schalley, C. A. Chem. Sci.2017,8, 6300–6306. doi:10.1039/c7sc02694c
36.
Schröder, H. V.; Stein, F.; Wollschläger, J. M.; Sobottka, S.; Gaedke, M.; Sarkar, B.; Schalley, C. A. Angew. Chem., Int. Ed.2019,58, 3496–3500. doi:10.1002/anie.201813265
39.
Schröder, H. V.; Hupatz, H.; Achazi, A. J.; Sobottka, S.; Sarkar, B.; Paulus, B.; Schalley, C. A. Chem. – Eur. J.2017,23, 2960–2967. doi:10.1002/chem.201605710
40.
Gaedke, M.; Witte, F.; Anhäuser, J.; Hupatz, H.; Schröder, H. V.; Valkonen, A.; Rissanen, K.; Lützen, A.; Paulus, B.; Schalley, C. A. Chem. Sci.2019,10, 10003–10009. doi:10.1039/c9sc03694f
Schröder, H. V.; Sobottka, S.; Nößler, M.; Hupatz, H.; Gaedke, M.; Sarkar, B.; Schalley, C. A. Chem. Sci.2017,8, 6300–6306. doi:10.1039/c7sc02694c
37.
Schröder, H. V.; Mekic, A.; Hupatz, H.; Sobottka, S.; Witte, F.; Urner, L. H.; Gaedke, M.; Pagel, K.; Sarkar, B.; Paulus, B.; Schalley, C. A. Nanoscale2018,10, 21425–21433. doi:10.1039/c8nr05534c
Schröder, H. V.; Mekic, A.; Hupatz, H.; Sobottka, S.; Witte, F.; Urner, L. H.; Gaedke, M.; Pagel, K.; Sarkar, B.; Paulus, B.; Schalley, C. A. Nanoscale2018,10, 21425–21433. doi:10.1039/c8nr05534c
Schröder, H. V.; Sobottka, S.; Nößler, M.; Hupatz, H.; Gaedke, M.; Sarkar, B.; Schalley, C. A. Chem. Sci.2017,8, 6300–6306. doi:10.1039/c7sc02694c
36.
Schröder, H. V.; Stein, F.; Wollschläger, J. M.; Sobottka, S.; Gaedke, M.; Sarkar, B.; Schalley, C. A. Angew. Chem., Int. Ed.2019,58, 3496–3500. doi:10.1002/anie.201813265
38.
Schröder, H. V.; Wollschläger, J. M.; Schalley, C. A. Chem. Commun.2017,53, 9218–9221. doi:10.1039/c7cc05259f
Bruns, C. J.; Stoddart, J. F. The Nature of the Mechanical Bond: From Molecules to Machines; John Wiley & Sons, Inc.: Hoboken, NJ, USA, 2017. doi:10.1002/9781119044123
25.
Ashton, P. R.; Chrystal, E. J. T.; Glink, P. T.; Menzer, S.; Schiavo, C.; Spencer, N.; Stoddart, J. F.; Tasker, P. A.; White, A. J. P.; Williams, D. J. Chem. – Eur. J.1996,2, 709–728. doi:10.1002/chem.19960020616
Schröder, H. V.; Sobottka, S.; Nößler, M.; Hupatz, H.; Gaedke, M.; Sarkar, B.; Schalley, C. A. Chem. Sci.2017,8, 6300–6306. doi:10.1039/c7sc02694c
36.
Schröder, H. V.; Stein, F.; Wollschläger, J. M.; Sobottka, S.; Gaedke, M.; Sarkar, B.; Schalley, C. A. Angew. Chem., Int. Ed.2019,58, 3496–3500. doi:10.1002/anie.201813265