Abstract
A highly regio-, chemo- and stereoselective divergent synthesis of isoindolo- and pyrrolo-fused polycyclic indoles is herein described, starting from 2-formylpyrrole and employing Diels–Alder and Heck arylation reactions. 3-(N-Benzyl-2-pyrrolyl)acrylates and 4-(pyrrol-2-yl)butenones underwent a highly endo-Diels–Alder cycloaddition with maleimides to furnish octahydropyrrolo[3,4-e]indoles, which served as precursors in the regioselective synthesis of aza-polycyclic skeletons via an intramolecular Heck arylation reaction. Through the latter reaction, the 3-(N-benzyl-2-pyrrolyl)acrylates give rise to 3-(pyrrolo[2,1-a]isoindol-3-yl)acrylates. A further oxidative aromatization of the polycyclic intermediates provides the corresponding polycyclic pyrrolo-isoindoles and isoindolo-pyrrolo-indoles. A theoretical study on the stereoselective Diels–Alder reactions, carried out by calculating the endo/exo transition states, revealed the assistance of non-covalent interactions in governing the endo stereocontrol.
Graphical Abstract
Introduction
Pyrrolizines [1,2] and pyrrolizidines [3,4], abundant in nature [4,5], are among the simplest pyrrole-fused heterocyclic aza-bridged compounds. The numerous series of pyrrolizine-containing polycycles include pyrrolo[2,1-a]isoindoles [6], pyrrolo[1,2-a]indoles [7-10] and isoindolo[2,1-a]indoles [11] (Figure 1). These three series constitute the core of natural occurring alkaloids that are known to have varied and robust pharmacological activity, such as isoborreverine (1) [12], mitomycin A (2) [13] and chlorizidine A (3) [14]. The indole moiety is incorporated into their structure, which is important because it is a seminal heterocycle that exhibits a wide range of biological activity [15,16] and great diversity as building block [17,18].
Figure 1: Fused aza-hetero polycyclic frames and natural pyrrolizine- and isoindole-containing alkaloids.
Figure 1: Fused aza-hetero polycyclic frames and natural pyrrolizine- and isoindole-containing alkaloids.
Among the tetracyclic scaffolds, isoindolo[2,1-a]indoles have attracted a particular interest from the synthetic point of view, either as the target or the motif for designing novel annulation methodologies [19-21]. Indeed, isoindole-based heterocycles represent a varied and ubiquitous scaffold found in a large number of natural and synthetic bioactive compounds [22-25], such as isoindolocarbazoles (e.g., arcyriaflavins A–C (4a–c)) [26,27].
The challenge of the synthesis of this series of aza-heterocycles is associated with the complexity of its structures [11,19-27]. The intramolecular Heck arylation coupling reaction is among the most useful strategies for the construction of these compounds (Scheme 1) [11,21]. For example, isoindolo[2,1-a]indoles 6 have been prepared by the annulation process through a Pd- or Ni-catalyzed coupling starting from the N-functionalized indoles 5 [11,19,21,28-30]. On the other hand, the formation of pyrrolo[3,4-e]indoles 9/10 can be achieved via a Diels–Alder cyloaddition of 2-vinylpyrroles 8 with maleimides 7 [31-35]. This is a representative example of the less common approach for the construction of the indole skeleton on substituted pyrroles by generating the benzene ring via an annulation process [36-39].
Scheme 1: Synthetic approaches for the preparation of pyrrolo-fused aza-hetero polycyclic frames.
Scheme 1: Synthetic approaches for the preparation of pyrrolo-fused aza-hetero polycyclic frames.
Due to our interest in transforming simple five-membered heterocycles into natural products [40,41] and complex aza-polycyclic structures [42], we herein combined both approaches shown in Scheme 1 to design the construction of pentacycles 11, after carrying out an uncommon but highly diastereoselective Diels–Alder cycloaddition followed by a coupling reaction. This route also allowed out the aromatization of the B ring to provide compounds 12. To account for the strong endo preference of adducts 9, a computational study was performed to analyze the stationary points on the potential surfaces of the Diels–Alder reactions.
Results and Discussion
Synthesis
Pyrroles 8a–j were prepared through a straightforward and efficient route based on the functionalization of 2-formylpyrrole (13a), using recently described methodologies [41]. Firstly, 13a was reacted with the series of benzyl bromides 14a–d to produce adequately N-substituted five-membered aza-units 13b–e, respectively (Scheme 2), which were treated with the phosphonates 15a–c to afford derivatives 8a–f in high yields (Table 1, entries 1–6). For the synthesis of pyrroles 8g,h (R1 = Ac), pyrroles 13c and 13e were subjected to condensation reactions at a higher temperature, with acetone as the nucleophile (instead the phosphonate 15) in the presence of KOH as the base (Table 1, entries 7 and 8). The second methodology consisted of an inverted sequence of reactions in relation to the previous approach, starting from the treatment of 13a with 15a,b to give 3-(pyrrol-2-yl)acrylates 16a–b (Scheme 2). The latter compounds were alkylated with allyl bromide (14e) and propargyl bromide (14f) to generate pyrroles 8i,j, respectively, in high yields.
Scheme 2: Preparation of 1,2-substituted pyrroles 8a–f and 8i,j.
Scheme 2: Preparation of 1,2-substituted pyrroles 8a–f and 8i,j.
Table 1: Preparation of 1,2-substituted pyrroles 8a–h.a
| entry | 13 | 15 | T (°C) | t (h) | R1 | Ar | 8 (%)b |
|---|---|---|---|---|---|---|---|
| 1 | 13b | 15b | 25 | 12 | CO2Et | Ph | 8a (98) |
| 2 | 13b | 15c | 25 | 12 | CN | Ph | 8b (99)c |
| 3 | 13c | 15a | 25 | 12 | CO2Me | C6H4-2-Br | 8c (99) |
| 4 | 13c | 15b | 25 | 12 | CO2Et | C6H4-2-Br | 8d (93) |
| 5 | 13d | 15b | 25 | 12 | CO2Et | C6H4-3-OMe | 8e (90) |
| 6 | 13e | 15a | 25 | 12 | CO2Me | C6H2-2-Br-4,5-(OMe)2 | 8f (98) |
| 7 | 13c | d | 100 | 4 | COMe | C6H4-2-Br | 8g (81) |
| 8 | 13e | d | 100 | 4 | COMe | C6H2-2-Br-4,5-(OMe)2 | 8h (72) |
aReagents and conditions: 13 (1.0 mol equiv), 15 (1.2 mol equiv) and NaH (1.5 mol equiv). bAfter purification by column chromatography. cAs an E/Z (95:5) mixture. dThe reaction was carried out with acetone (1.3 mol equiv) and KOH (1.5 mol equiv) in MeOH.
The synthesis of octahydropyrrolo[3,4-e]indoles 9/10 was achieved through a Diels–Alder reaction between the 2-vinylpyrroles 8a–j and 16a,b and maleimides 7a–c under thermal conditions (Scheme 3). N-Unsubstituted 2-vinylpyrroles 16a,b were chosen as the dienes to evaluate the reactivity with diverse dienophiles. The reaction of acrolein, methyl acrylate, maleic anhydride and maleimide (R3 = H, 7a) in xylene by heating up to 150 °C failed to provide the corresponding adducts. It was possible to recover the starting materials, which were accompanied by a decomposition residue. In contrast, maleimides 7b and 7c reacted efficiently to furnish the respective endo/exo adducts 9a–d/10a–d in good to high endo diastereoselectivity and yields (Table 2, entries 1–4). The cycloaddition with 7c led to the best selectivity (vide infra).
Scheme 3: Diels–Alder cycloadditions of pyrroles 8a–j and 16a–b with maleimides 7b–c.
Scheme 3: Diels–Alder cycloadditions of pyrroles 8a–j and 16a–b with maleimides 7b–c.
Table 2: Diels–Alder reactions of 2-vinylpyrroles 8a–j and 16a,b with maleimides 7b,c.a
| entry | diene | 7 | R1 | R2 | R3 | 9/10 (ratio)b (%)c |
|---|---|---|---|---|---|---|
| 1 | 16a | 7b | H | CO2Me | Me | 9a/10a (70:30) (72) |
| 2 | 16b | 7b | H | CO2Et | Me | 9b/10b (75:25) (74) |
| 3 | 16a | 7c | H | CO2Me | Ph | 9c/10c (94:6) (73) |
| 4 | 16b | 7c | H | CO2Et | Ph | 9d/10d (97:3) (71)d |
| 5 | 8a | 7c | Bn | CO2Et | Ph | 9e/10e (95:5) (95) |
| 6 | 8b | 7c | Bn | CN | Ph | 9f/10f (76:24) (94) |
| 7 | 8c | 7b | CH2C6H4-2-Br | CO2Me | Me | 9g/10g (99:1) (94)d |
| 8 | 8c | 7c | CH2C6H4-2-Br | CO2Me | Ph | 9h/10h (99:1) (98)d |
| 9 | 8d | 7b | CH2C6H4-2-Br | CO2Et | Me | 9i/10i (99:1) (97)d |
| 10 | 8d | 7c | CH2C6H4-2-Br | CO2Et | Ph | 9j/10j (97:3) (96) |
| 11 | 8e | 7c | CH2C6H4-3-OMe | CO2Et | Ph | 9k/10k (98:2) (97) |
| 12 | 8f | 7c | CH2C6H2-2-Br-4,5-(OMe)2 | CO2Me | Ph | 9l/10l (93:7) (95) |
| 13 | 8g | 7c | CH2C6H4-2-Br | COMe | Ph | 9m/10m (91:9) (94) |
| 14 | 8h | 7c | CH2C6H2-2-Br-4,5-(OMe)2 | COMe | Ph | 9n/10n (90:10) (93) |
| 15 | 8i | 7c | allyl | CO2Me | Ph | 9o/10o (98:2) (92)d |
| 16 | 8j | 7c | propargyl | CO2Me | Ph | 9p/10p (99:1) (95)d |
aReagents: 8 and 16 (1.0 mol equiv) and 7 (1.2 mol equiv). bCalculated by 1H NMR from the crude reaction mixtures. cAfter purification by column chromatography and as the addition of the yields of both isomers. dFollowing purification by column chromatography and as the yield of the major isomer.
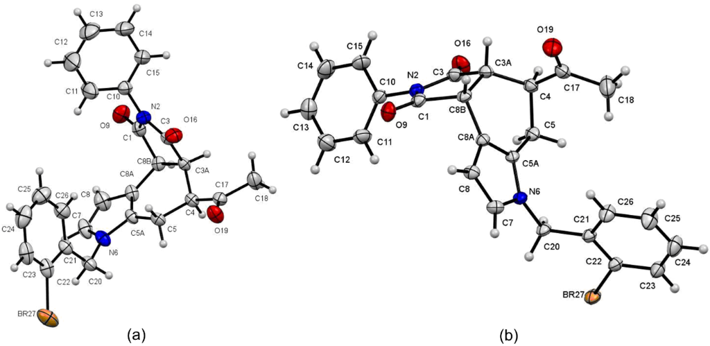
The structure of the endo and exo diastereoisomers was established by ROESY experiments. In the endo isomer 9m, for example, the irradiation of the signal of proton H-4 enhanced the signals of protons H-3a and H-8b, indicating that the three protons are on the same side. In the case of the exo isomer 10m, the irradiation of the singlet of the methyl group of the C-4 acetyl group increased the size of the signals of the protons H-3a and H-8b, which are located on the same side as the acetyl group. The unambiguous assignment of their structures was accomplished by a single-crystal X-ray diffraction crystallography of both endo 9m and exo 10m adducts (Figure 2) [43].
Figure 2: Structures of 9m (a) and 10m (b) as determined by single-crystal X-ray diffraction crystallography (ellipsoids at the 30% probability level).
Figure 2: Structures of 9m (a) and 10m (b) as determined by single-crystal X-ray diffraction crystallography ...
In addition, the thermal cycloadditions of 2-vinylpyrroles 8a–j and maleimides 7b,c took place satisfactorily to deliver the expected adducts 9e–p/10e–p, also with high endo diastereoselectivity and good yields (Table 2, entries 5–16). None of the series of mixtures 9a–p/10a–p corresponds to the direct products of the Diels–Alder cycloadditions, since they are derivatives resulting from the double bond isomerization of adducts 17 (i.e., migration from the pyrrole-fused exo cyclic position to the endo cyclic aromatic tetrahydroindole skeleton) [32]. Any attempt to isolate or detect 17 during the trials turned out to be unsuccessful [35]. It is noteworthy that there have been almost no reports to date on the uncommon highly diastereoselective Diels–Alder reactions of analogous 2-vinyl or 3-vinylpyrroles [32], nor on the reactivity of 2-vinylpyrroles substituted by electron-withdrawing groups [34,35].
Interestingly, all the 2-vinylpyrroles, including the N-unsubstituted 16a,b or the N-substituted ones 8a and 8c–j, furnished a high endo stereoselectivity with dienophile 7c, except the N-substituted 2-acrylonitrile pyrrole 8b. Accordingly, the R2 substituent in the diene would play an important role in directing the endo/exo orientation of the approach to the maleimide at the transition state (TS). Therefore, the endo diastereoselectivity is apparently not controlled by the presence or the absence of the substituent bonded to the nitrogen atom of the heterocycle. Since it is not clear what factors favor this relevant selectivity, the geometry and energy of the TSs were calculated for some of the diene–dienophile pairs depicted in Table 2 (vide infra).
Cyclization via an intramolecular Heck arylation reaction
Before attempting the intramolecular Heck cross-coupling reaction of the octahydroindoles 9/10 to the pentacycles 11, the process was explored with the simple substrates 8c,d and 8g (Scheme 4). Thus, the Pd(0)-catalyzed cyclization of the latter vinylpyrroles with potassium acetate and using acetonitrile or dimethylacetamide (DMA) as the solvent at 100 °C afforded pyrrolo[2,1-a]isoindoles 18a–c in good yields. This annulation process was regioselective, showing a preference of the cross-coupling reaction with the C-5 pyrrolic position and not with the vinyl moiety, which would give the dihydropyrrolo[1,2-b]isoquinoline 19. A similar chemoselectivity has been previously observed, being explained as a consequence of the acidity of the C–H bond being cleaved [6,44].
Scheme 4: Pd(0)-catalyzed intramolecular Heck cross-coupling reaction of 2-vinylpyrroles 8c,d and 8g.
Scheme 4: Pd(0)-catalyzed intramolecular Heck cross-coupling reaction of 2-vinylpyrroles 8c,d and 8g.
Additional intramolecular cross-coupling reactions were carried out by utilizing dimethyl malonates 8k and 8l, which were prepared through the N-benzylation of 16c with benzyl bromides 14b and 14d, respectively (Scheme 5). Pyrrole 16c was synthesized by Knoevenagel reaction of 13a with dimethyl malonate [42]. The Pd(0)-catalyzed cyclization of 8k and 8l required a temperature of 140 °C, but provided pyrrolo[2,1-a]isoindoles 18d and 18e, respectively, in good yields.
Scheme 5: Synthesis of 2-vinylpyrroles 8k,l and their Pd(0)-catalyzed intramolecular Heck cross-coupling to pyrrolo[2,1-a]isoindoles 18d,e.
Scheme 5: Synthesis of 2-vinylpyrroles 8k,l and their Pd(0)-catalyzed intramolecular Heck cross-coupling to p...
Once having the optimal reaction conditions for the palladium(0)-catalyzed cross-coupling reaction leading to the cyclization of N-(2-bromobenzyl)pyrroles 8, the endo-octahydropyrrolo[3,4-e]indole-1,3-diones 9g–j and 9m were converted into pentacycles 11a–e through the same methodology (Table 3). Optimized reaction conditions were established by using 9j as the model substrate and changing the catalyst, base and solvent. Palladium acetate was not efficient for the conversion, even though the base was modified (Table 3, entries 1 and 2). Pd(PPh3)4 was a better catalyst when employing potassium acetate as the base, and MeCN was more efficient than DMF, affording 11a in a better yield (Table 3, entries 3 and 4). The cyclization of 9g–i and 9m was performed under similar conditions, with MeCN as the solvent, to produce the aza-pentacycles 11b–e, respectively, in modest to good yields (Table 3, entries 5–8).
Table 3: Heck cross-coupling reactions of 9g–j and 9m for the preparation of pentacycles 11a–e.a
|
|
|||||||
| entry | 9 | R1 | R2 | catalyst | base | solvent | 11 (%)b |
|---|---|---|---|---|---|---|---|
| 1 | 9j | Ph | CO2Et | Pd(OAc)2 | K2CO3 | DMF | c |
| 2 | 9j | Ph | CO2Et | Pd(OAc)2 | Cs2CO3 | DMF | c |
| 3 | 9j | Ph | CO2Et | Pd(PPh3)4 | KOAc | DMF | 11a (53) |
| 4 | 9j | Ph | CO2Et | Pd(PPh3)4 | KOAc | MeCN | 11a (75) |
| 5 | 9h | Ph | CO2Me | Pd(PPh3)4 | KOAc | MeCN | 11b (77) |
| 6 | 9i | Me | CO2Et | Pd(PPh3)4 | KOAc | MeCN | 11c (81) |
| 7 | 9m | Ph | COMe | Pd(PPh3)4 | KOAc | MeCN | 11d (48) |
| 8 | 9g | Me | CO2Me | Pd(PPh3)4 | KOAc | MeCN | 11e (86) |
aReagents: 9 (1.0 mol equiv), catalyst (0.2 mol equiv) and base (2.0 mol equiv). bAfter purification by column chromatography. cNo reaction and 9j was recovered.
An alternative approach for the synthesis of pentacycles 11 would be the Diels–Alder cycloaddition of pyrrolo[2,1-a]isoindoles 18 with maleimides 7. Indeed, the reaction between 18a and 7c successfully proceeded to give a diastereoisomeric mixture of adducts 11b/20 (91:9) in high yield (Scheme 6). Although the reactivity was much lower (10 days) compared to the cycloadditions with 2-vinylpyrroles 8a–h (7 days) (Table 2), the diastereoselectivity remained rather high and similar to derivatives 8g and 8h.
Scheme 6: Diastereoselective Diels–Alder reaction of pyrrolo[2,1-a]isoindole 18a with 7c.
Scheme 6: Diastereoselective Diels–Alder reaction of pyrrolo[2,1-a]isoindole 18a with 7c.
Considering the significant biological activity of indoles, octahydropyrrolo[3,4-e]indole-1,3-diones 9 were submitted to aromatization to generate the corresponding tetrahydropyrrolo[3,4-e]indole-1,3-diones 21 (Table 4). When 9e was treated with manganese oxide [32] at 25 or 100 °C for 24 h, no reaction occurred and the starting material was recovered (Table 4, entries 1 and 2). However, the use of 2,3-dichloro-5,6-dicyano-1,4-benzoquinone (DDQ) at 25 °C for 48 h led to the aromatized compound 21a in high yield (Table 4, entry 3). Under similar reaction conditions, the series of pyrrolo[3,4-e]indole-1,3-diones 21b–g was resulted in high yields (Table 4, entries 4 and 6–10). Derivative 21c was also prepared by the oxidation of 9h with manganese oxide at higher temperature, but the yield was lower (Table 4, entry 5).
Table 4: Synthesis of tetrahydropyrrolo[3,4-e]indole-1,3-diones 21a–g by aromatization of 9e–f, 9h–k and 9m.a
|
|
||||||||||
| entry | 9 | R1 | R2 | R3 | R4 | oxidant | solvent | T (°C) | t (h) | 21 (%)b |
|---|---|---|---|---|---|---|---|---|---|---|
| 1 | 9e | Ph | CO2Et | H | H | MnO2 | CH2Cl2 | 25 | 24 | (c) |
| 2 | 9e | Ph | CO2Et | H | H | MnO2 | PhMe | 100 | 24 | (c) |
| 3 | 9e | Ph | CO2Et | H | H | DDQ | CH2Cl2 | 25 | 48 | 21a (88) |
| 4 | 9f | Ph | CN | H | H | DDQ | CH2Cl2 | 25 | 48 | 21b (94) |
| 5 | 9h | Ph | CO2Me | Br | H | MnO2 | PhMe | 140 | 24 | 21c (69) |
| 6 | 9h | Ph | CO2Me | Br | H | DDQ | CH2Cl2 | 25 | 48 | 21c (90) |
| 7 | 9i | Me | CO2Et | Br | H | DDQ | CH2Cl2 | 25 | 48 | 21d (86) |
| 8 | 9j | Ph | CO2Et | Br | H | DDQ | CH2Cl2 | 25 | 48 | 21e (89) |
| 9 | 9k | Ph | CO2Et | H | OMe | DDQ | CH2Cl2 | 25 | 48 | 21f (90) |
| 10 | 9m | Ph | COMe | Br | H | DDQ | CH2Cl2 | 25 | 48 | 21g (90) |
aReagents: 9 (1.0 mol equiv), MnO2 (4.0 mol equiv) and DDQ (2.5 mol equiv). bFollowing purification by column chromatography. cSubstrate 9e was recovered.
As part of our interest in further functionalizing octahydropyrrolo[3,4-e]indole-1,3-diones 9, formylation was herein investigated under usual Vilsmeier–Haack reaction conditions (Table 5). Fortunately, the series of 7-formyl derivatives 22a–e was attained in good yields. This synthetic approach allows for the preparation of widely polysubstituted octahydropyrrolo[3,4-e]indole-1,3-dione derivatives. However, the conversion into their aromatic skeleton either by using manganese oxide or DDQ as the oxidizing reagents, or even including Pd/C at high temperatures (250 °C) [45], failed to obtain the series of indoles 23. It is likely that the electron withdrawing effect of the formyl group at the C-7 position counterbalance the delocalization direction of the electronic density provided by the nitrogen lone-pair, which plausibly stabilizes the cationic or radical species formed by the oxidant reagent during the aromatization process [46], as efficiently occurred with derivatives 9.
Table 5: Preparation of derivatives 22a–e by formylation of octahydropyrrolo[3,4-e]indole-1,3-diones 9.a
|
|
||||||
| entry | 9 | R1 | R2 | T (°C) | t (h) | 22 (%)b |
|---|---|---|---|---|---|---|
| 1 | 9f | CN | Bn | 40 | 1 | 22a (95) |
| 2 | 9h | CO2Me | CH2C6H4-2-Br | 0 | 3 | 22b (88) |
| 3 | 9l | CO2Me | CH2C6H2-2-Br-4,5-(OMe)2 | 0 | 2 | 22c (89) |
| 4 | 9o | CO2Me | allyl | 25 | 2 | 22d (84) |
| 5 | 9p | CO2Me | propargyl | 25 | 2 | 22e (80) |
aReagents: 9 (1.0 mol equiv), POCl3 (1.2 mol equiv) and DMF (1.2 mol equiv). bAfter purification by column chromatography.
Finally, in order to obtain the aromatic indole-based pentacycles 12, the aromatization of pentacycles 11 was explored. Although the use of DDQ under the oxidative reaction conditions shown in Table 4 was efficient for the preparation of derivatives 21, the conversion of 11a into 12 was unsuccessful (Scheme 7). The action of active MnO2 in toluene at high temperature was able to promote the aromatization of 11a affording pentacycle 12, in low yield (30%) [47]. Moreover, when the oxidation was carried out in methylene chloride, pentacycle 12 was delivered in a higher yield (71%). The synthesis of analogs to the latter compound has attracted much attention in recent years [21].
Scheme 7: Synthetic approach to the fused aza-heterocyclic pentacycle 12.
Scheme 7: Synthetic approach to the fused aza-heterocyclic pentacycle 12.
Theoretical calculations
The Diels–Alder reaction of vinylpyrroles 8b, 8c and 8g with maleimides 7b and 7c resulted in a highly diastereoselective cycloaddition leading to the mixture of endo/exo cycloadducts 9/10, where the endo product 9 was the major one (Scheme 3 and Table 2). Considering the synthetic and biological potential value of the resulting products in the construction of a series of pyrrolo- and isoindolo-fused polycyclic indoles and octahydroindoles, a quantum theoretical study of the TSs was conducted to gain insight into the main factors that control this endo diastereoselectivity.
Firstly, the geometry and energy of the TSs and the associated minima along the reaction coordinates of the N-substituted diene 8g with maleimide 7c were calculated at the M06-2X/6-31+G(d,p) level of theory [48-51] on the Gaussian 09 program [52]. For each stationary point of the Diels–Alder cycloadditions, the relative energy is summarized in Table 6 and the geometry is displayed in Figure 3. The data indicate a single concerted TS not only for the cycloaddition of 8g/7c, but also for all the endo and exo processes (Supporting Information File 1, Appendix 5). The Gibbs energy was also calculated for each reaction and in most cases showed a good correlation with the ZPE-corrected energy (Table 6). All the endo approaches were lower in energy than the exo approaches, reaching the TSs from the supramolecular complexes (SCs) [53]. For most of the cycloadditions, the difference in energy of the TSs were large enough (>3 kcal/mol) to find an endo/exo diastereoisomeric ratio greater than 99:1, which is in agreement with the observed experimental results.
Figure 3: M06-2X/6-31+G(d,p) Optimized geometry for each of the SCs (a and d), TSs (b and e) and ADs (c and f) of the Diels–Alder reactions of diene 8g and dienophile 7c, for the endo (a–c) and the exo (d–f) approaches, respectively.
Figure 3: M06-2X/6-31+G(d,p) Optimized geometry for each of the SCs (a and d), TSs (b and e) and ADs (c and f...
Table 6: Calculated [M06-2X/6-31+G(d,p)] relative ZPE-corrected energy (kcal/mol) of the supramolecular complexes (SCs), TSs and adducts (ADs) located on the potential surfaces for the Diels–Alder reactions of the dienes 8b, 8c, 8g, 8j, 16a and 18a, and dienophiles 7b,c.a
|
|
|||||
| cycloaddends | SCb | TSb | ADb | diffc | 9/10 or 11b/20 (%)d (%)e (%)f |
| 8b/7c-endo | 0.00 (0.00) | 26.92 (29.72) | −9.76 (−6.47) | 0.00 (0.00) | 9f (99.4) (79.9) (76) |
| 8b/7c-exo | 0.76 (0.65) | 29.99 (30.53) | −7.94 (−7.31) | 3.07 (0.82) | 10f (0.6) (20.1) (24) |
| 8c/7b-endo | 0.00 (0.00) | 24.10 (26.21) | −12.99 (−10.79) | 0.00 (0.00) | 9g (99.9) (88.8) (99) |
| 8c/7b-exo | 2.96 (0.94) | 28.32 (27.44) | −10.44 (−11.12) | 4.22 (1.23) | 10g (0.1) (11.2) (1) |
| 8c/7c-endo | 0.00 (0.00) | 23.97 (26.20) | −10.31 (−7.66) | 0.00 (0.00) | 9h (100) (99.9) (99) |
| 8c/7c-exo | 5.40 (3.80) | 32.39 (31.58) | −5.38 (−6.62) | 8.42 (5.40) | 10h (0) (0.01) (1) |
| 8g/7c-endo | 0.00 (0.00) | 24.50 (26.83) | −9.60 (−6.55) | 0.00 (0.00) | 9m (100) (99.9) (91) |
| 8g/7c-exo | 4.25 (2.25) | 30.93 (30.81) | −6.41 (−6.98) | 6.43 (3.98) | 10m (0) (0.1) (9) |
| 8j/7c-endo | 0.00 (0.00) | 23.18 (25.49) | −11.22 (−9.62) | 0.00 (0.00) | 9p (99:9) (99.6) (99) |
| 8j/7c-exo | 3.11 (0.58) | 28.96 (28.82) | −9.02 (−9.28) | 5.77 (3.33) | 10p (0.1) (0.4) (1) |
| 16a/7c-endo | 0.00 (0.00) | 25.10 (26.70) | −7.72 (−6.22) | 0.00 (0.00) | 9c (100) (99.9) (94) |
| 16a/7c-exo | 3.70 (1.95) | 30.31 (31.05) | −6.90 (−6.22) | 5.21 (4.35) | 10c (0) (0.1) (6) |
| 18a/7c-endo | 0.00 (0.00) | 24.42 (26.68) | −6.25 (−5.24) | 0.00 (0.00) | 11b (100) (100) (91)g |
| 18a/7c-exo | 2.40 (2.07) | 34.14 (34.34) | −4.39 (−4.11) | 9.72 (7.66) | 20 (0) (0) (9)g |
aThe endo/exo TSs for each pair of cycloaddends lead to a mixture of adducts 9/10 or 11b/20, whose ratios are indicated in both rows of the pairs 8/7, 16a/7c or 18a/7c. bNumbers in parentheses correspond to relative Gibbs energy (kcal/mol). cEnergy differences for the TSs, relative to the most stable endo approach of the pairs 8/7, 16a/7c or 18a/7c. dPercentage ratio of the pairs 9/10 or 11b/20, calculated from the Boltzmann distribution (at 298 K) from the TSs obtained from the relative zero-point corrected energy. ePercentage ratio of the pairs 9/10 or 11b/20, calculated from the Boltzmann distribution (at 298 K) of the TSs obtained from the relative Gibbs energies. fPercentage ratio of the pairs 9/10 or 11b/20, determined from the experimental Diels–Alder cycloadditions (Table 2). gFor the ratio of 11b/20, see Scheme 6.
For the reaction with 8b (R2 = CN) the calculated endo/exo ratio (99.4:0.6) and the experimental one (76:24) did not concur. However, the ratio determined through the Gibbs energy (endo/exo, 79.9:20.1) matched better. Actually, the reactivity of diene 8b would be expected to be lower due to a greater deactivation of the cyano group, as suggested by comparing the most stable HOMO of this diene with the values for dienes 8c and 8g (Supporting Information File 1, Table S1). Hence, the latter dienes should be more reactive than diene 8b, and consequently more stereoselective [54-56].
In contrast, the Gibbs energy for the diene/dienophile 8c/7b (88.8:11.2) did not completely match the experimental endo/exo (99:1) ratio, but the ZPE ratio (99.9:0.1) was in good agreement. For the cycloaddition of the pyrrolo[2,1-a]isoindole 18a with 7c, there was an additional conjugated system involved capable of perturbing the electronic density of the diene. If one assumes that the nitrogen lone-pair was partially delocalized to the benzene ring, a decrease in the electronic density should be anticipated for the methyl acrylate dienic moiety. According to the perturbation theory [57], such an effect would cause a reduction in the cycloaddition reactivity, because the diene needs electron-donating substituents to enhance it (under normal electron demand). Indeed, under the same reaction conditions as those employed for dienes 8, it took 10 days of heating for diene 18a to be consumed (Scheme 6). Thus, the limited reactivity of this diene resulted in a lower diastereoselectivity than most of the other dienes 8 as well as 16a.
Non-covalent intermolecular interactions (NCIs) between aromatic rings (π···π) [58,59] and alkyl and aromatic ring (Csp3–H)···π stackings [59-62] are widely recognized, from both the experimental and theoretical viewpoint, as a major factor governing the conformational equilibrium, supramolecular assembly and stereoselective approaches of substrates and reagents or catalysts in a variety of processes. Examples include the substrate–enzyme recognition (the host–guest interaction) responsible for inducing pharmacological activity, the DNA-intercalation capable of generating biomolecular activity, molecular dynamics [63-70], and pericyclic reactions (Diels–Alder and 1,3-dipolar cycloadditions) [71-75].
To account for the endo selectivity of all the tested dienes, the geometry of cycloaddends at the TSs was carefully analyzed (Figure 4 and Supporting Information File 1, Appendix 6) to determine the effects, such as NCIs, that occur to stabilize it. For example, in the endo TS of the cycloaddition of 8g/7c, the benzene rings of both reagents closely approach each other in an observable π···π offset stacked interaction (3.683 Å) (π···σ attraction) (Figure 4c and Table 7), which is more stable than the eclipsed face-to-face geometry, overcoming the π···π repulsions [58,59]. The same interaction is also noticed for the SC (Figure 3a). Of course, this interaction is not present at the exo TS (Figure 3e). Similar interactions are perceptible in the approaches of cycloaddends 8b/7c and 8c/7c (Figure 4a,b and Supporting Information File 1, Appendix 6). All the observable π···π interactions were parallel-displaced (offset) π-stacking, and the distance values were within the range of the known values, whether determined from X-ray structures or calculated values (3.2–4.0 Å) [58,59,65].
Figure 4: M06-2X/6-31+G(d,p) Optimized geometry for each of the TSs of the Diels–Alder reactions of dienes 8b, 8c, 8g, 8j and 18a with dienophiles 7b,c for the endo approach, showing the π···π, C–H···π, C–H···OC and C–H···Br stacking interactions and their distances (Å).
Figure 4: M06-2X/6-31+G(d,p) Optimized geometry for each of the TSs of the Diels–Alder reactions of dienes 8b...
Table 7: Calculated [M06-2X/6-31+G(d,p)] NCIs, including distances, angles and contact type from the ZPE-corrected geometry of each of the endo TSs of the Diels–Alder reactions of dienes 8b, 8c, 8g, 8j and 18a with dienophiles 7b,c.a
| TS cycloaddends | interactionb | distance (Å) | angle (º) | contact typec |
|---|---|---|---|---|
| 8b/7c | C–H···O | 2.962 | 131.89 | D–H···A |
| 8b/7c | π···π | 3.626 | 4.24 | π-stacking (parallel-displaced) |
| 8c/7c | C–H···O | 2.741 | 119.78 | D–H···A |
| 8c/7c | C–H···Brd | 3.289 | 98.02 | D–H···A |
| 8c/7c | π···π | 3.684 | 16.02 | π-stacking (parallel-displaced) |
| 8g/7c | C–H···Oe | 2.660 | 163.14 | D–H···A |
| 8g/7c | π···π | 3.683 | 15.90 | π-stacking (parallel-displaced) |
| 8j/7c | Cethynyl–H···πf | 2.530 | 115.19 | D–H···A |
| 8c/7b | Cmethyl–H···πg | 2.537 | 126.61 | D–H···A |
| 8c/7b | C–H···Brh | 2.771 | 160.54 | D–H···A |
| 18a/7c | Cmethylene–H···πi | 2.429 | 154.71 | D–H···A |
aData taken from the TS geometry, obtained from the relative zero-point corrected energy (Figure 4). bThe intermolecular C–H···O interaction derived from the proton of the benzene ring or the proton of the methoxy group of the ester of the diene and a carbonyl oxygen of the dienophile. cD = donating atom; A = acceptor atom or aromatic ring. dThe intermolecular C–H···Br derived from the aryl proton of 7c and the bromine atom of diene 8c. eThe intermolecular C–H···O interaction derived from the proton of the benzene ring of 7c and of the carbonyl oxygen of diene 8g. fThe C–H···π interaction derived from the proton of the terminal acetylene of diene 8j and the benzene ring of 7c. gThe C–H···π interaction derived from the proton of the N-methyl group of 7b and the benzene ring of 8c. hThe intramolecular C–H···Br interaction derived from the vinylic proton and the bromine atom of diene 8c. iThe C–H···π interaction derived from the proton of methylene of the pyrrolizine moiety of diene 18a and the benzene ring of 7c.
Regarding the addition of diene 8c with the N-methylmaleimide (7b), a π···π interaction is discarded. Nevertheless, the endo adduct 9g was obtained as the major diastereoisomer (Table 2, entry 7). The calculated geometry at the endo TS reveals a plausible Cmethyl–H···π interaction, based on the distance value (2.537 Å) to the benzene ring centroid. This interaction formed between one of the proton of the methyl group of 7b and the N-aryl ring of the pyrrole 8c (Table 7 and Figure 4e and Figure 5a,b). The aforementioned value matched well with that for the expected Cmethyl–H···π interaction (2.5–3.4 Å and 2.79 Å) [58,59,62,66] according to the calculations and the X-ray calculated average taken from the Cambridge Structural Database (CSD) [76].
Figure 5: M06-2X/6-31+G(d,p) Optimized geometry of the endo SCs (a) and TSs (b) for the Diels–Alder reaction of diene 8c and dienophile 7b, the endo TSs (c) of the reaction of 8j and 7c, the endo approach of the SC (d) and TS (e) for the cycloaddition of 16a and 7c, and the endo TS (f) for the cycloaddition of 18a and 7c.
Figure 5: M06-2X/6-31+G(d,p) Optimized geometry of the endo SCs (a) and TSs (b) for the Diels–Alder reaction ...
Interestingly, in the case of the reaction between diene 8j and 7c, where the diene does not have an N-benzyl group, the endo TS also displays a Cethynyl–H···π interaction (2.530 Å) between the acetylene proton of 8j and the N-phenyl ring of the N-phenylmaleimide (7c) (Table 7, and Figure 4d and Figure 5c). Such an interaction may explain the greater stabilization of the endo approach to give 9p as the major isomer. Due to the scarce X-ray data from CSD about the distance of the Cethynyl–H···π interaction [76], an average distance value (ca. 3.0 Å) above the benzene ring centroid can be considered for the statistical distribution of the Cethenyl–H···π interaction [76], which is longer than present calculated value.
On the other hand, the cycloaddition of the N-unsubstituted pyrrole 16a and N-phenylmaleimide (7c) proved to be highly endo diastereoselective as well (Table 2, entry 3). Hence, a supplementary N–H···π interaction between the N–H bond of pyrrole 16a and the N-phenyl ring of 7c may be involved at the SC and TS to improve the stability of such an approach (Figure 5d,e). Despite the fact that this interaction was not clearly detected at the endo TS, an incipient N–H···π interaction seems to be present (Supporting Information File 1, Appendix 6).
The preference of the endo selectivity for the cycloaddition of the isoindolyl diene 18a and 7c can be also accounted for by a perceptible Cmethylene–H···π interaction (2.429 Å to the benzene ring centroid) (Table 7 and Figure 4f) between a proton of the C-5 methylene group of the pyrrolo[2,1-a]isoindole ring of 18a and the N-phenyl ring of 7c (Figure 5f). Additional hydrogen bonding, which was found for these and the other cycloaddends between a proton of the benzene ring of the diene and an oxygen atom of the dienophile (Table 7), also stabilize the endo TS.
Therefore, this theoretical study indicated that the non-covalent π···π and C–H···π interactions control the endo selectivity in the Diels–Alder cycloadditions. Since experimental and theoretical results have demonstrated that the nature of the C–H···π interaction mainly depends on the dispersion interactions [64,67,77], these are probably not only at the origin of the endo stereoselectivity of the present cycloadditions, but also involved in the general endo-Alder rule [53]. The latter rule has been traditionally attributed to secondary orbital interactions (SOI) [78-80], although a controversy exists due to the lack of solid evidence for this hypothesis [81]. Consequently, a lot of research has been carried out to provide additional insights into the factors controlling the endo outcome [53,82-85], documenting in some cases a key role of NCIs in the preferential stereocontrol [86].
Conclusion
The Diels–Alder reaction of N-substituted-2-vinylpyrroles 8a–j and N-unsubstituted-2-vinylpyrroles 16a,b with maleimides 7b,c proved to be highly endo diastereoselective. This selectivity turned out to be significant in the case of vinyl benzopyrrolizine 18a as well. The consecutive Pd(0) cross-coupling reaction of some of the Diels–Alder adducts allowed for the synthesis of a numerous series of pyrrolizine-containing polycycles, including isoindolo[2,1-a]indole-based tetrahydro and fully aromatic pentacycles. These findings reveal the synthetic value of 2-formylpyrrole (13a) for the diastereo- and regioselective construction of isoindolo- and pyrrolo-fused polycyclic indoles. Theoretical calculations suggest that the greater stability of the endo TSs in the Diels–Alder cycloadditions is associated with NCIs between the N-substituents of both cycloaddends. These interactions are also involved in the case of pyrrolo[2,1-a]isoindole 18a with dienophile 7c.
Supporting Information
Appendix 1: Energies and coefficients of the Frontier Molecular Orbitals [HF/6-31G(d,p)] of dienes 8b, 8c and 8g, and dienophile 7c. Appendix 2: Relative zero point-corrected energies of the SCs, TSs, and ADs located on the potential surfaces of the Diels–Alder reactions of dienes 8b, 8c, 8g, 8j, 16a, and 18a, and dienophiles 7b,c. Appendix 3: X-ray crystallographic structures of 9m and 10m. Appendix 4: M06-2X/6-31+G(d,p) relative Gibbs free energies (kcal/mol) of the stationary points in the Diels–Alder cycloadditions of dienes 8b, 8c, 8g, 8j, 16a, and 18a, and dienophiles 7b,c. Appendix 5: Calculation [M06-2X/6-31+G(d,p)] of Z-matrices of the optimized geometries of the SCs, TSs, and ADs of the Diels–Alder cycloadditions of dienes 8b, 8c, 8g, 8j, 16a, and 18a, and dienophiles 7b,c. Appendix 6: Calculation [M06-2X/6-31+G(d,p)] of the NCIs, including distances, angles and contact type from the ZPE-corrected geometries of the endo TSs of the Diels–Alder reactions of dienes 8b, 8c, 8g, 8j and 18a and dienophiles 7b,c. Appendix 7: Experimental section. Appendix 8: 1H and 13C NMR spectra for all new compounds.
| Supporting Information File 1: Experimental and analytical data, X-ray crystallographic structures, NMR-spectra and all calculated data. | ||
| Format: PDF | Size: 11.3 MB | Download |
Acknowledgments
We thank E. Labarrios, A. Jerezano and CNMN-IPN for their help in spectrometric measurements, and Bruce A. Larsen for proofreading.
Funding
J.T. acknowledges SIP/IPN (Grants 20140858, 20150917, 20160791, 20170902, 20180198, 20195228 and 20200227) and Consejo Nacional de Ciencia y Tecnología (CONACYT, Mexico) (Grants 178319, A1-S-17131 and 300520) for financial support. C.E.-H. and A.A.C.-D. are grateful to CONACYT for a grant to purchase the NMR instrument (INFR-2014-01-226114). E.I.M.-M. greatly appreciate the support given by the SEP through the NPTC program (UACOAH-PTC-498). C.H.E. and E.I.M.-M. are beholden to CONACYT for awarding them graduate scholarships, and also thank SIP/IPN (BEIFI) and the Ludwig K. Hellweg Foundation for scholarship complements. F.D. and J.T. are fellows of the EDI-IPN and COFAA-IPN programs.
References
-
Mantovani, S. M.; Moore, B. S. J. Am. Chem. Soc. 2013, 135, 18032–18035. doi:10.1021/ja409520v
Return to citation in text: [1] -
Belal, A.; El-Gendy, B. E.-D. M. Bioorg. Med. Chem. 2014, 22, 46–53. doi:10.1016/j.bmc.2013.11.040
Return to citation in text: [1] -
Robertson, J.; Stevens, K. Nat. Prod. Rep. 2014, 31, 1721–1788. doi:10.1039/c4np00055b
Return to citation in text: [1] -
Tamariz, J.; Burgueño-Tapia, E.; Vázquez, M. A.; Delgado, F. Pyrrolizidine Alkaloids. In The Alkaloids; Knölker, H.-J., Ed.; Academic Press: Cambridge, U.S.A., 2018; Vol. 80, pp 1–331. doi:10.1016/s1099-4831(18)30022-1
Return to citation in text: [1] [2] -
Robertson, J.; Stevens, K. Nat. Prod. Rep. 2017, 34, 62–89. doi:10.1039/c5np00076a
Return to citation in text: [1] -
Lage, S.; Martínez-Estíbalez, U.; Sotomayor, N.; Lete, E. Adv. Synth. Catal. 2009, 351, 2460–2468. doi:10.1002/adsc.200900368
Return to citation in text: [1] [2] -
Lorton, C.; Voituriez, A. Eur. J. Org. Chem. 2019, 5133–5150. doi:10.1002/ejoc.201900626
Return to citation in text: [1] -
Enders, D.; Wang, C.; Raabe, G. Synthesis 2009, 4119–4124. doi:10.1055/s-0029-1217069
Return to citation in text: [1] -
Hong, L.; Sun, W.; Liu, C.; Wang, L.; Wang, R. Chem. – Eur. J. 2010, 16, 440–444. doi:10.1002/chem.200902638
Return to citation in text: [1] -
Gorre, R.; Enagandhula, D.; Balasubramanian, S.; Akondi, S. M. Org. Biomol. Chem. 2020, 18, 1354–1358. doi:10.1039/c9ob02730k
Return to citation in text: [1] -
Wang, H.; Wu, X.-F. Org. Lett. 2019, 21, 5264–5268. doi:10.1021/acs.orglett.9b01868
Return to citation in text: [1] [2] [3] [4] -
Fernandez, L. S.; Sykes, M. L.; Andrews, K. T.; Avery, V. M. Int. J. Antimicrob. Agents 2010, 36, 275–279. doi:10.1016/j.ijantimicag.2010.05.008
Return to citation in text: [1] -
Bass, P. D.; Gubler, D. A.; Judd, T. C.; Williams, R. M. Chem. Rev. 2013, 113, 6816–6863. doi:10.1021/cr3001059
Return to citation in text: [1] -
Alvarez-Mico, X.; Jensen, P. R.; Fenical, W.; Hughes, C. C. Org. Lett. 2013, 15, 988–991. doi:10.1021/ol303374e
Return to citation in text: [1] -
Sharma, V.; Kumar, P.; Pathak, D. J. Heterocycl. Chem. 2010, 491, 491–502. doi:10.1002/jhet.349
Return to citation in text: [1] -
Thanikachalam, P. V.; Maurya, R. K.; Garg, V.; Monga, V. Eur. J. Med. Chem. 2019, 180, 562–612. doi:10.1016/j.ejmech.2019.111680
Return to citation in text: [1] -
Shiri, M. Chem. Rev. 2012, 112, 3508–3549. doi:10.1021/cr2003954
Return to citation in text: [1] -
Chen, J.-B.; Jia, Y.-X. Org. Biomol. Chem. 2017, 15, 3550–3567. doi:10.1039/c7ob00413c
Return to citation in text: [1] -
Marchese, A. D.; Lind, F.; Mahon, Á. E.; Yoon, H.; Lautens, M. Angew. Chem., Int. Ed. 2019, 58, 5095–5099. doi:10.1002/anie.201900659
Return to citation in text: [1] [2] [3] -
Enders, D.; Greb, A.; Deckers, K.; Selig, P.; Merkens, C. Chem. – Eur. J. 2012, 18, 10226–10229. doi:10.1002/chem.201201493
Return to citation in text: [1] [2] -
Laha, J. K.; Dayal, N.; Singh, S.; Bhimpuria, R. Eur. J. Org. Chem. 2014, 5469–5475. doi:10.1002/ejoc.201402395
Return to citation in text: [1] [2] [3] [4] [5] -
Speck, K.; Magauer, T. Beilstein J. Org. Chem. 2013, 9, 2048–2078. doi:10.3762/bjoc.9.243
Return to citation in text: [1] [2] -
Bornadiego, A.; Díaz, J.; Marcos, C. F. J. Org. Chem. 2019, 84, 7426–7433. doi:10.1021/acs.joc.9b00381
Return to citation in text: [1] [2] -
Hudkins, R. L.; Johnson, N. W.; Angeles, T. S.; Gessner, G. W.; Mallamo, J. P. J. Med. Chem. 2007, 50, 433–441. doi:10.1021/jm051074u
Return to citation in text: [1] [2] -
Sánchez, C.; Méndez, C.; Salas, J. A. Nat. Prod. Rep. 2006, 23, 1007–1045. doi:10.1039/b601930g
Return to citation in text: [1] [2] -
Schmidt, A. W.; Reddy, K. R.; Knölker, H.-J. Chem. Rev. 2012, 112, 3193–3328. doi:10.1021/cr200447s
Return to citation in text: [1] [2] -
Janosik, T.; Rannug, A.; Rannug, U.; Wahlström, N.; Slätt, J.; Bergman, J. Chem. Rev. 2018, 118, 9058–9128. doi:10.1021/acs.chemrev.8b00186
Return to citation in text: [1] [2] -
Liu, R.-R.; Wang, Y.-G.; Li, Y.-L.; Huang, B.-B.; Liang, R.-X.; Jia, Y.-X. Angew. Chem., Int. Ed. 2017, 56, 7475–7478. doi:10.1002/anie.201703833
Return to citation in text: [1] -
Petrone, D. A.; Kondo, M.; Zeidan, N.; Lautens, M. Chem. – Eur. J. 2016, 22, 5684–5691. doi:10.1002/chem.201600118
Return to citation in text: [1] -
Zeidan, N.; Beisel, T.; Ross, R.; Lautens, M. Org. Lett. 2018, 20, 7332–7335. doi:10.1021/acs.orglett.8b03310
Return to citation in text: [1] -
Ohno, M.; Shimizu, S.; Eguchi, S. Tetrahedron Lett. 1990, 31, 4613–4616. doi:10.1016/s0040-4039(00)97689-5
Return to citation in text: [1] -
Noland, W. E.; Lanzatella, N. P.; Venkatraman, L.; Anderson, N. F.; Gullickson, G. C. J. Heterocycl. Chem. 2009, 46, 1154–1176. doi:10.1002/jhet.198
Return to citation in text: [1] [2] [3] [4] -
Xiao, D.; Ketcha, D. M. J. Heterocycl. Chem. 1995, 32, 499–503. doi:10.1002/jhet.5570320220
Return to citation in text: [1] -
Hosmane, R. S.; Hiremath, S. P.; Schneller, S. W. J. Chem. Soc., Perkin Trans. 1 1973, 2450–2453. doi:10.1039/p19730002450
Return to citation in text: [1] [2] -
Noland, W. E.; Lee, C. K.; Bae, S. K.; Chung, B. Y.; Hahn, C. S.; Kim, K. J. J. Org. Chem. 1983, 48, 2488–2491. doi:10.1021/jo00163a011
Return to citation in text: [1] [2] [3] -
Yoshida, K.; Hayashi, K.; Yanagisawa, A. Org. Lett. 2011, 13, 4762–4765. doi:10.1021/ol201510u
Return to citation in text: [1] -
Reddy, C. R.; Valleti, R. R.; Sathish, P. J. Org. Chem. 2017, 82, 2345–2354. doi:10.1021/acs.joc.6b02637
Return to citation in text: [1] -
Zhao, Y.; Yuan, Y.; Xu, M.; Zheng, Z.; Zhang, R.; Li, Y. Org. Biomol. Chem. 2017, 15, 6328–6332. doi:10.1039/c7ob01516j
Return to citation in text: [1] -
Noland, W. E.; Lanzatella, N. P.; Dickson, R. R.; Messner, M. E.; Nguyen, H. H. J. Heterocycl. Chem. 2013, 50, 795–808. doi:10.1002/jhet.1571
Return to citation in text: [1] -
Quiroz-Florentino, H.; Hernández-Benitez, R. I.; Aviña, J. A.; Burgueño-Tapia, E.; Tamariz, J. Synthesis 2011, 1106–1112. doi:10.1055/s-0030-1258455
Return to citation in text: [1] -
Martínez-Mora, E. I.; Caracas, M. A.; Escalante, C. H.; Madrigal, D. A.; Quiroz-Florentino, H.; Delgado, F.; Tamariz, J. J. Mex. Chem. Soc. 2017, 60, 23–33. doi:10.29356/jmcs.v60i1.67
Return to citation in text: [1] [2] -
Martínez-Mora, E. I.; Caracas, M. A.; Escalante, C. H.; Espinoza-Hicks, C.; Quiroz-Florentino, H.; Delgado, F.; Tamariz, J. Synthesis 2016, 48, 1055–1068. doi:10.1055/s-0035-1561331
Return to citation in text: [1] [2] -
CCDC-1987245 (for 9m) and -1987244 (for 10m) contain the supplementary crystallographic data for this paper. These data can be obtained free of charge from The Cambridge Crystallographic Data Centre via https://www.ccdc.cam.ac.uk/data_request/cif.
Return to citation in text: [1] -
Lafrance, M.; Rowley, C. N.; Woo, T. K.; Fagnou, K. J. Am. Chem. Soc. 2006, 128, 8754–8756. doi:10.1021/ja062509l
Return to citation in text: [1] -
Bautista, R.; Montoya, P. A.; Rebollar, A.; Burgueño, E.; Tamariz, J. Molecules 2013, 18, 10334–10351. doi:10.3390/molecules180910334
Return to citation in text: [1] -
Wurche, F.; Sicking, W.; Sustmann, R.; Klärner, F.-G.; Rüchardt, C. Chem. – Eur. J. 2004, 10, 2707–2721. doi:10.1002/chem.200305686
Return to citation in text: [1] -
Mashraqui, S.; Keehn, P. Synth. Commun. 1982, 12, 637–645. doi:10.1080/00397918208061895
Return to citation in text: [1] -
Zhao, Y.; Truhlar, D. G. J. Chem. Theory Comput. 2007, 3, 289–300. doi:10.1021/ct6002719
Return to citation in text: [1] -
Hohenstein, E. G.; Chill, S. T.; Sherrill, C. D. J. Chem. Theory Comput. 2008, 4, 1996–2000. doi:10.1021/ct800308k
Return to citation in text: [1] -
Black, K.; Liu, P.; Xu, L.; Doubleday, C.; Houk, K. N. Proc. Natl. Acad. Sci. U. S. A. 2012, 109, 12860–12865. doi:10.1073/pnas.1209316109
Return to citation in text: [1] -
Espinoza-Hicks, C.; Montoya, P.; Bautista, R.; Jiménez-Vázquez, H. A.; Rodríguez-Valdez, L. M.; Camacho-Dávila, A. A.; Cossío, F. P.; Delgado, F.; Tamariz, J. J. Org. Chem. 2018, 83, 5347–5364. doi:10.1021/acs.joc.7b02344
Return to citation in text: [1] -
Gaussian 09, Revision A.1; Gaussian, Inc. : Wallingford CT, 2009.
Return to citation in text: [1] -
Ramírez-Gualito, K.; López-Mora, N.; Jiménez-Vázquez, H. A.; Tamariz, J.; Cuevas, G. J. Mex. Chem. Soc. 2013, 57, 267–275. doi:10.29356/jmcs.v57i4.189
Return to citation in text: [1] [2] [3] -
Argile, A.; Ruasse, M.-F. Tetrahedron Lett. 1980, 21, 1327–1330. doi:10.1016/s0040-4039(00)74567-9
Return to citation in text: [1] -
Shaik, S.; Epiotis, N. D. J. Am. Chem. Soc. 1978, 100, 18–29. doi:10.1021/ja00469a003
Return to citation in text: [1] -
Branchadell, V.; Oliva, A.; Bertrán, J. J. Mol. Struct.: THEOCHEM 1986, 138, 117–120. doi:10.1016/0166-1280(86)87014-2
Return to citation in text: [1] -
Fleming, I. Molecular Orbitals and Organic Chemical Reactions; John Wiley & Sons, Ltd: Chichester, United Kingdom, 2010. doi:10.1002/9780470689493
ISBN 978-0-470-746585.
Return to citation in text: [1] -
Janiak, C. J. Chem. Soc., Dalton Trans. 2000, 3885–3896. doi:10.1039/b003010o
Return to citation in text: [1] [2] [3] [4] -
Salonen, L. M.; Ellermann, M.; Diederich, F. Angew. Chem., Int. Ed. 2011, 50, 4808–4842. doi:10.1002/anie.201007560
Return to citation in text: [1] [2] [3] [4] [5] -
Mati, I. K.; Cockroft, S. L. Chem. Soc. Rev. 2010, 39, 4195–4205. doi:10.1039/b822665m
Return to citation in text: [1] -
Wheeler, S. E.; Bloom, J. W. G. J. Phys. Chem. A 2014, 118, 6133–6147. doi:10.1021/jp504415p
Return to citation in text: [1] -
Suresh, C. H.; Mohan, N.; Vijayalakshmi, K. P.; George, R.; Mathew, J. M. J. Comput. Chem. 2009, 30, 1392–1404. doi:10.1002/jcc.21162
Return to citation in text: [1] [2] -
Takahashi, O.; Kohno, Y.; Nishio, M. Chem. Rev. 2010, 110, 6049–6076. doi:10.1021/cr100072x
Return to citation in text: [1] -
Tsuzuki, S.; Fujii, A. Phys. Chem. Chem. Phys. 2008, 10, 2584–2594. doi:10.1039/b718656h
Return to citation in text: [1] [2] -
Macias, A. T.; MacKerell, A. D., Jr. J. Comput. Chem. 2005, 26, 1452–1463. doi:10.1002/jcc.20281
Return to citation in text: [1] [2] -
Ringer, A. L.; Figgs, M. S.; Sinnokrot, M. O.; Sherrill, C. D. J. Phys. Chem. A 2006, 110, 10822–10828. doi:10.1021/jp062740l
Return to citation in text: [1] [2] -
Cabaleiro-Lago, E. M.; Rodríguez-Otero, J.; Peña-Gallego, Á. J. Phys. Chem. A 2008, 112, 6344–6350. doi:10.1021/jp8021979
Return to citation in text: [1] [2] -
Zhang, X.; Lu, G.-p.; Xu, Z.-b.; Cai, C. ACS Sustainable Chem. Eng. 2017, 5, 9279–9285. doi:10.1021/acssuschemeng.7b02241
Return to citation in text: [1] -
Johnson, E. R.; Keinan, S.; Mori-Sánchez, P.; Contreras-García, J.; Cohen, A. J.; Yang, W. J. Am. Chem. Soc. 2010, 132, 6498–6506. doi:10.1021/ja100936w
Return to citation in text: [1] -
Quiñonero, D.; Frontera, A.; Escudero, D.; Ballester, P.; Costa, A.; Deyà, P. M. Theor. Chem. Acc. 2008, 120, 385–393. doi:10.1007/s00214-008-0416-9
Return to citation in text: [1] -
Cayzer, T. N.; Paddon-Row, M. N.; Sherburn, M. S. Eur. J. Org. Chem. 2003, 4059–4068. doi:10.1002/ejoc.200300414
Return to citation in text: [1] -
Mehranfar, A.; Izadyar, M.; Khavani, M.; Housaindokht, M. R. Int. J. Quantum Chem. 2019, 119, e25878. doi:10.1002/qua.25878
Return to citation in text: [1] -
Krenske, E. H.; Houk, K. N. Acc. Chem. Res. 2013, 46, 979–989. doi:10.1021/ar3000794
Return to citation in text: [1] -
Zhang, H.; Piacham, T.; Drew, M.; Patek, M.; Mosbach, K.; Ye, L. J. Am. Chem. Soc. 2006, 128, 4178–4179. doi:10.1021/ja057781u
Return to citation in text: [1] -
Kumar, G. S.; Satheeshkumar, R.; Kaminsky, W.; Platts, J.; Prasad, K. J. R. Tetrahedron Lett. 2014, 55, 5475–5480. doi:10.1016/j.tetlet.2014.08.036
Return to citation in text: [1] -
Mooibrock, T. J.; Gamez, P. CrystEngComm 2012, 14, 8462–8467. doi:10.1039/c2ce26205c
Return to citation in text: [1] [2] [3] -
Riley, K. E.; Pitoňák, M.; Černý, J.; Hobza, P. J. Chem. Theory Comput. 2010, 6, 66–80. doi:10.1021/ct900376r
Return to citation in text: [1] -
Wannere, C. S.; Paul, A.; Herges, R.; Houk, K. N.; Schaefer, H. F., III; Schleyer, P. v. R. J. Comput. Chem. 2007, 28, 344–361. doi:10.1002/jcc.20532
Return to citation in text: [1] -
Levandowski, B. J.; Houk, K. N. J. Am. Chem. Soc. 2016, 138, 16731–16736. doi:10.1021/jacs.6b10463
Return to citation in text: [1] -
Arrieta, A.; Cossío, F. P.; Lecea, B. J. Org. Chem. 2001, 66, 6178–6180. doi:10.1021/jo0158478
Return to citation in text: [1] -
García, J. I.; Mayoral, J. A.; Salvatella, L. Acc. Chem. Res. 2000, 33, 658–664. doi:10.1021/ar0000152
Return to citation in text: [1] -
García, J. I.; Mayoral, J. A.; Salvatella, L. Eur. J. Org. Chem. 2005, 85–90. doi:10.1002/ejoc.200400424
Return to citation in text: [1] -
Fernández, I.; Bickelhaupt, F. M. J. Comput. Chem. 2014, 35, 371–376. doi:10.1002/jcc.23500
Return to citation in text: [1] -
Sakata, K.; Fujimoto, H. Eur. J. Org. Chem. 2016, 4275–4278. doi:10.1002/ejoc.201600676
Return to citation in text: [1] -
Levandowski, B. J.; Zou, L.; Houk, K. N. J. Comput. Chem. 2016, 37, 117–123. doi:10.1002/jcc.24191
Return to citation in text: [1] -
Gallardo-Fuentes, S.; Lezana, N.; Lühr, S.; Galdámez, A.; Vilches-Herrera, M. J. Org. Chem. 2019, 84, 10825–10831. doi:10.1021/acs.joc.9b01390
Return to citation in text: [1]
| 6. | Lage, S.; Martínez-Estíbalez, U.; Sotomayor, N.; Lete, E. Adv. Synth. Catal. 2009, 351, 2460–2468. doi:10.1002/adsc.200900368 |
| 44. | Lafrance, M.; Rowley, C. N.; Woo, T. K.; Fagnou, K. J. Am. Chem. Soc. 2006, 128, 8754–8756. doi:10.1021/ja062509l |
| 42. | Martínez-Mora, E. I.; Caracas, M. A.; Escalante, C. H.; Espinoza-Hicks, C.; Quiroz-Florentino, H.; Delgado, F.; Tamariz, J. Synthesis 2016, 48, 1055–1068. doi:10.1055/s-0035-1561331 |
| 32. | Noland, W. E.; Lanzatella, N. P.; Venkatraman, L.; Anderson, N. F.; Gullickson, G. C. J. Heterocycl. Chem. 2009, 46, 1154–1176. doi:10.1002/jhet.198 |
| 53. | Ramírez-Gualito, K.; López-Mora, N.; Jiménez-Vázquez, H. A.; Tamariz, J.; Cuevas, G. J. Mex. Chem. Soc. 2013, 57, 267–275. doi:10.29356/jmcs.v57i4.189 |
| 54. | Argile, A.; Ruasse, M.-F. Tetrahedron Lett. 1980, 21, 1327–1330. doi:10.1016/s0040-4039(00)74567-9 |
| 55. | Shaik, S.; Epiotis, N. D. J. Am. Chem. Soc. 1978, 100, 18–29. doi:10.1021/ja00469a003 |
| 56. | Branchadell, V.; Oliva, A.; Bertrán, J. J. Mol. Struct.: THEOCHEM 1986, 138, 117–120. doi:10.1016/0166-1280(86)87014-2 |
| 48. | Zhao, Y.; Truhlar, D. G. J. Chem. Theory Comput. 2007, 3, 289–300. doi:10.1021/ct6002719 |
| 49. | Hohenstein, E. G.; Chill, S. T.; Sherrill, C. D. J. Chem. Theory Comput. 2008, 4, 1996–2000. doi:10.1021/ct800308k |
| 50. | Black, K.; Liu, P.; Xu, L.; Doubleday, C.; Houk, K. N. Proc. Natl. Acad. Sci. U. S. A. 2012, 109, 12860–12865. doi:10.1073/pnas.1209316109 |
| 51. | Espinoza-Hicks, C.; Montoya, P.; Bautista, R.; Jiménez-Vázquez, H. A.; Rodríguez-Valdez, L. M.; Camacho-Dávila, A. A.; Cossío, F. P.; Delgado, F.; Tamariz, J. J. Org. Chem. 2018, 83, 5347–5364. doi:10.1021/acs.joc.7b02344 |
| 47. | Mashraqui, S.; Keehn, P. Synth. Commun. 1982, 12, 637–645. doi:10.1080/00397918208061895 |
| 21. | Laha, J. K.; Dayal, N.; Singh, S.; Bhimpuria, R. Eur. J. Org. Chem. 2014, 5469–5475. doi:10.1002/ejoc.201402395 |
| 45. | Bautista, R.; Montoya, P. A.; Rebollar, A.; Burgueño, E.; Tamariz, J. Molecules 2013, 18, 10334–10351. doi:10.3390/molecules180910334 |
| 46. | Wurche, F.; Sicking, W.; Sustmann, R.; Klärner, F.-G.; Rüchardt, C. Chem. – Eur. J. 2004, 10, 2707–2721. doi:10.1002/chem.200305686 |
| 57. |
Fleming, I. Molecular Orbitals and Organic Chemical Reactions; John Wiley & Sons, Ltd: Chichester, United Kingdom, 2010. doi:10.1002/9780470689493
ISBN 978-0-470-746585. |
| 58. | Janiak, C. J. Chem. Soc., Dalton Trans. 2000, 3885–3896. doi:10.1039/b003010o |
| 59. | Salonen, L. M.; Ellermann, M.; Diederich, F. Angew. Chem., Int. Ed. 2011, 50, 4808–4842. doi:10.1002/anie.201007560 |
| 59. | Salonen, L. M.; Ellermann, M.; Diederich, F. Angew. Chem., Int. Ed. 2011, 50, 4808–4842. doi:10.1002/anie.201007560 |
| 60. | Mati, I. K.; Cockroft, S. L. Chem. Soc. Rev. 2010, 39, 4195–4205. doi:10.1039/b822665m |
| 61. | Wheeler, S. E.; Bloom, J. W. G. J. Phys. Chem. A 2014, 118, 6133–6147. doi:10.1021/jp504415p |
| 62. | Suresh, C. H.; Mohan, N.; Vijayalakshmi, K. P.; George, R.; Mathew, J. M. J. Comput. Chem. 2009, 30, 1392–1404. doi:10.1002/jcc.21162 |
| 76. | Mooibrock, T. J.; Gamez, P. CrystEngComm 2012, 14, 8462–8467. doi:10.1039/c2ce26205c |
| 76. | Mooibrock, T. J.; Gamez, P. CrystEngComm 2012, 14, 8462–8467. doi:10.1039/c2ce26205c |
| 58. | Janiak, C. J. Chem. Soc., Dalton Trans. 2000, 3885–3896. doi:10.1039/b003010o |
| 59. | Salonen, L. M.; Ellermann, M.; Diederich, F. Angew. Chem., Int. Ed. 2011, 50, 4808–4842. doi:10.1002/anie.201007560 |
| 62. | Suresh, C. H.; Mohan, N.; Vijayalakshmi, K. P.; George, R.; Mathew, J. M. J. Comput. Chem. 2009, 30, 1392–1404. doi:10.1002/jcc.21162 |
| 66. | Ringer, A. L.; Figgs, M. S.; Sinnokrot, M. O.; Sherrill, C. D. J. Phys. Chem. A 2006, 110, 10822–10828. doi:10.1021/jp062740l |
| 76. | Mooibrock, T. J.; Gamez, P. CrystEngComm 2012, 14, 8462–8467. doi:10.1039/c2ce26205c |
| 58. | Janiak, C. J. Chem. Soc., Dalton Trans. 2000, 3885–3896. doi:10.1039/b003010o |
| 59. | Salonen, L. M.; Ellermann, M.; Diederich, F. Angew. Chem., Int. Ed. 2011, 50, 4808–4842. doi:10.1002/anie.201007560 |
| 58. | Janiak, C. J. Chem. Soc., Dalton Trans. 2000, 3885–3896. doi:10.1039/b003010o |
| 59. | Salonen, L. M.; Ellermann, M.; Diederich, F. Angew. Chem., Int. Ed. 2011, 50, 4808–4842. doi:10.1002/anie.201007560 |
| 65. | Macias, A. T.; MacKerell, A. D., Jr. J. Comput. Chem. 2005, 26, 1452–1463. doi:10.1002/jcc.20281 |
| 63. | Takahashi, O.; Kohno, Y.; Nishio, M. Chem. Rev. 2010, 110, 6049–6076. doi:10.1021/cr100072x |
| 64. | Tsuzuki, S.; Fujii, A. Phys. Chem. Chem. Phys. 2008, 10, 2584–2594. doi:10.1039/b718656h |
| 65. | Macias, A. T.; MacKerell, A. D., Jr. J. Comput. Chem. 2005, 26, 1452–1463. doi:10.1002/jcc.20281 |
| 66. | Ringer, A. L.; Figgs, M. S.; Sinnokrot, M. O.; Sherrill, C. D. J. Phys. Chem. A 2006, 110, 10822–10828. doi:10.1021/jp062740l |
| 67. | Cabaleiro-Lago, E. M.; Rodríguez-Otero, J.; Peña-Gallego, Á. J. Phys. Chem. A 2008, 112, 6344–6350. doi:10.1021/jp8021979 |
| 68. | Zhang, X.; Lu, G.-p.; Xu, Z.-b.; Cai, C. ACS Sustainable Chem. Eng. 2017, 5, 9279–9285. doi:10.1021/acssuschemeng.7b02241 |
| 69. | Johnson, E. R.; Keinan, S.; Mori-Sánchez, P.; Contreras-García, J.; Cohen, A. J.; Yang, W. J. Am. Chem. Soc. 2010, 132, 6498–6506. doi:10.1021/ja100936w |
| 70. | Quiñonero, D.; Frontera, A.; Escudero, D.; Ballester, P.; Costa, A.; Deyà, P. M. Theor. Chem. Acc. 2008, 120, 385–393. doi:10.1007/s00214-008-0416-9 |
| 71. | Cayzer, T. N.; Paddon-Row, M. N.; Sherburn, M. S. Eur. J. Org. Chem. 2003, 4059–4068. doi:10.1002/ejoc.200300414 |
| 72. | Mehranfar, A.; Izadyar, M.; Khavani, M.; Housaindokht, M. R. Int. J. Quantum Chem. 2019, 119, e25878. doi:10.1002/qua.25878 |
| 73. | Krenske, E. H.; Houk, K. N. Acc. Chem. Res. 2013, 46, 979–989. doi:10.1021/ar3000794 |
| 74. | Zhang, H.; Piacham, T.; Drew, M.; Patek, M.; Mosbach, K.; Ye, L. J. Am. Chem. Soc. 2006, 128, 4178–4179. doi:10.1021/ja057781u |
| 75. | Kumar, G. S.; Satheeshkumar, R.; Kaminsky, W.; Platts, J.; Prasad, K. J. R. Tetrahedron Lett. 2014, 55, 5475–5480. doi:10.1016/j.tetlet.2014.08.036 |
| 53. | Ramírez-Gualito, K.; López-Mora, N.; Jiménez-Vázquez, H. A.; Tamariz, J.; Cuevas, G. J. Mex. Chem. Soc. 2013, 57, 267–275. doi:10.29356/jmcs.v57i4.189 |
| 78. | Wannere, C. S.; Paul, A.; Herges, R.; Houk, K. N.; Schaefer, H. F., III; Schleyer, P. v. R. J. Comput. Chem. 2007, 28, 344–361. doi:10.1002/jcc.20532 |
| 79. | Levandowski, B. J.; Houk, K. N. J. Am. Chem. Soc. 2016, 138, 16731–16736. doi:10.1021/jacs.6b10463 |
| 80. | Arrieta, A.; Cossío, F. P.; Lecea, B. J. Org. Chem. 2001, 66, 6178–6180. doi:10.1021/jo0158478 |
| 64. | Tsuzuki, S.; Fujii, A. Phys. Chem. Chem. Phys. 2008, 10, 2584–2594. doi:10.1039/b718656h |
| 67. | Cabaleiro-Lago, E. M.; Rodríguez-Otero, J.; Peña-Gallego, Á. J. Phys. Chem. A 2008, 112, 6344–6350. doi:10.1021/jp8021979 |
| 77. | Riley, K. E.; Pitoňák, M.; Černý, J.; Hobza, P. J. Chem. Theory Comput. 2010, 6, 66–80. doi:10.1021/ct900376r |
| 1. | Mantovani, S. M.; Moore, B. S. J. Am. Chem. Soc. 2013, 135, 18032–18035. doi:10.1021/ja409520v |
| 2. | Belal, A.; El-Gendy, B. E.-D. M. Bioorg. Med. Chem. 2014, 22, 46–53. doi:10.1016/j.bmc.2013.11.040 |
| 7. | Lorton, C.; Voituriez, A. Eur. J. Org. Chem. 2019, 5133–5150. doi:10.1002/ejoc.201900626 |
| 8. | Enders, D.; Wang, C.; Raabe, G. Synthesis 2009, 4119–4124. doi:10.1055/s-0029-1217069 |
| 9. | Hong, L.; Sun, W.; Liu, C.; Wang, L.; Wang, R. Chem. – Eur. J. 2010, 16, 440–444. doi:10.1002/chem.200902638 |
| 10. | Gorre, R.; Enagandhula, D.; Balasubramanian, S.; Akondi, S. M. Org. Biomol. Chem. 2020, 18, 1354–1358. doi:10.1039/c9ob02730k |
| 11. | Wang, H.; Wu, X.-F. Org. Lett. 2019, 21, 5264–5268. doi:10.1021/acs.orglett.9b01868 |
| 19. | Marchese, A. D.; Lind, F.; Mahon, Á. E.; Yoon, H.; Lautens, M. Angew. Chem., Int. Ed. 2019, 58, 5095–5099. doi:10.1002/anie.201900659 |
| 20. | Enders, D.; Greb, A.; Deckers, K.; Selig, P.; Merkens, C. Chem. – Eur. J. 2012, 18, 10226–10229. doi:10.1002/chem.201201493 |
| 21. | Laha, J. K.; Dayal, N.; Singh, S.; Bhimpuria, R. Eur. J. Org. Chem. 2014, 5469–5475. doi:10.1002/ejoc.201402395 |
| 22. | Speck, K.; Magauer, T. Beilstein J. Org. Chem. 2013, 9, 2048–2078. doi:10.3762/bjoc.9.243 |
| 23. | Bornadiego, A.; Díaz, J.; Marcos, C. F. J. Org. Chem. 2019, 84, 7426–7433. doi:10.1021/acs.joc.9b00381 |
| 24. | Hudkins, R. L.; Johnson, N. W.; Angeles, T. S.; Gessner, G. W.; Mallamo, J. P. J. Med. Chem. 2007, 50, 433–441. doi:10.1021/jm051074u |
| 25. | Sánchez, C.; Méndez, C.; Salas, J. A. Nat. Prod. Rep. 2006, 23, 1007–1045. doi:10.1039/b601930g |
| 26. | Schmidt, A. W.; Reddy, K. R.; Knölker, H.-J. Chem. Rev. 2012, 112, 3193–3328. doi:10.1021/cr200447s |
| 27. | Janosik, T.; Rannug, A.; Rannug, U.; Wahlström, N.; Slätt, J.; Bergman, J. Chem. Rev. 2018, 118, 9058–9128. doi:10.1021/acs.chemrev.8b00186 |
| 6. | Lage, S.; Martínez-Estíbalez, U.; Sotomayor, N.; Lete, E. Adv. Synth. Catal. 2009, 351, 2460–2468. doi:10.1002/adsc.200900368 |
| 11. | Wang, H.; Wu, X.-F. Org. Lett. 2019, 21, 5264–5268. doi:10.1021/acs.orglett.9b01868 |
| 21. | Laha, J. K.; Dayal, N.; Singh, S.; Bhimpuria, R. Eur. J. Org. Chem. 2014, 5469–5475. doi:10.1002/ejoc.201402395 |
| 4. | Tamariz, J.; Burgueño-Tapia, E.; Vázquez, M. A.; Delgado, F. Pyrrolizidine Alkaloids. In The Alkaloids; Knölker, H.-J., Ed.; Academic Press: Cambridge, U.S.A., 2018; Vol. 80, pp 1–331. doi:10.1016/s1099-4831(18)30022-1 |
| 5. | Robertson, J.; Stevens, K. Nat. Prod. Rep. 2017, 34, 62–89. doi:10.1039/c5np00076a |
| 22. | Speck, K.; Magauer, T. Beilstein J. Org. Chem. 2013, 9, 2048–2078. doi:10.3762/bjoc.9.243 |
| 23. | Bornadiego, A.; Díaz, J.; Marcos, C. F. J. Org. Chem. 2019, 84, 7426–7433. doi:10.1021/acs.joc.9b00381 |
| 24. | Hudkins, R. L.; Johnson, N. W.; Angeles, T. S.; Gessner, G. W.; Mallamo, J. P. J. Med. Chem. 2007, 50, 433–441. doi:10.1021/jm051074u |
| 25. | Sánchez, C.; Méndez, C.; Salas, J. A. Nat. Prod. Rep. 2006, 23, 1007–1045. doi:10.1039/b601930g |
| 3. | Robertson, J.; Stevens, K. Nat. Prod. Rep. 2014, 31, 1721–1788. doi:10.1039/c4np00055b |
| 4. | Tamariz, J.; Burgueño-Tapia, E.; Vázquez, M. A.; Delgado, F. Pyrrolizidine Alkaloids. In The Alkaloids; Knölker, H.-J., Ed.; Academic Press: Cambridge, U.S.A., 2018; Vol. 80, pp 1–331. doi:10.1016/s1099-4831(18)30022-1 |
| 26. | Schmidt, A. W.; Reddy, K. R.; Knölker, H.-J. Chem. Rev. 2012, 112, 3193–3328. doi:10.1021/cr200447s |
| 27. | Janosik, T.; Rannug, A.; Rannug, U.; Wahlström, N.; Slätt, J.; Bergman, J. Chem. Rev. 2018, 118, 9058–9128. doi:10.1021/acs.chemrev.8b00186 |
| 14. | Alvarez-Mico, X.; Jensen, P. R.; Fenical, W.; Hughes, C. C. Org. Lett. 2013, 15, 988–991. doi:10.1021/ol303374e |
| 17. | Shiri, M. Chem. Rev. 2012, 112, 3508–3549. doi:10.1021/cr2003954 |
| 18. | Chen, J.-B.; Jia, Y.-X. Org. Biomol. Chem. 2017, 15, 3550–3567. doi:10.1039/c7ob00413c |
| 86. | Gallardo-Fuentes, S.; Lezana, N.; Lühr, S.; Galdámez, A.; Vilches-Herrera, M. J. Org. Chem. 2019, 84, 10825–10831. doi:10.1021/acs.joc.9b01390 |
| 13. | Bass, P. D.; Gubler, D. A.; Judd, T. C.; Williams, R. M. Chem. Rev. 2013, 113, 6816–6863. doi:10.1021/cr3001059 |
| 19. | Marchese, A. D.; Lind, F.; Mahon, Á. E.; Yoon, H.; Lautens, M. Angew. Chem., Int. Ed. 2019, 58, 5095–5099. doi:10.1002/anie.201900659 |
| 20. | Enders, D.; Greb, A.; Deckers, K.; Selig, P.; Merkens, C. Chem. – Eur. J. 2012, 18, 10226–10229. doi:10.1002/chem.201201493 |
| 21. | Laha, J. K.; Dayal, N.; Singh, S.; Bhimpuria, R. Eur. J. Org. Chem. 2014, 5469–5475. doi:10.1002/ejoc.201402395 |
| 12. | Fernandez, L. S.; Sykes, M. L.; Andrews, K. T.; Avery, V. M. Int. J. Antimicrob. Agents 2010, 36, 275–279. doi:10.1016/j.ijantimicag.2010.05.008 |
| 81. | García, J. I.; Mayoral, J. A.; Salvatella, L. Acc. Chem. Res. 2000, 33, 658–664. doi:10.1021/ar0000152 |
| 11. | Wang, H.; Wu, X.-F. Org. Lett. 2019, 21, 5264–5268. doi:10.1021/acs.orglett.9b01868 |
| 15. | Sharma, V.; Kumar, P.; Pathak, D. J. Heterocycl. Chem. 2010, 491, 491–502. doi:10.1002/jhet.349 |
| 16. | Thanikachalam, P. V.; Maurya, R. K.; Garg, V.; Monga, V. Eur. J. Med. Chem. 2019, 180, 562–612. doi:10.1016/j.ejmech.2019.111680 |
| 53. | Ramírez-Gualito, K.; López-Mora, N.; Jiménez-Vázquez, H. A.; Tamariz, J.; Cuevas, G. J. Mex. Chem. Soc. 2013, 57, 267–275. doi:10.29356/jmcs.v57i4.189 |
| 82. | García, J. I.; Mayoral, J. A.; Salvatella, L. Eur. J. Org. Chem. 2005, 85–90. doi:10.1002/ejoc.200400424 |
| 83. | Fernández, I.; Bickelhaupt, F. M. J. Comput. Chem. 2014, 35, 371–376. doi:10.1002/jcc.23500 |
| 84. | Sakata, K.; Fujimoto, H. Eur. J. Org. Chem. 2016, 4275–4278. doi:10.1002/ejoc.201600676 |
| 85. | Levandowski, B. J.; Zou, L.; Houk, K. N. J. Comput. Chem. 2016, 37, 117–123. doi:10.1002/jcc.24191 |
| 36. | Yoshida, K.; Hayashi, K.; Yanagisawa, A. Org. Lett. 2011, 13, 4762–4765. doi:10.1021/ol201510u |
| 37. | Reddy, C. R.; Valleti, R. R.; Sathish, P. J. Org. Chem. 2017, 82, 2345–2354. doi:10.1021/acs.joc.6b02637 |
| 38. | Zhao, Y.; Yuan, Y.; Xu, M.; Zheng, Z.; Zhang, R.; Li, Y. Org. Biomol. Chem. 2017, 15, 6328–6332. doi:10.1039/c7ob01516j |
| 39. | Noland, W. E.; Lanzatella, N. P.; Dickson, R. R.; Messner, M. E.; Nguyen, H. H. J. Heterocycl. Chem. 2013, 50, 795–808. doi:10.1002/jhet.1571 |
| 11. | Wang, H.; Wu, X.-F. Org. Lett. 2019, 21, 5264–5268. doi:10.1021/acs.orglett.9b01868 |
| 19. | Marchese, A. D.; Lind, F.; Mahon, Á. E.; Yoon, H.; Lautens, M. Angew. Chem., Int. Ed. 2019, 58, 5095–5099. doi:10.1002/anie.201900659 |
| 21. | Laha, J. K.; Dayal, N.; Singh, S.; Bhimpuria, R. Eur. J. Org. Chem. 2014, 5469–5475. doi:10.1002/ejoc.201402395 |
| 28. | Liu, R.-R.; Wang, Y.-G.; Li, Y.-L.; Huang, B.-B.; Liang, R.-X.; Jia, Y.-X. Angew. Chem., Int. Ed. 2017, 56, 7475–7478. doi:10.1002/anie.201703833 |
| 29. | Petrone, D. A.; Kondo, M.; Zeidan, N.; Lautens, M. Chem. – Eur. J. 2016, 22, 5684–5691. doi:10.1002/chem.201600118 |
| 30. | Zeidan, N.; Beisel, T.; Ross, R.; Lautens, M. Org. Lett. 2018, 20, 7332–7335. doi:10.1021/acs.orglett.8b03310 |
| 31. | Ohno, M.; Shimizu, S.; Eguchi, S. Tetrahedron Lett. 1990, 31, 4613–4616. doi:10.1016/s0040-4039(00)97689-5 |
| 32. | Noland, W. E.; Lanzatella, N. P.; Venkatraman, L.; Anderson, N. F.; Gullickson, G. C. J. Heterocycl. Chem. 2009, 46, 1154–1176. doi:10.1002/jhet.198 |
| 33. | Xiao, D.; Ketcha, D. M. J. Heterocycl. Chem. 1995, 32, 499–503. doi:10.1002/jhet.5570320220 |
| 34. | Hosmane, R. S.; Hiremath, S. P.; Schneller, S. W. J. Chem. Soc., Perkin Trans. 1 1973, 2450–2453. doi:10.1039/p19730002450 |
| 35. | Noland, W. E.; Lee, C. K.; Bae, S. K.; Chung, B. Y.; Hahn, C. S.; Kim, K. J. J. Org. Chem. 1983, 48, 2488–2491. doi:10.1021/jo00163a011 |
| 32. | Noland, W. E.; Lanzatella, N. P.; Venkatraman, L.; Anderson, N. F.; Gullickson, G. C. J. Heterocycl. Chem. 2009, 46, 1154–1176. doi:10.1002/jhet.198 |
| 34. | Hosmane, R. S.; Hiremath, S. P.; Schneller, S. W. J. Chem. Soc., Perkin Trans. 1 1973, 2450–2453. doi:10.1039/p19730002450 |
| 35. | Noland, W. E.; Lee, C. K.; Bae, S. K.; Chung, B. Y.; Hahn, C. S.; Kim, K. J. J. Org. Chem. 1983, 48, 2488–2491. doi:10.1021/jo00163a011 |
| 32. | Noland, W. E.; Lanzatella, N. P.; Venkatraman, L.; Anderson, N. F.; Gullickson, G. C. J. Heterocycl. Chem. 2009, 46, 1154–1176. doi:10.1002/jhet.198 |
| 35. | Noland, W. E.; Lee, C. K.; Bae, S. K.; Chung, B. Y.; Hahn, C. S.; Kim, K. J. J. Org. Chem. 1983, 48, 2488–2491. doi:10.1021/jo00163a011 |
| 41. | Martínez-Mora, E. I.; Caracas, M. A.; Escalante, C. H.; Madrigal, D. A.; Quiroz-Florentino, H.; Delgado, F.; Tamariz, J. J. Mex. Chem. Soc. 2017, 60, 23–33. doi:10.29356/jmcs.v60i1.67 |
| 43. | CCDC-1987245 (for 9m) and -1987244 (for 10m) contain the supplementary crystallographic data for this paper. These data can be obtained free of charge from The Cambridge Crystallographic Data Centre via https://www.ccdc.cam.ac.uk/data_request/cif. |
| 40. | Quiroz-Florentino, H.; Hernández-Benitez, R. I.; Aviña, J. A.; Burgueño-Tapia, E.; Tamariz, J. Synthesis 2011, 1106–1112. doi:10.1055/s-0030-1258455 |
| 41. | Martínez-Mora, E. I.; Caracas, M. A.; Escalante, C. H.; Madrigal, D. A.; Quiroz-Florentino, H.; Delgado, F.; Tamariz, J. J. Mex. Chem. Soc. 2017, 60, 23–33. doi:10.29356/jmcs.v60i1.67 |
| 42. | Martínez-Mora, E. I.; Caracas, M. A.; Escalante, C. H.; Espinoza-Hicks, C.; Quiroz-Florentino, H.; Delgado, F.; Tamariz, J. Synthesis 2016, 48, 1055–1068. doi:10.1055/s-0035-1561331 |
© 2020 Escalante et al.; licensee Beilstein-Institut.
This is an Open Access article under the terms of the Creative Commons Attribution License (http://creativecommons.org/licenses/by/4.0). Please note that the reuse, redistribution and reproduction in particular requires that the authors and source are credited.
The license is subject to the Beilstein Journal of Organic Chemistry terms and conditions: (https://www.beilstein-journals.org/bjoc)