Abstract
The recent progresses of the application of trifluoromethanesulfonyl chloride, CF3SO2Cl, in the formation of C–CF3, C–SCF3, C–SOCF3, and C–Cl bonds are summarised in this second part of a two-part review published back-to-back on both sodium trifluoromethanesulfinate, CF3SO2Na, (Part 1) and trifluoromethanesulfonyl chloride, CF3SO2Cl (Part 2). There are many reactions in common between these two reagents but it should be noted that CF3SO2Cl reacts under reductive conditions while CF3SO2Na requires oxidative conditions. Electrophilic chlorination is obviously the exclusive preserve of CF3SO2Cl that has been exploited with emphasis in enantioselective chlorination.
Graphical Abstract
Introduction
In the preceding paper, we described the various uses of sodium trifluoromethanesulfinate in direct trifluoromethylation, trifluoromethylsulfenylation, trifluoromethylsufinylation and trifluoromethylsulfonylation reactions. We now focused this second part of the review on the similarly diverse uses of trifluoromethanesulfonyl chloride plus chlorination. This review appears in two parts that are published back-to-back. We encourage the readers to refer to Part 1 for a general introduction in the field [1].
Review
Trifluoromethanesulfonyl chloride (alternate name: triflyl chloride), CAS No. 421-83-0, MW 168.53, is a colourless liquid (bp 29–32 °C) soluble in dichloromethane, tetrahydrofuran and dioxane [2]. Up to recently, the predominant use of CF3SO2Cl was for triflate and triflamide formation. Indeed, CF3SO2Cl reacts with oxygen nucleophiles to generate triflate derivatives as highly electron-withdrawing substituent in order to act in nucleophilic substitutions and metal-catalysed coupling reactions as an excellent leaving group [2]. The reaction of CF3SO2Cl with nitrogen nucleophiles provides trifluoromethanesulfonamide (triflamide) derivatives, which are used in drugs and agrochemicals [3]. The C-trifluoromethylsulfonylation is less reported than the corresponding O- and N-trifluoromethylsulfonylations, although the resulting triflone group is an important synthetic tool for further functionalisation [4,5]. These sulfonylation reactions will not be further detailed hereafter. Instead, CF3SO2Cl, which is experiencing an advanced level of growth for the installation of the CF3 moiety onto a wide range of substrates, alone or simultaneously with the chlorine atom or the sulfonyl group, is the focus of this review. The direct introduction of CF3S and CF3S(O) motifs also occupies a prime position in this review.
1 Trifluoromethylation
Csp3–CF3 bond-forming reactions
Trifluoromethylation of silyl enol ethers and enol acetates: After their original reports on the trifluoromethylation of aromatics in 1990 (Csp2–CF3 bond-forming reactions; see later in the text, Scheme 24) [6,7], Kamigata and co-workers studied silyl enol ethers in 1997 in trifluoromethylation reactions. Kamigata’s group reported that in the presence of RuCl2(PPh3)3, in benzene at 120 °C, silyl enol ethers could furnish the corresponding α-trifluoromethylated carbonyls in low to moderate yields (Scheme 1) [8]. Nonetheless, important competition between the introduction of the CF3 group or a Cl atom was invariably observed in various ratio depending on the nature of the substrates. As for the mechanism of the reaction, the authors proposed a radical pathway that involved Ru(II)/Ru(III) metallic species (Scheme 1).
Scheme 1: Trifluoromethylation of silyl enol ethers.
Scheme 1: Trifluoromethylation of silyl enol ethers.
The trifluoromethylation of silyl enol ethers can also be adressed in a continuous-flow procedure. To do so, the appropriate ketones were transformed in situ into the corresponding silyl enol ethers, which were then reacted with CF3SO2Cl in the presence of Eosin Y under visible light irradiation (Scheme 2) [9]. Acetophenone derivatives with various substitution patterns as well as aliphatic or heteroaromatic ketones were equally well tolerated. This methodology offered the advantage of minimising the chlorination side reaction, consequently resulting in higher yields indifferently of the substrate.
Scheme 2: Continuous flow trifluoromethylation of ketones under photoredox catalysis.
Scheme 2: Continuous flow trifluoromethylation of ketones under photoredox catalysis.
Enol acetates as another type of masked enol(ates) also proved to be appropriate substrates to access α-trifluoromethylated ketones (Scheme 3) [10]. In the presence of 1 mol % of (4,4'-di-tert-butyl-2,2'-bipyridine)bis[(2-pyridinyl)phenyl]iridium(III) hexafluorophosphate, Ir(ppy)2(dtbbpy)PF6, various aryl enol acetates carrying electron-donating or electron-withdrawing groups were converted into the corresponding products in high yields. Moreover, the reaction was compatible with cyclic and acyclic branched enol acetates. Quite interestingly, when the reaction was performed using an aryl or alkylsulfonyl chloride, instead of trifluoromethanesulfonyl chloride, no extrusion of the SO2 moiety was observed, and the sulfonated products were recovered. The reaction mechanism involved excitation of the iridium catalyst under visible light to generate an Ir(III)* species, which was then oxidatively quenched by CF3SO2Cl to furnish Ir(IV) and the CF3 radical. Said radical was added on the substrate to form the radical species 1, which yielded the cationic intermediate 2 through oxidation by Ir(IV). The oxidation of compound 1 by means of CF3SO2Cl, regenerating the trifluoromethyl radical in the process, was also considered. Intermediate 2 was ultimately converted into the final product after liberating an acetyl cation, which was captured by a chloride anion to give acetyl chloride (Scheme 3).
Scheme 3: Trifluoromethylation of enol acetates.
Scheme 3: Trifluoromethylation of enol acetates.
Trifluoromethylation of olefins with cascade reactions: The most widely described type of reactions in which CF3SO2Cl and molecules carrying a C=C double bond are involved are actually cascade reactions that include a cyclisation or a group migration step. In this context, the acrylamide motif was a notably popular object of research, and served in several tandem trifluoromethylation/cyclisation processes. Dolbier and co-workers first proposed the use of N-arylacrylamides 3 to access trifluoromethylated 3,3-disubstituted 2-oxindoles 4 under photocatalytic conditions (Scheme 4) [11]. In the presence of Ru(phen)3Cl2 (phen = phenanthroline), a variety of N-arylacrylamides para-substituted on their aryl moiety by electron-donating or electron-withdrawing groups were converted into the corresponding oxindoles with similarly good yields. However, the reaction was compatible only with acrylamides bearing methyl or phenyl as R1 and R2 groups; for example, N-acyl and N-sulfonyl amides failed to react.
Scheme 4: Photoredox-catalysed tandem trifluoromethylation/cyclisation of N-arylacrylamides: a route to trifluoromethylated oxindole derivatives.
Scheme 4: Photoredox-catalysed tandem trifluoromethylation/cyclisation of N-arylacrylamides: a route to trifl...
Interestingly, Zhang and co-workers demonstrated that this reaction could be performed as well using bismuth oxybromide (BiOBr) nanosheets instead of a ruthenium complex as the photocatalyst (Scheme 5) [12]. The reaction unfortunately suffered from the same limitations. However, the scope of application was extended to substrates carrying more diverse R2 groups such as ethers, esters or alcohols.
Scheme 5: Tandem trifluoromethylation/cyclisation of N-arylacrylamides using BiOBr nanosheets catalysis.
Scheme 5: Tandem trifluoromethylation/cyclisation of N-arylacrylamides using BiOBr nanosheets catalysis.
In 2015, Yang, Xia and co-workers reported that trifluoromethylated oxindole derivatives could also be accessed from N-tosylacrylamides 5, via a similar pathway including an additional desulfonylation step (Scheme 6) [13]. Both electron-withdrawing and electron-donating groups on para-position of the aryl ring were tolerated, and provided comparable yields. On the other hand, the presence of a substituent in meta-position led to the formation of two regioisomers. As for ortho-substituted substrates, they furnished even more complex reaction mixtures, probably because of steric hindrance.
Scheme 6: Photoredox-catalysed trifluoromethylation/desulfonylation/cyclisation of N-tosyl acrylamides (bpy: 2,2’-bypyridine).
Scheme 6: Photoredox-catalysed trifluoromethylation/desulfonylation/cyclisation of N-tosyl acrylamides (bpy: ...
The most influential parameter however proved to be the nature of the substituent linked to the nitrogen atom. Indeed, when replacing the alkyl group by an aryl moiety, a totally different product was obtained predominantly: the α-aryl-β-trifluoromethyl amide 6. This compound was determined to be issued from a trifluoromethylation/1,4-aryl shift/desulfonylation cascade reaction (Scheme 7).
Scheme 7: Photoredox-catalysed trifluoromethylation/aryl migration/desulfonylation of N-aryl-N-tosylacrylamides.
Scheme 7: Photoredox-catalysed trifluoromethylation/aryl migration/desulfonylation of N-aryl-N-tosylacrylamid...
This reaction could be performed on various N-aryl,N-tosylacrylamides with moderate to good yields. The nature of the substituents of the sulfonamide group showed little influence on the efficiency of the process. On the contrary, better results were obtained when realising the reaction on substrates featuring electron-donating groups on the phenyl ring directly bound to the nitrogen atom. It was also shown that the reaction proceeded equally smoothly when using BiOBr nanosheets catalysis [14].
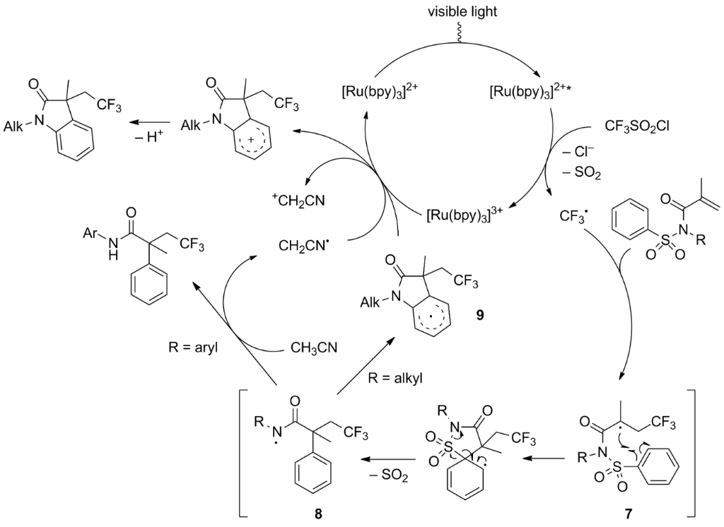
The proposed mechanism of these two reactions is represented in Scheme 8. Alongside the classical pathway, the trifluoromethyl radical was generated and added onto the N-tosylacrylamide. The obtained radical species 7 then underwent an aryl migration/desulfonylation cascade reaction to furnish intermediate 8. In the case of an aryl substituted substrate, this nitrogen radical being stabilised, it directly performed an hydrogen abstraction on acetonitrile to lead to the corresponding α-aryl-β-trifluoromethyl amide. On the other hand, for N-alkylacrylamides, intermediate 8 preferentially cyclised to yield intermediate 9, which ultimately gave access to the oxindole derivative product.
Scheme 8: Proposed mechanism for the trifluoromethylation/aryl migration/desulfonylation (/cyclisation) of N-tosylacrylamides.
Scheme 8: Proposed mechanism for the trifluoromethylation/aryl migration/desulfonylation (/cyclisation) of N-...
Yang, Xia and co-workers were also interested in structurally close substrates that are N-methacryloyl-N-methylbenzamide derivatives 9. It was found out that such compounds could take part in similar catalytic cycles, without CO extrusion, to yield trifluoromethylated isoquinolindione derivatives 10 in moderate to good yields (Scheme 9).
Scheme 9: Photoredox-catalysed trifluoromethylation/cyclisation of N-methacryloyl-N-methylbenzamide derivatives.
Scheme 9: Photoredox-catalysed trifluoromethylation/cyclisation of N-methacryloyl-N-methylbenzamide derivativ...
Additionally, Zhang and co-workers reported once again that BiOBr nanosheet catalysis was also suitable to carry out this reaction [12]. The same tendencies in term of reactivity of the substrates depending on their substitution pattern was observed, and similar yields were achieved (Scheme 10). Similarly, Ir(ppy)2(dtbbpy)PF6 was also described as an appropriate catalyst for this cascade reaction [15].
Scheme 10: Photoredox-catalysed trifluoromethylation/cyclisation of N-methylacryloyl-N-methylbenzamide derivatives using BiOBr nanosheets.
Scheme 10: Photoredox-catalysed trifluoromethylation/cyclisation of N-methylacryloyl-N-methylbenzamide derivat...
Another cyclisation pattern was observed for other benzylacrylamide derivatives: indeed, in the case of the N-benzylmethacrylamide derivative 11, the formation of an azaspiro[4,5]decyl system through a dearomitising spirocyclisation was observed (Scheme 11) [16].
Scheme 11: Photoredox-catalysed trifluoromethylation/dearomatising spirocyclisation of a N-benzylacrylamide derivative (ppy = 2-phenylpyridyl).
Scheme 11: Photoredox-catalysed trifluoromethylation/dearomatising spirocyclisation of a N-benzylacrylamide de...
Other motifs than acrylamides were also investigated for the realisation of cascade reactions including a trifluoromethylation step. This was notably the case of unactivated alkenes: Dolbier and co-workers showed that such compounds could be involved in photoredox-catalysed trifluoromethylation reactions, followed by a 6-exo radical cyclisation, to yield the tetralin derivative 12 (Scheme 12) [17].
Scheme 12: Photoredox-catalysed trifluoromethylation/cyclisation of an unactivated alkene.
Scheme 12: Photoredox-catalysed trifluoromethylation/cyclisation of an unactivated alkene.
In 2017, Liu and co-workers focused on N-alkenylurea derivatives 13, and from which they developed an asymmetric radical aminotrifluoromethylation methodology, based on a copper salt/chiral phosphoric acid dual-catalytic system [18,19]. This way, they could access a variety of α-tertiary pyrrolidines carrying a β-trifluoromethyl group, in high yields and enantioselectivities (Scheme 13). The reaction conditions were compatible with various substituents on both aryl rings, as well as with unbranched substrates. Interestingly, for some substrates, this method permitted to reach better results than with a previously developed approach using Togni’s reagent. The authors proposed the mechanism represented on Scheme 13. First, the trifluoromethyl radical and the chiral mono or diphosphonate Cu(II) 14 or 15 were generated via a single-electron transfer (SET) between CF3SO2Cl and the association CuBr/chiral phosphoric acid. In the process, SO2 and HCl were released, but the latter was scavenged by Ag2CO3, minimising its impact on the reaction process by notably avoiding hydroamination side reactions. The trifluoromethyl radical was then added onto the substrate, furnishing radical intermediate 16, which was trapped by compounds 14 or 15 to form the radical copper species 17. From this intermediate, two plausible pathways were considered. First, the alkyl radical can be trapped by copper phosphate to provide the copper(III) species 18. During this step, facial selectivity originated partly from hydrogen-bonding interactions between the chiral phosphate and the N–H bond adjacent to the aryl group. Ion pairing interaction in a concerted transition state probably intervened in this phenomenon as well. The final product was then obtained after reductive elimination of species 18. The other envisaged pathway was the oxidation of intermediate 17 through a SET to form the cationic species 19, which would then afford the final product after a C–N bond formation.
Scheme 13: Asymmetric radical aminotrifluoromethylation of N-alkenylurea derivatives using a dual CuBr/chiral phosphoric acid catalytic system.
Scheme 13: Asymmetric radical aminotrifluoromethylation of N-alkenylurea derivatives using a dual CuBr/chiral ...
Liu and co-workers also proposed a racemic version of this reaction, replacing the chiral phosphoric acid with diphenyl phosphate (Scheme 14) [20].
Scheme 14: Aminotrifluoromethylation of an N-alkenylurea derivative using a dual CuBr/phosphoric acid catalytic system.
Scheme 14: Aminotrifluoromethylation of an N-alkenylurea derivative using a dual CuBr/phosphoric acid catalyti...
Liu’s research group was interested as well in 1,2-difunctionalisation of unactivated alkenes. In this context, they developed two distinct approaches allowing to perform radical-mediated 1,2-formyl- [21] or 1,2-cyanotrifluoromethylations [22] of alkenes under photoredox catalysis. These reactions proceeded through a formyl or a cyano group migration triggered by the addition of the trifluoromethyl radical onto the alkene moiety. Both methodologies were developed using Togni’s hypervalent iodine reagent as the CF3 source, but it was found that they also proceeded smoothly with CF3SO2Cl (Scheme 15).
Scheme 15: 1,2-Formyl- and 1,2-cyanotrifluoromethylation of alkenes under photoredox catalysis.
Scheme 15: 1,2-Formyl- and 1,2-cyanotrifluoromethylation of alkenes under photoredox catalysis.
Chlorotrifluoromethylation of alkenes: As clearly demonstrated in the works described above, CF3SO2Cl is a reliable CF3 source under photoredox catalysis. However, its use under similar conditions can also allow the simultaneous introduction of the CF3 moiety and a Cl atom onto alkenes or alkynes. Kamigata’s group was the first to report such type of transformation in 1989 [23,24]. In the presence of RuCl2(PPh3)2 at 120 °C, a variety of styrene derivatives as well as cyclic and acyclic alkenes were converted into their chlorotrifluoromethylated analogues (Scheme 16). Generally, the reaction proceeded particularly well with terminal and internal alkenes carrying an electron-withdrawing group. On the contrary, styrene derivatives bearing an electron-donating group provided less satisfying yields. Such results can be explained by the partial consumption of the expected product in a side dehydrochlorination reaction. Likewise, the dehydrochlorinated product was recovered exclusively when performing the reaction on 1-phenyl-1,3-butadiene, which tended to indicate that such process was all the more favoured as the conjugation of the final product increased. Cyclic olefins and dienes proved to be more problematic substrates because they raised stereoselectivity issues and afforded poor yields. As for the mechanism, the reaction followed a similar pathway as the one proposed by the same group for the trifluoromethylation of silyl enol ethers (see Scheme 1); except that radical 20 underwent a chlorine atom abstraction to furnish the chlorotrifluoromethylated product (Scheme 16).
Scheme 16: First simultaneous introduction of the CF3 moiety and a Cl atom onto alkenes.
Scheme 16: First simultaneous introduction of the CF3 moiety and a Cl atom onto alkenes.
Several years later this transformation of alkenes was re-investigated under photoredox catalysis by Jung, Han and co-workers [25]. By replacing RuCl2(PPh3)2 with Ru(phen)3Cl2 (phen: phenanthroline) at room temperature and adding a base, a variety of alkenes furnished the corresponding chlorotrifluoromethylated products under much milder conditions and with higher yields (Scheme 17). Moreover, tuning of the reaction conditions allowed to broaden the scope of the reaction: Indeed, it was extended to terminal alkenes carrying various functional groups, such as protected amines, unprotected alcohols and aldehydes, as well as ether, ester, or amide moieties. Branched and internal alkenes also proved to be compatible with these conditions. Interestingly, no dehydrochlorination reaction was mentioned for any of the studied substrates. The reaction plausibly proceeded through a mechanism similar to the one previously proposed by Kamigata and co-workers. The SET generated CF3 radical attacked preferentially the less hindered carbon of the alkene to provide the more stable tertiary radical 21. Said radical was then oxidised by Ru(phen)33+, yielding the cationic species 22, which was subsequently trapped by a chloride anion to afford the expected product (Scheme 17). A chain propagation pathway involving the reduction of CF3SO2Cl by radical intermediate 21 was also considered. This, however, was declared unlikely as it was observed that the reaction needed continuous irradiation to proceed efficiently.
Scheme 17: Chlorotrifluoromethylaltion of terminal, 1,1- and 1,2-substituted alkenes.
Scheme 17: Chlorotrifluoromethylaltion of terminal, 1,1- and 1,2-substituted alkenes.
Unfortunately, Dolbier and co-workers demonstrated in 2015 that this catalytic system was inefficient when switching the substrates to electron-deficient alkenes [26]. Such compounds could nonetheless be converted into the corresponding chlorotrifluoromethylated products by replacing the Ru(II) catalyst by Cu(dap)2Cl (dap = 2,9-bis(p-anisyl)-1,10-phenanthroline) (Scheme 18). This change of reactivity can supposedly be attributed to the high reduction potential of Cu(dap)2Cl in the excited state, and its important ability to mediate the transfer of the Cl atom. Consequently, a variety of electron-deficient alkenes, such as N-arylacrylamides, acrylonitrile, acrylate and enone derivatives furnished their chlorotrifluoromethylated analogues in moderate to excellent yields. Interestingly, performing the reaction on 1,1-disubstituted alkenes did not impact the yield significantly, while 1,2-disubstituted alkenes provided slightly less satisfying results.
Scheme 18: Chorotrifluoromethylation of electron-deficient alkenes (DCE = dichloroethane).
Scheme 18: Chorotrifluoromethylation of electron-deficient alkenes (DCE = dichloroethane).
Chlorotrifluoromethylation reactions can also be included in cascade radical addition/cyclisation processes, as demonstrated by Miyabe and co-workers [27]. Thus, in typical photoredox catalysis conditions, N-allyl-N-(benzyloxy)methacrylamide 23 could undergo the addition of the CF3 radical, followed by a cyclisation step and a final chlorine abstraction to yield the corresponding cyclic compound, albeit in low yield and with poor regio- and diastereoselectivity (Scheme 19). Interestingly, the authors proposed a mechanism involving a chain propagation pathway, in contrast to the work of Jung and Han.
Scheme 19: Cascade trifluoromethylation/cyclisation/chlorination of N-allyl-N-(benzyloxy)methacrylamide.
Scheme 19: Cascade trifluoromethylation/cyclisation/chlorination of N-allyl-N-(benzyloxy)methacrylamide.
A similar cascade reaction was also performed on diethyl 2-allyl-2-(3-methylbut-2-en-1-yl)malonate (24) to yield a mixture of two cyclic CF3 products, the main one being deprived of the chlorine atom (Scheme 20). Unfortunately, no more investigation was carried out on this type of cascade reactions.
Scheme 20: Cascade trifluoromethylation/cyclisation (/chlorination) of diethyl 2-allyl-2-(3-methylbut-2-en-1-yl)malonate.
Scheme 20: Cascade trifluoromethylation/cyclisation (/chlorination) of diethyl 2-allyl-2-(3-methylbut-2-en-1-y...
Trifluoromethylchlorosulfonylation of alkenes: It was previously evocated that the system CF3SO2Cl/[Cu(dap)2]Cl could be used for the simultaneous introduction of the CF3 moiety and a chlorine atom onto electron-deficient alkenes (see Scheme 18). However, Reiser and co-workers observed that such reagent combination could also be exploited for the trifluoromethylchlorosulfonylation of a limited range of alkenes [28]. Thus, allylbenzene derivatives carrying diverse substituents were successfully converted into the expected products with moderate to high yields, as well as cyclic or acyclic aliphatic alkenes (Scheme 21). Nevertheless, internal alkenes suffered from regio- and stereoselectivity issues, and often produced mixtures of isomers. On the other hand, when substrates featuring a donor atom close to the C=C double bond were submitted to these reaction conditions, chlorotrifluoromethylation was predominantly observed, which was consistent with Dolbier’s work. Moreover, similar results were obtained for styrene derivatives, although with a subsequent dehydrochlorination step. If the nature of the substrate undoubtedly played an important role in the reaction process, it was also the case of the catalyst. Indeed, the use of other usual photocatalysts such as [Ru(bpy)3]Cl2, [Ir(ppy)2(dtbbpy)]PF6 or Eosin Y favoured the introduction of the CF3 group and a chlorine atom, with SO2 extrusion. This phenomenon can be explained by the presumed ability of copper to coordinate SO2Cl− (intermediate 25), preventing it from decomposing into SO2 and Cl− and consequently allowing it to be transferred as a whole onto radical 26. However, this bonding interaction appeared to be weak enough to possibly be destabilised in the presence of a donor atom on the alkene substrate, thus favouring SO2 extrusion and chlorotrifluoromethylation.
Scheme 21: Trifluoromethylchlorosulfonylation of allylbenzene derivatives and aliphatic alkenes.
Scheme 21: Trifluoromethylchlorosulfonylation of allylbenzene derivatives and aliphatic alkenes.
The obtained CF3-containing sulfonyl chloride derivatives could then be involved in another photocatalytic sequence in the presence of α-methylstyrene and water to access β-hydroxysulfones 27 in moderate to good yields (Scheme 22) [29]. Interestingly, this process can be realised in one-pot.
Scheme 22: Access to β-hydroxysulfones from CF3-containing sulfonyl chlorides through a photocatalytic sequence.
Scheme 22: Access to β-hydroxysulfones from CF3-containing sulfonyl chlorides through a photocatalytic sequenc...
Reiser and co-workers also envisioned that using alkenols as substrates in their previously developed reaction conditions could open an access to trifluoromethylated sultones via a cascade trifluoromethylchlorosulfonylation/cyclisation process [30]. The reaction indeed proceeded smoothly, furnishing γ- and δ-sultones in good to excellent yields (Scheme 23). ε-Sultones, on the other hand, proved to be more difficult to obtain. The first step appeared to be the trickiest one, as it could be anticipated considering Reiser’s previous reports. Once again, the results were strongly substrate-dependant; indeed the reaction was particularly sensitive to steric effects. The use of alkenols bearing substituents on the double bond or close to it favoured the formation of the chlorotrifluoromethylated products. The mechanism of the reaction was supposedly identical to the one proposed for the trifluoromethylchlorosulfonylation of simple alkenes, although obviously including an additional step of intramolecular cyclisation. An alternative radical chain process was also considered this time, involving notably the reaction of radical 28 with CF3SO2Cl to produce CF3• and intermediate 29.
Scheme 23: Cascade trifluoromethylchlorosulfonylation/cyclisation reaction of alkenols: a route to trifluoromethylated sultones.
Scheme 23: Cascade trifluoromethylchlorosulfonylation/cyclisation reaction of alkenols: a route to trifluorome...
Csp2–CF3 bond-forming reactions
Trifluoromethylation of arenes and heteroarenes: The pioneering example of such transformation was reported in 1990 by Kamigata and co-workers, and described the introduction of the CF3 moiety onto arenes in the presence of a catalytic amount of RuCl2(PPh3)3 (Scheme 24) [6,7]. This reaction, however, suffered from limitations, such as its poor regioselectivity in the case of monosubstituted arenes, and its incompatibility with aromatics bearing strong electron-withdrawing groups. The authors proposed the mechanism represented in Scheme 24. A redox-transfer reaction occurred between CF3SO2Cl and the Ru(II) catalyst producing radical anion 30, which then furnished radical 31 through homolytic cleavage. After a step of SO2 extrusion, the obtained trifluoromethyl radical 32 was added to the aromatic substrate to afford cyclohexadienyl radical 33, which was converted into the expected product after a proton abstraction mediated by the R(III)–Cl species.
Scheme 24: First direct C–H trifluoromethylation of arenes and proposed mechanism.
Scheme 24: First direct C–H trifluoromethylation of arenes and proposed mechanism.
The introduction of the CF3 motif on unactivated arenes was studied in more detail by MacMillan’s group in 2011 [31]. They proposed a new methodology based on the use of photoredox catalysts such as Ru(phen)3Cl2 or Ir(Fppy)3, (Fppy = 2-(2,4-difluorophenyl)pyridine), under the irradiation of a simple household light bulb. This way, they were able to considerably extend the scope of application of the reaction. Indeed, electron-rich five-atom heteroarenes, electron-deficient six-atom heteroarenes as well as unactivated arenes were easily converted into their trifluoromethylated analogues in high yields (Scheme 25). Although the regioselectivity of the reaction was overall excellent for heteroarenes, it proved to be less satisfying for substituted arenes. Further investigations allowed the authors to propose a detailed mechanism, represented in Scheme 25. After excitation of the ruthenium catalyst through visible light irradiation, a first SET reduction of CF3SO2Cl occurred, ultimately leading to the formation of the stabilised trifluoromethyl radical after releasing SO2 and chloride anion. This electron deficient radical was then added on the most electron-rich position of the arene substrate to yield cyclohexadienyl radical 34, which was readily converted into the cationic species 35 through a second SET regenerating the Ru(II) catalyst. Finally, the cationic intermediate 35 underwent a simple re-aromatising deprotonation to yield the expected product.
Scheme 25: Direct C–H trifluoromethylation of five- and six-membered (hetero)arenes under photoredox catalysis.
Scheme 25: Direct C–H trifluoromethylation of five- and six-membered (hetero)arenes under photoredox catalysis....
Later Wolf and co-workers conducted electrochemical investigations on this type of reaction and proposed a slightly revised mechanism in which the second SET step involved directly the substrate instead of a trifluoromethylated radical such as species 34. The CF3 radical then coupled with the generated radical intermediate 36 (Scheme 26) [32].
Scheme 26: Alternative pathway for the C–H trifluoromethylation of (hetero)arenes under photoredox catalysis.
Scheme 26: Alternative pathway for the C–H trifluoromethylation of (hetero)arenes under photoredox catalysis.
Blechert and co-workers thereafter reported that the trifluoromethylation of (hetero)arenes could also be performed under heterogeneous catalysis [33]. To this aim, the Ru- or Ir-based catalysts were replaced with a mesoporous graphitic carbon nitride polymer (mpg-CN), which offers the advantage of being cheap, metal-free and recyclable. A variety of heteroarenes, like pyrroles, oxazoles, furanes, thiophenes, indoles and pyrazines were successfully converted into the corresponding trifluoromethylated products in moderate to good yields (Scheme 27). Remarkably, a side chlorination reaction was observed during the optimisation phase, which was possible to minimise by increasing the catalyst loading (see later in the text for other chlorinations with CF3SO2Cl).
Scheme 27: Direct C–H trifluoromethylation of five- and six-membered ring (hetero)arenes using heterogeneous catalysis.
Scheme 27: Direct C–H trifluoromethylation of five- and six-membered ring (hetero)arenes using heterogeneous c...
Indirectly, CF3SO2Cl intervened in the trifluoromethylation of (hetero)arenes; indeed, when reacted with zinc in water, it afforded the zinc sulfinate salt (CF3SO2)2Zn, which demonstrated great efficiency in introducing the CF3 moiety on (hetero)aromatic rings [34].
Trifluoromethylation of olefins: In 2005, Vogel and co-workers showed that terminal alkenes could be trifluoromethylated by means of CF3SO2Cl via a palladium-catalysed desulfitative Mizoroki–Heck reaction, in classical solvents or in an ionic liquid media, to yield the corresponding CF3 alkenes (Scheme 28) [35,36].
Scheme 28: Trifluoromethylation of terminal olefins.
Scheme 28: Trifluoromethylation of terminal olefins.
As for Yu, Zhang and co-workers, they described the trifluoromethylation of two enamides under photocatalytic conditions, using similar conditions as those they proposed for the introduction of the CF3 moiety on enol acetates (Scheme 29) [37].
Scheme 29: Trifluoromethylation of enamides.
Scheme 29: Trifluoromethylation of enamides.
Anecdotally, CF3SO2Cl was evaluated for the trifluoromethylation of allylsilanes, but, disappointingly, gave lower yields than Togni’s hypervalent iodine reagent [38]. More recently, Balaraman and co-workers studied extensively the reaction of β-nitroalkenes with trifluoromethanesulfonyl chloride [39]. They found out that in the presence of the photocatalyst Eosin Y, under visible-light irradiation, such substrates could be selectively converted into (E)-1-trifluoromethylalkenes in moderate to good yields (Scheme 30). A plausible mechanism for this reaction was proposed: first, Eosin Y reached its photoexcited singlet state by visible light irradiation, then proceeded to reduce CF3SO2Cl through SET. As usual, the formed radical anion 37 immediately collapsed to give CF3•, generating SO2 and a chloride anion in the process. The trifluoromethyl radical then reacted with the β-nitroalkene to furnish radical intermediate 38, which was reduced by the Eosin Y radical cation to yield the expected product after elimination of NO2. This proposed mechanism can rationalise several limitations of the reaction, such as its incompatibility with aliphatic β-nitroalkenes because of the lower stability of the radical intermediate 38 generated. The variation of stability of this species also explained the higher yields obtained with β-nitrostyrene derivatives substituted by electron-withdrawing groups.
Scheme 30: (E)-Selective trifluoromethylation of β-nitroalkenes under photoredox catalysis.
Scheme 30: (E)-Selective trifluoromethylation of β-nitroalkenes under photoredox catalysis.
Trifluoromethylation of alkynes: o-Azidoarylalkynes also proved to be interesting substrates for cascade reactions, allowing to obtain the 3-trifluoromethylated indole 39 albeit in low yield (Scheme 31) [40].
Scheme 31: Photoredox-catalysed trifluoromethylation/cyclisation of an o-azidoarylalkynes.
Scheme 31: Photoredox-catalysed trifluoromethylation/cyclisation of an o-azidoarylalkynes.
Chlorotrifluoromethylation of alkynes: In the continuity of their work on alkenes, Jung and Han got interested in the chlorotrifluoromethylation of internal alkynes [41]. In the presence of 2 mol % of Ir(ppy)3 and Li2CO3, under blue LED irradiation, this type of substrate was easily converted into the corresponding alkenes through a mechanism similar to the one described for alkenes (Scheme 32). It is noteworthy that the introduction of the chlorine atom took selectively place from a direction anti to the CF3 group, probably because of electrostatic repulsion. The reaction proceeded smoothly with prop-1-yn-1-ylbenzene derivatives, indifferently to the substitution pattern of the aryl moiety. As for the R group, alkyl, ester or amide moieties were well-tolerated. Terminal alkynes could also be submitted to these conditions successfully, albeit in lower yields.
Scheme 32: Regio- and stereoselective chlorotrifluoromethylation of alkynes.
Scheme 32: Regio- and stereoselective chlorotrifluoromethylation of alkynes.
2 Trifluoromethylsulfenylation
In 2016, CF3SO2Cl was proposed for the first time as a new electrophilic trifluoromethylsulfenylation reagent by our research group [42]. To achieve that kind of transformation, said reagent was used under reductive conditions in order to generate in situ the highly reactive CF3SCl, which could subsequently be trapped by nucleophiles.
Indole derivatives proved to be appropriate substrates for this reaction, and a variety of them were selectively converted into their 3-trifluoromethylated analogues in the presence of trimethylphosphine, with moderate to excellent yields (Scheme 33). The higher nucleophilicity of trimethylphosphine versus triphenylphosphine and the water solubility of trimethylphosphine oxide byproducts were essential elements in choosing the reducing agent. Both electron-withdrawing and donating groups were well-tolerated on various positions of the benzo-fused ring, without tremendous influence on the yields. Similarly, substrates featuring alkyl and aryl substituents in position 1 or 2 were compatible with the reaction conditions. On the other hand, 2-trifluoromethylsulfenylation did not occur with 3-substituted substrates. Other azaarenes, such as pyrrole derivatives, as well as enamines or silyl enol ethers were also compatible with these conditions, and furnished the corresponding products in moderate to good yields. The key step of the reaction comprises the formation of an halogen bond between the positive electrostatic potential on the outer side of the chlorine atom and the lone pair of the phosphorus atom of the phosphine. This phenomenon indeed triggered the cleavage of the S–Cl bond, producing chlorophosphonium sulfinate 40, which was then readily converted into an O-sulfinatophosphonium chloride 41. The latter finally gave access to the corresponding sulfinyl chloride through an Arbuzov collapse. The obtained sulfinyl chloride then underwent a similar sequence to yield CF3SCl, which then reacted with the chosen nucleophile to provide the trifluoromethylsulfenylated analogue (Scheme 33).
Scheme 33: PMe3-mediated trifluoromethylsulfenylation by in situ generation of CF3SCl.
Scheme 33: PMe3-mediated trifluoromethylsulfenylation by in situ generation of CF3SCl.
Yi and co-workers reported that the reaction could also be performed in acetonitrile at 90 °C, with diethyl phosphite as the reducing agent (Scheme 34) [43]. These modifications allowed to get improved yields for the trifluoromethylsulfenylation of indole and pyrrole derivatives. Morevover, the scope could be extended to other substrates of interest, such as activated benzene derivatives and thiols.
Scheme 34: (EtO)2P(O)H-mediated trifluoromethylsulfenylation of (hetero)arenes and thiols.
Scheme 34: (EtO)2P(O)H-mediated trifluoromethylsulfenylation of (hetero)arenes and thiols.
Similarly, Lu, Zhao and co-workers found out that excellent yields could also be achieved for indole derivatives when replacing PMe3 or (EtO)2P(O)H by cheap and stable triphenylphosphine in acetonitrile at 60 °C [44]. The addition of catalytic amounts of sodium iodide, while not being essential for the production of the trifluoromethylsulfenylated substrates, permitted to slightly increase the yields (Scheme 35). For that matter, excellent yields were achieved indifferently of the nature and position of the substrate substituents. Notably, this procedure allowed for the synthesis of 2-trifluoromethylsulfenylated 3-methylindole, which could not have been realised with the two previously evocated methodologies. The isolated yield was nonetheless quite low (38%). As opposed to previous reports, the proposed mechanism does not include the free phosphine as the reducing agent, but rather iodotriphenylphosphonium iodide 42. This species was supposedly generated from PPh3 and I2, itself issued from the reaction of CF3SO2Cl, PPh3 and NaI. Species 42 was able to reduce CF3SO2Cl through the nucleophilic attack of the sulfur atom by the iodine counter anion, leading to the formation of intermediate 43, which ultimately furnished CF3SOCl, regenerating I2 in the process. A second reduction then took place, followed by the electrophilic trifluoromethylsulfenylation step. According to this proposed mechanism, bis(trifluoromethyl)disulfide (CF3SSCF3) was generated but its possible role in the trifluoromethylsulfenylation was not evoked.
Scheme 35: PPh3/NaI-mediated trifluoromethylsulfenylation of indole derivatives.
Scheme 35: PPh3/NaI-mediated trifluoromethylsulfenylation of indole derivatives.
A slight tuning of the reaction conditions, including notably a replacement of NaI by n-Bu4NI, as well as the increase of reagents quantities permitted to perform the trifluoromethylsulfenylation of thiophenol derivatives at room temperature (Scheme 36) [45]. These conditions proved to be tolerant with variously substituted aryl thiols, but no conversion was observed for any aliphatic substrates.
Scheme 36: PPh3/n-Bu4NI mediated trifluoromethylsulfenylation of thiophenol derivatives.
Scheme 36: PPh3/n-Bu4NI mediated trifluoromethylsulfenylation of thiophenol derivatives.
3 Trifluoromethylsulfinylation
Following a similar concept, CF3SO2Cl could also be used in an interrupted reduction to selectively furnish CF3SOCl, thus allowing the trifluoromethylsulfinylation of nucleophiles. The first reports on the introduction of the SOCF3 group using such strategy dated back to 2007 and 2009, but were, however, limited to benzylamine [46,47]. Using 1 equivalent of CF3SO2Cl and PPh3 in the presence of 2 equivalents of Et3N, benzylamine was converted into the corresponding product in 47% yield (Scheme 37).
Scheme 37: PPh3/Et3N mediated trifluoromethylsulfinylation of benzylamine.
Scheme 37: PPh3/Et3N mediated trifluoromethylsulfinylation of benzylamine.
A more extensive study of this type of reaction was carried out by our research group in 2017 [48]. Using 1.5 equivalents of CF3SO2Cl and tricyclohexylphosphine, the trifluoromethylsulfinylation of various indole and pyrrole derivatives featuring diverse functional groups, as well as other azaarenes could be achieved in low to excellent yields (Scheme 38a). Generally, indole derivatives provided better results than pyrrole derivatives, which were often involved in polymerisation and poly functionalisation side reactions. The scope of the reaction could as well be extended to aryl and alkylamines, albeit the products were obtained in reduced yields, which were partly due to the instability of the formed compounds in the reaction medium. As for phenol derivatives, their lower reactivities led to even further decreased yields (Scheme 38b). Interestingly, while the introduction of the SOCF3 moiety occurred selectively on the nitrogen atom for amines, only the C-trifluoromethylsulfinylated products were isolated when performing the reaction on phenol derivatives. Such products were probably obtained through an O-trifluoromethylsulfinylation step, followed by a rearrangement. As for the mechanism of the reaction, we proposed a pathway similar to the one we previously described for the trifluoromethylsulfenylation of indoles, except that the nature of the phosphine as well as the stoichiometry between CF3SO2Cl and PCy3 prevented the reduction of formed CF3SOCl and therefore allowed its direct reaction with the substrate (Scheme 38).
Scheme 38: PCy3-mediated trifluoromethylsulfinylation of azaarenes, amines and phenols.
Scheme 38: PCy3-mediated trifluoromethylsulfinylation of azaarenes, amines and phenols.
4 Chlorination
Sparingly, CF3SO2Cl was employed as a chlorinating agent. The first example of such type of reaction was reported by Just and Hakimelahi in 1979 [49]. Their work was focused on the mono- or dichlorination of various carbon acids, in the pKa range between dialkyl malonate and methyl dichloroacetate, as well as certain nucleophiles, were reacted with trifluoromethanesulfonyl chloride in the presence of a base, like Et3N or DBU (1,8-diazabicyclo[5.4.0]undec-7-ene) in dichloromethane (Scheme 39). The chlorinated products were recovered in excellent yields. Interestingly, when the reactions were conducted in methanol, the selectivity proved to be quite high, as the rate of chlorination of carbanions was calculated to be more than 105 higher than that of the sulfonylation of methanol.
Scheme 39: Mono- and dichlorination of carbon acids.
Scheme 39: Mono- and dichlorination of carbon acids.
However, forty years later, Shainyan and Danilevich reported that the process might not be that selective in regard to mono- versus dichlorination of compounds carrying two acidic protons [50]. Indeed, depending on the nature of the substrate, the introduction of one or two chlorine atoms occurred predominantly when performing the reaction with only 1.0 equivalent of CF3SO2Cl and Et3N. Nonetheless, this transformation was utilised for the dichlorination of a cyclopentadiene-1-carbaldehyde derivative [51] and the monochlorination of (N-aryl-N-hydroxy)acylacetamides 44 (Scheme 40) [52]. In this case, some side N-chlorination was observed for certain substrates.
Scheme 40: Monochlorination of (N-aryl-N-hydroxy)acylacetamides.
Scheme 40: Monochlorination of (N-aryl-N-hydroxy)acylacetamides.
Anecdotally, CF3SO2Cl could also be involved in the chlorination of ortho-lithiated veratrole [53]. It also allowed the surprising formation of a 5’-chloro nucleoside, when used in an attempt to prepare the corresponding 5’-OTf nucleoside [54]. Moreover, considering the excellent selectivity of the combination CF3SO2Cl/Et3N towards the chlorination of substrates displaying a hydroxy group, the reaction could be further exploited for cascade chlorination/cyclisation processes. For instance, diethyl malonates substituted by an alkyl chain bearing an alcohol or ether function could give access to tetrahydropyran or -furan derivatives [55]. Furthermore, this type of process also allowed the synthesis of diverse heterocycles fused with β-lactams (Scheme 41) [56]. The competition between mono- and dichlorination remained an issue in these transformations; but fortunately, increasing the bulkiness of the ester group permitted to limit the reaction to the introduction of only one chlorine atom. It was also possible to achieve the isolation of similar compounds starting from differently substituted β-lactams, notably carrying a malonate moiety linked to the nitrogen [57].
Scheme 41: Examples of the synthesis of heterocycles fused with β-lactams through a chlorination/cyclisation process.
Scheme 41: Examples of the synthesis of heterocycles fused with β-lactams through a chlorination/cyclisation p...
More recently, CF3SO2Cl also found to be an appropriate reagent for the asymmetric introduction of a chlorine atom onto several substrates. For instance, Shibata, Toru and co-workers used CF3SO2Cl for the enantioselective chlorination of β-ketoesters and oxindoles in the presence of a dbfox-Ph/Ni(II) system (dbfox-Ph = [(R,R)-4,6-dibenzofurandiyl-2,2'-bis(4-phenyloxazoline)]) (Scheme 42) [58]. The reaction proceeded in good to excellent yields and enantioselectivities.
Scheme 42: Enantioselective chlorination of β-ketoesters and oxindoles.
Scheme 42: Enantioselective chlorination of β-ketoesters and oxindoles.
In 2011, Sodeoka and co-workers reported that this reagent was also suitable for the asymmetric chlorination of 3-acyloxazolidin-2-one derivatives thanks to a trinary activation system (Scheme 43) [59]. The expected products were isolated in high yields and enantioselectivities, and no dichlorination reaction occurred. Interestingly, in both cases, it was observed that far lower ee values were reached when replacing CF3SO2Cl by N-chlorosuccinimide, which highlighted its great compatibility with asymmetric reactions.
Scheme 43: Enantioselective chlorination of 3-acyloxazolidin-2-one derivatives (NMM = N-methylmorpholine).
Scheme 43: Enantioselective chlorination of 3-acyloxazolidin-2-one derivatives (NMM = N-methylmorpholine).
Conclusion
Trifluoromethanesulfonyl chloride is an inexpensive versatile reagent indissociable from major achievements in the field of trifluoromethylation. Indeed, early discoveries by Kamigata in the nineties using ruthenium catalysis and, more recently in 2011, by MacMillan using photoredox catalysis for the direct trifluoromethylation of the inherently reactive positions of the substrates, paved the way to a dramatic acceleration of discoveries in the field. In addition, the recent breakthrough methods for direct trifluoromethylsufenylation and trifluoromethylsufinylation offer alternative accesses to SCF3 and S(O)CF3 compounds, respectively, bypassing the use of sophisticated SCF3 donor reagents. Lastly, CF3SO2Cl has a demonstrated ability to transfer an electrophilic chlorine atom for efficient chlorination reactions including enantioselective chlorination. Current know-how and further exploration of the utility of this reagent will undoubtedly be beneficial for the pharmaceutical and agrochemical industries in which new opportunities for economical and sustainable development are eagerly sought after. Numerous applications and novel reactions are expected to appear, thus contributing to enrich the bright future of trifluoromethanesulfonyl chloride.
Acknowledgements
Our research was supported by the Centre National de la Recherche Scientifique CNRS, University of Rouen, INSA Rouen, and Labex SynOrg (ANR-11-LABX-0029). H.C. thanks the French “Ministère de la Recherche et de l’Enseignement Supérieur” for a doctoral fellowship. H.G. thanks Normandy University for a postdoctoral grant. The French Fluorine Network (GIS Fluor) is also acknowledged.
References
-
Guyon, H.; Chachignon, H.; Cahard, D. Beilstein J. Org. Chem. 2017, 13, 2764–2799. doi:10.3762/bjoc.13.272
Return to citation in text: [1] -
Wender, P. A.; Smith, T. E.; Vogel, P.; Gerber-Lemaire, S. e-EROS Encycl. Reagents Org. Synth. 2001. doi:10.1002/9780470842898.rt248.pub2
Return to citation in text: [1] [2] -
Shainyan, B. A.; Tolstikova, L. L. Chem. Rev. 2013, 113, 699–733. doi:10.1021/cr300220h
Return to citation in text: [1] -
Zhu, S.; Qin, C.; Xu, G.; Chu, Q. Tetrahedron Lett. 1998, 39, 5265–5268. doi:10.1016/S0040-4039(98)01061-2
Return to citation in text: [1] -
Müller, R.; Mulani, I.; Basson, A. E.; Pribut, N.; Hassam, M.; Morris, L.; van Otterlo, W. A. L.; Pelly, S. C. Bioorg. Med. Chem. Lett. 2014, 24, 4376–4380. doi:10.1016/j.bmcl.2014.08.020
Return to citation in text: [1] -
Kamigata, N.; Fukushima, T.; Yoshida, M. Chem. Lett. 1990, 19, 649–650. doi:10.1246/cl.1990.649
Return to citation in text: [1] [2] -
Kamigata, N.; Ohtsuka, T.; Fukushima, T.; Yoshida, M.; Shimizu, T. J. Chem. Soc., Perkin Trans. 1 1994, 1339–1346. doi:10.1039/P19940001339
Return to citation in text: [1] [2] -
Kamigata, N.; Udodaira, K.; Shimizu, T. Phosphorus, Sulfur Silicon Relat. Elem. 1997, 129, 155–168. doi:10.1080/10426509708031590
Return to citation in text: [1] -
Cantillo, D.; de Frutos, O.; Rincón, J. A.; Mateos, C.; Kappe, C. O. Org. Lett. 2014, 16, 896–899. doi:10.1021/ol403650y
Return to citation in text: [1] -
Jiang, H.; Cheng, Y.; Zhang, Y.; Yu, S. Eur. J. Org. Chem. 2013, 5485–5492. doi:10.1002/ejoc.201300693
Return to citation in text: [1] -
Tang, X.-J.; Thomoson, C. S.; Dolbier, W. R., Jr. Org. Lett. 2014, 16, 4594–4597. doi:10.1021/ol502163f
Return to citation in text: [1] -
Liu, C.; Zhao, W.; Huang, Y.; Wang, H.; Zhang, B. Tetrahedron 2015, 71, 4344–4351. doi:10.1016/j.tet.2015.04.056
Return to citation in text: [1] [2] -
Zheng, L.; Yang, C.; Xu, Z.; Gao, F.; Xia, W. J. Org. Chem. 2015, 80, 5730–5736. doi:10.1021/acs.joc.5b00677
Return to citation in text: [1] -
Liu, C.; Zhang, B. RSC Adv. 2015, 5, 61199–61203. doi:10.1039/c5ra08996d
Return to citation in text: [1] -
Xia, X.-F.; Zhu, S.-L.; Wang, D.; Liang, Y.-M. Adv. Synth. Catal. 2017, 359, 859–865. doi:10.1002/adsc.201600982
Return to citation in text: [1] -
Zhang, Z.; Tang, X.-J.; Dolbier, W. R., Jr. Org. Lett. 2016, 18, 1048–1051. doi:10.1021/acs.orglett.6b00168
Return to citation in text: [1] -
Zhang, Z.; Martinez, H.; Dolbier, W. R. J. Org. Chem. 2017, 82, 2589–2598. doi:10.1021/acs.joc.6b03012
Return to citation in text: [1] -
Li, X.-F.; Lin, J.-S.; Liu, X.-Y. Synthesis 2017, 49, 4213–4220. doi:10.1055/s-0036-1589044
Return to citation in text: [1] -
Lin, J.-S.; Wang, F.-L.; Dong, X.-Y.; He, W.-W.; Yuan, Y.; Chen, S.; Liu, X.-Y. Nat. Commun. 2017, 8, No. 14841. doi:10.1038/ncomms14841
Return to citation in text: [1] -
Li, X.-F.; Lin, J.-S.; Liu, X.-Y. Synthesis 2017, 49, 4213–4220. doi:10.1055/s-0036-1589044
Return to citation in text: [1] -
Li, Z.-L.; Li, X.-H.; Wang, N.; Yang, N.-Y.; Liu, X.-Y. Angew. Chem., Int. Ed. 2016, 55, 15100–15104. doi:10.1002/anie.201608198
Return to citation in text: [1] -
Wang, N.; Li, L.; Li, Z.-L.; Yang, N.-Y.; Guo, Z.; Zhang, H.-X.; Liu, X.-Y. Org. Lett. 2016, 18, 6026–6029. doi:10.1021/acs.orglett.6b02960
Return to citation in text: [1] -
Kamigata, N.; Fukushima, T.; Yoshida, M. J. Chem. Soc., Chem. Commun. 1989, 1559–1560. doi:10.1039/c39890001559
Return to citation in text: [1] -
Kamigata, N.; Fukushima, T.; Terakawa, Y.; Yoshida, M.; Sawada, H. J. Chem. Soc., Perkin Trans. 1 1991, 627–633. doi:10.1039/P19910000627
Return to citation in text: [1] -
Oh, S. H.; Malpani, Y. R.; Ha, N.; Jung, Y.-S.; Han, S. B. Org. Lett. 2014, 16, 1310–1313. doi:10.1021/ol403716t
Return to citation in text: [1] -
Tang, X.-J.; Dolbier, W. R., Jr. Angew. Chem., Int. Ed. 2015, 54, 4246–4249. doi:10.1002/anie.201412199
Return to citation in text: [1] -
Yoshioka, E.; Kohtani, S.; Tanaka, E.; Hata, Y.; Miyabe, H. Tetrahedron 2015, 71, 773–781. doi:10.1016/j.tet.2014.12.068
Return to citation in text: [1] -
Bagal, D. B.; Kachkovskyi, G.; Knorn, M.; Rawner, T.; Bhanage, B. M.; Reiser, O. Angew. Chem., Int. Ed. 2015, 54, 6999–7002. doi:10.1002/anie.201501880
Return to citation in text: [1] -
Pagire, S. K.; Paria, S.; Reiser, O. Org. Lett. 2016, 18, 2106–2109. doi:10.1021/acs.orglett.6b00734
Return to citation in text: [1] -
Rawner, T.; Knorn, M.; Lutsker, E.; Hossain, A.; Reiser, O. J. Org. Chem. 2016, 81, 7139–7147. doi:10.1021/acs.joc.6b01001
Return to citation in text: [1] -
Nagib, D. A.; MacMillan, D. W. C. Nature 2011, 480, 224–228. doi:10.1038/nature10647
Return to citation in text: [1] -
Ochola, J. R.; Wolf, M. O. Org. Biomol. Chem. 2016, 14, 9088–9092. doi:10.1039/c6ob01717g
Return to citation in text: [1] -
Baar, M.; Blechert, S. Chem. – Eur. J. 2015, 21, 526–530. doi:10.1002/chem.201405505
Return to citation in text: [1] -
Fujiwara, Y.; Dixon, J. A.; O'Hara, F.; Funder, E. D.; Dixon, D. D.; Rodriguez, R. A.; Baxter, R. D.; Herlé, B.; Sach, N.; Collins, M. R.; Ishihara, Y.; Baran, P. S. Nature 2012, 492, 95–99. doi:10.1038/nature11680
Return to citation in text: [1] -
Dubbaka, S. R.; Vogel, P. Chem. – Eur. J. 2005, 11, 2633–2641. doi:10.1002/chem.200400838
Return to citation in text: [1] -
Dubbaka, S. R.; Zhao, D.; Fei, Z.; Volla, C. M. R.; Dyson, P. J.; Vogel, P. Synlett 2006, 3155–3157. doi:10.1055/s-2006-944198
Return to citation in text: [1] -
Jiang, H.; Huang, C.; Guo, J.; Zeng, C.; Zhang, Y.; Yu, S. Chem. – Eur. J. 2012, 18, 15158–15166. doi:10.1002/chem.201201716
Return to citation in text: [1] -
Mizuta, S.; Engle, K. M.; Verhoog, S.; Galicia-López, O.; O'Duill, M.; Médebielle, M.; Wheelhouse, K.; Rassias, G.; Thompson, A. L.; Gouverneur, V. Org. Lett. 2013, 15, 1250–1253. doi:10.1021/ol400184t
Return to citation in text: [1] -
Midya, S. P.; Rana, J.; Abraham, T.; Aswin, B.; Balaraman, E. Chem. Commun. 2017, 53, 6760–6763. doi:10.1039/C7CC02589K
Return to citation in text: [1] -
Gu, L.; Jin, C.; Wang, W.; He, Y.; Yang, G.; Li, G. Chem. Commun. 2017, 53, 4203–4206. doi:10.1039/c6cc10305g
Return to citation in text: [1] -
Han, H. S.; Lee, Y. J.; Jung, Y.-S.; Han, S. B. Org. Lett. 2017, 19, 1962–1965. doi:10.1021/acs.orglett.7b00470
Return to citation in text: [1] -
Chachignon, H.; Maeno, M.; Kondo, H.; Shibata, N.; Cahard, D. Org. Lett. 2016, 18, 2467–2470. doi:10.1021/acs.orglett.6b01026
Return to citation in text: [1] -
Jiang, L.; Yi, W.; Liu, Q. Adv. Synth. Catal. 2016, 358, 3700–3705. doi:10.1002/adsc.201600651
Return to citation in text: [1] -
Lu, K.; Deng, Z.; Li, M.; Li, T.; Zhao, X. Org. Biomol. Chem. 2017, 15, 1254–1260. doi:10.1039/c6ob02465c
Return to citation in text: [1] -
Zhao, X.; Li, T.; Yang, B.; Qiu, D.; Lu, K. Tetrahedron 2017, 73, 3112–3117. doi:10.1016/j.tet.2017.04.032
Return to citation in text: [1] -
Harmata, M.; Zheng, P.; Huang, C.; Gomes, M. G.; Ying, W.; Ranyanil, K.-O.; Balan, G.; Calkins, N. L. J. Org. Chem. 2007, 72, 683–685. doi:10.1021/jo062296i
Return to citation in text: [1] -
Revés, M.; Riera, A.; Verdaguer, X. Eur. J. Inorg. Chem. 2009, 4446–4453. doi:10.1002/ejic.200900521
Return to citation in text: [1] -
Chachignon, H.; Cahard, D. J. Fluorine Chem. 2017, 198, 82–88. doi:10.1016/j.jfluchem.2016.11.020
Return to citation in text: [1] -
Hakimelahi, G. H.; Just, G. Tetrahedron Lett. 1979, 20, 3643–3644. doi:10.1016/S0040-4039(01)95485-1
Return to citation in text: [1] -
Shainyan, B. A.; Danilevich, Yu. S. Russ. J. Org. Chem. 2009, 45, 1412–1413. doi:10.1134/s1070428009090176
Return to citation in text: [1] -
Hafner, K.; Stowasser, B.; Sturm, V. Tetrahedron Lett. 1985, 26, 189–192. doi:10.1016/s0040-4039(00)61876-2
Return to citation in text: [1] -
Sato, K.; Kinoto, T.; Sugai, S. Chem. Pharm. Bull. 1986, 34, 1553–1560. doi:10.1248/cpb.34.1553
Return to citation in text: [1] -
Wang, T.; Rabe, P.; Citron, C. A.; Dickschat, J. S. Beilstein J. Org. Chem. 2013, 9, 2767–2777. doi:10.3762/bjoc.9.311
Return to citation in text: [1] -
Amiable, C.; Pochet, S. Tetrahedron 2015, 71, 2525–2529. doi:10.1016/j.tet.2015.03.020
Return to citation in text: [1] -
Hamimelai, G. H.; Just, G. Tetrahedron Lett. 1979, 20, 3645–3648. doi:10.1016/S0040-4039(01)95486-3
Return to citation in text: [1] -
Hakimelahi, G. H.; Hwu, J. R.; Tsay, S.-C.; Ramezani, Z.; Hwu, J. R. Helv. Chim. Acta 1996, 79, 813–819. doi:10.1002/hlca.19960790323
Return to citation in text: [1] -
Hwu, J. R.; Hakimelahi, S.; Lu, K.-L.; Tsay, S.-C. Tetrahedron 1999, 55, 8039–8044. doi:10.1016/s0040-4020(99)00423-8
Return to citation in text: [1] -
Shibata, N.; Kohno, J.; Takai, K.; Ishimaru, T.; Nakamura, S.; Toru, T.; Kanemasa, S. Angew. Chem., Int. Ed. 2005, 44, 4204–4207. doi:10.1002/anie.200501041
Return to citation in text: [1] -
Hamashima, Y.; Nagi, T.; Shimizu, R.; Tsuchimoto, T.; Sodeoka, M. Eur. J. Org. Chem. 2011, 3675–3678. doi:10.1002/ejoc.201100453
Return to citation in text: [1]
| 30. | Rawner, T.; Knorn, M.; Lutsker, E.; Hossain, A.; Reiser, O. J. Org. Chem. 2016, 81, 7139–7147. doi:10.1021/acs.joc.6b01001 |
| 6. | Kamigata, N.; Fukushima, T.; Yoshida, M. Chem. Lett. 1990, 19, 649–650. doi:10.1246/cl.1990.649 |
| 7. | Kamigata, N.; Ohtsuka, T.; Fukushima, T.; Yoshida, M.; Shimizu, T. J. Chem. Soc., Perkin Trans. 1 1994, 1339–1346. doi:10.1039/P19940001339 |
| 31. | Nagib, D. A.; MacMillan, D. W. C. Nature 2011, 480, 224–228. doi:10.1038/nature10647 |
| 39. | Midya, S. P.; Rana, J.; Abraham, T.; Aswin, B.; Balaraman, E. Chem. Commun. 2017, 53, 6760–6763. doi:10.1039/C7CC02589K |
| 40. | Gu, L.; Jin, C.; Wang, W.; He, Y.; Yang, G.; Li, G. Chem. Commun. 2017, 53, 4203–4206. doi:10.1039/c6cc10305g |
| 37. | Jiang, H.; Huang, C.; Guo, J.; Zeng, C.; Zhang, Y.; Yu, S. Chem. – Eur. J. 2012, 18, 15158–15166. doi:10.1002/chem.201201716 |
| 38. | Mizuta, S.; Engle, K. M.; Verhoog, S.; Galicia-López, O.; O'Duill, M.; Médebielle, M.; Wheelhouse, K.; Rassias, G.; Thompson, A. L.; Gouverneur, V. Org. Lett. 2013, 15, 1250–1253. doi:10.1021/ol400184t |
| 34. | Fujiwara, Y.; Dixon, J. A.; O'Hara, F.; Funder, E. D.; Dixon, D. D.; Rodriguez, R. A.; Baxter, R. D.; Herlé, B.; Sach, N.; Collins, M. R.; Ishihara, Y.; Baran, P. S. Nature 2012, 492, 95–99. doi:10.1038/nature11680 |
| 35. | Dubbaka, S. R.; Vogel, P. Chem. – Eur. J. 2005, 11, 2633–2641. doi:10.1002/chem.200400838 |
| 36. | Dubbaka, S. R.; Zhao, D.; Fei, Z.; Volla, C. M. R.; Dyson, P. J.; Vogel, P. Synlett 2006, 3155–3157. doi:10.1055/s-2006-944198 |
| 32. | Ochola, J. R.; Wolf, M. O. Org. Biomol. Chem. 2016, 14, 9088–9092. doi:10.1039/c6ob01717g |
| 33. | Baar, M.; Blechert, S. Chem. – Eur. J. 2015, 21, 526–530. doi:10.1002/chem.201405505 |
| 41. | Han, H. S.; Lee, Y. J.; Jung, Y.-S.; Han, S. B. Org. Lett. 2017, 19, 1962–1965. doi:10.1021/acs.orglett.7b00470 |
| 42. | Chachignon, H.; Maeno, M.; Kondo, H.; Shibata, N.; Cahard, D. Org. Lett. 2016, 18, 2467–2470. doi:10.1021/acs.orglett.6b01026 |
| 43. | Jiang, L.; Yi, W.; Liu, Q. Adv. Synth. Catal. 2016, 358, 3700–3705. doi:10.1002/adsc.201600651 |
| 51. | Hafner, K.; Stowasser, B.; Sturm, V. Tetrahedron Lett. 1985, 26, 189–192. doi:10.1016/s0040-4039(00)61876-2 |
| 52. | Sato, K.; Kinoto, T.; Sugai, S. Chem. Pharm. Bull. 1986, 34, 1553–1560. doi:10.1248/cpb.34.1553 |
| 49. | Hakimelahi, G. H.; Just, G. Tetrahedron Lett. 1979, 20, 3643–3644. doi:10.1016/S0040-4039(01)95485-1 |
| 50. | Shainyan, B. A.; Danilevich, Yu. S. Russ. J. Org. Chem. 2009, 45, 1412–1413. doi:10.1134/s1070428009090176 |
| 46. | Harmata, M.; Zheng, P.; Huang, C.; Gomes, M. G.; Ying, W.; Ranyanil, K.-O.; Balan, G.; Calkins, N. L. J. Org. Chem. 2007, 72, 683–685. doi:10.1021/jo062296i |
| 47. | Revés, M.; Riera, A.; Verdaguer, X. Eur. J. Inorg. Chem. 2009, 4446–4453. doi:10.1002/ejic.200900521 |
| 48. | Chachignon, H.; Cahard, D. J. Fluorine Chem. 2017, 198, 82–88. doi:10.1016/j.jfluchem.2016.11.020 |
| 44. | Lu, K.; Deng, Z.; Li, M.; Li, T.; Zhao, X. Org. Biomol. Chem. 2017, 15, 1254–1260. doi:10.1039/c6ob02465c |
| 45. | Zhao, X.; Li, T.; Yang, B.; Qiu, D.; Lu, K. Tetrahedron 2017, 73, 3112–3117. doi:10.1016/j.tet.2017.04.032 |
| 54. | Amiable, C.; Pochet, S. Tetrahedron 2015, 71, 2525–2529. doi:10.1016/j.tet.2015.03.020 |
| 55. | Hamimelai, G. H.; Just, G. Tetrahedron Lett. 1979, 20, 3645–3648. doi:10.1016/S0040-4039(01)95486-3 |
| 53. | Wang, T.; Rabe, P.; Citron, C. A.; Dickschat, J. S. Beilstein J. Org. Chem. 2013, 9, 2767–2777. doi:10.3762/bjoc.9.311 |
| 1. | Guyon, H.; Chachignon, H.; Cahard, D. Beilstein J. Org. Chem. 2017, 13, 2764–2799. doi:10.3762/bjoc.13.272 |
| 4. | Zhu, S.; Qin, C.; Xu, G.; Chu, Q. Tetrahedron Lett. 1998, 39, 5265–5268. doi:10.1016/S0040-4039(98)01061-2 |
| 5. | Müller, R.; Mulani, I.; Basson, A. E.; Pribut, N.; Hassam, M.; Morris, L.; van Otterlo, W. A. L.; Pelly, S. C. Bioorg. Med. Chem. Lett. 2014, 24, 4376–4380. doi:10.1016/j.bmcl.2014.08.020 |
| 15. | Xia, X.-F.; Zhu, S.-L.; Wang, D.; Liang, Y.-M. Adv. Synth. Catal. 2017, 359, 859–865. doi:10.1002/adsc.201600982 |
| 3. | Shainyan, B. A.; Tolstikova, L. L. Chem. Rev. 2013, 113, 699–733. doi:10.1021/cr300220h |
| 16. | Zhang, Z.; Tang, X.-J.; Dolbier, W. R., Jr. Org. Lett. 2016, 18, 1048–1051. doi:10.1021/acs.orglett.6b00168 |
| 2. | Wender, P. A.; Smith, T. E.; Vogel, P.; Gerber-Lemaire, S. e-EROS Encycl. Reagents Org. Synth. 2001. doi:10.1002/9780470842898.rt248.pub2 |
| 2. | Wender, P. A.; Smith, T. E.; Vogel, P.; Gerber-Lemaire, S. e-EROS Encycl. Reagents Org. Synth. 2001. doi:10.1002/9780470842898.rt248.pub2 |
| 12. | Liu, C.; Zhao, W.; Huang, Y.; Wang, H.; Zhang, B. Tetrahedron 2015, 71, 4344–4351. doi:10.1016/j.tet.2015.04.056 |
| 10. | Jiang, H.; Cheng, Y.; Zhang, Y.; Yu, S. Eur. J. Org. Chem. 2013, 5485–5492. doi:10.1002/ejoc.201300693 |
| 12. | Liu, C.; Zhao, W.; Huang, Y.; Wang, H.; Zhang, B. Tetrahedron 2015, 71, 4344–4351. doi:10.1016/j.tet.2015.04.056 |
| 58. | Shibata, N.; Kohno, J.; Takai, K.; Ishimaru, T.; Nakamura, S.; Toru, T.; Kanemasa, S. Angew. Chem., Int. Ed. 2005, 44, 4204–4207. doi:10.1002/anie.200501041 |
| 9. | Cantillo, D.; de Frutos, O.; Rincón, J. A.; Mateos, C.; Kappe, C. O. Org. Lett. 2014, 16, 896–899. doi:10.1021/ol403650y |
| 13. | Zheng, L.; Yang, C.; Xu, Z.; Gao, F.; Xia, W. J. Org. Chem. 2015, 80, 5730–5736. doi:10.1021/acs.joc.5b00677 |
| 59. | Hamashima, Y.; Nagi, T.; Shimizu, R.; Tsuchimoto, T.; Sodeoka, M. Eur. J. Org. Chem. 2011, 3675–3678. doi:10.1002/ejoc.201100453 |
| 8. | Kamigata, N.; Udodaira, K.; Shimizu, T. Phosphorus, Sulfur Silicon Relat. Elem. 1997, 129, 155–168. doi:10.1080/10426509708031590 |
| 56. | Hakimelahi, G. H.; Hwu, J. R.; Tsay, S.-C.; Ramezani, Z.; Hwu, J. R. Helv. Chim. Acta 1996, 79, 813–819. doi:10.1002/hlca.19960790323 |
| 6. | Kamigata, N.; Fukushima, T.; Yoshida, M. Chem. Lett. 1990, 19, 649–650. doi:10.1246/cl.1990.649 |
| 7. | Kamigata, N.; Ohtsuka, T.; Fukushima, T.; Yoshida, M.; Shimizu, T. J. Chem. Soc., Perkin Trans. 1 1994, 1339–1346. doi:10.1039/P19940001339 |
| 11. | Tang, X.-J.; Thomoson, C. S.; Dolbier, W. R., Jr. Org. Lett. 2014, 16, 4594–4597. doi:10.1021/ol502163f |
| 57. | Hwu, J. R.; Hakimelahi, S.; Lu, K.-L.; Tsay, S.-C. Tetrahedron 1999, 55, 8039–8044. doi:10.1016/s0040-4020(99)00423-8 |
| 20. | Li, X.-F.; Lin, J.-S.; Liu, X.-Y. Synthesis 2017, 49, 4213–4220. doi:10.1055/s-0036-1589044 |
| 17. | Zhang, Z.; Martinez, H.; Dolbier, W. R. J. Org. Chem. 2017, 82, 2589–2598. doi:10.1021/acs.joc.6b03012 |
| 18. | Li, X.-F.; Lin, J.-S.; Liu, X.-Y. Synthesis 2017, 49, 4213–4220. doi:10.1055/s-0036-1589044 |
| 19. | Lin, J.-S.; Wang, F.-L.; Dong, X.-Y.; He, W.-W.; Yuan, Y.; Chen, S.; Liu, X.-Y. Nat. Commun. 2017, 8, No. 14841. doi:10.1038/ncomms14841 |
| 28. | Bagal, D. B.; Kachkovskyi, G.; Knorn, M.; Rawner, T.; Bhanage, B. M.; Reiser, O. Angew. Chem., Int. Ed. 2015, 54, 6999–7002. doi:10.1002/anie.201501880 |
| 29. | Pagire, S. K.; Paria, S.; Reiser, O. Org. Lett. 2016, 18, 2106–2109. doi:10.1021/acs.orglett.6b00734 |
| 26. | Tang, X.-J.; Dolbier, W. R., Jr. Angew. Chem., Int. Ed. 2015, 54, 4246–4249. doi:10.1002/anie.201412199 |
| 27. | Yoshioka, E.; Kohtani, S.; Tanaka, E.; Hata, Y.; Miyabe, H. Tetrahedron 2015, 71, 773–781. doi:10.1016/j.tet.2014.12.068 |
| 23. | Kamigata, N.; Fukushima, T.; Yoshida, M. J. Chem. Soc., Chem. Commun. 1989, 1559–1560. doi:10.1039/c39890001559 |
| 24. | Kamigata, N.; Fukushima, T.; Terakawa, Y.; Yoshida, M.; Sawada, H. J. Chem. Soc., Perkin Trans. 1 1991, 627–633. doi:10.1039/P19910000627 |
| 25. | Oh, S. H.; Malpani, Y. R.; Ha, N.; Jung, Y.-S.; Han, S. B. Org. Lett. 2014, 16, 1310–1313. doi:10.1021/ol403716t |
| 21. | Li, Z.-L.; Li, X.-H.; Wang, N.; Yang, N.-Y.; Liu, X.-Y. Angew. Chem., Int. Ed. 2016, 55, 15100–15104. doi:10.1002/anie.201608198 |
| 22. | Wang, N.; Li, L.; Li, Z.-L.; Yang, N.-Y.; Guo, Z.; Zhang, H.-X.; Liu, X.-Y. Org. Lett. 2016, 18, 6026–6029. doi:10.1021/acs.orglett.6b02960 |
© 2017 Chachignon et al.; licensee Beilstein-Institut.
This is an Open Access article under the terms of the Creative Commons Attribution License (http://creativecommons.org/licenses/by/4.0), which permits unrestricted use, distribution, and reproduction in any medium, provided the original work is properly cited.
The license is subject to the Beilstein Journal of Organic Chemistry terms and conditions: (http://www.beilstein-journals.org/bjoc)