Abstract
The interaction of 2-ethoxymethylidene-3-oxo esters and their analogues with 5-aminotetrazole is an efficient synthetic approach to novel azaheterocycles. 2-Ethoxymethylidene-3-oxo esters bearing alkyl substituents react with 5-aminotetrazole to form ethyl 2-azido-4-alkylpyrimidine-5-carboxylates which are capable of subsequent nucleophilic substitution. The use of diethyl 2-ethoxymethylidenemalonate in this reaction resulted in ethyl 7-hydroxytetrazolo[1,5-a]pyrimidine-6-carboxylate, while ethyl 2-ethoxymethylidenecyanoacetate yielded 5-[2,6-diamino-3,5-bis(ethoxycarbonyl)pyridinium-1-yl]tetrazol-1-ide through an alternative pathway. Ethyl 2-benzoyl-3-ethoxyprop-2-enoate reacted with 5-aminotetrazole by two reaction routes to form ethyl 2-benzoyl-3-(1H-tetrazol-5-ylamino)prop-2-enoate and ethyl 7-(1-ethoxy-1,3-dioxo-3-phenylpropan-2-yl)-5-phenyl-4,7-dihydrotetrazolo[1,5-a]pyrimidine-6-carboxylate.
Graphical Abstract
Introduction
2-Ethoxymethylidene-1,3-dicarbonyl compounds are widely recognized as valuable building blocks in designing various open-chain and heterocyclic compounds, including those used in medical practice [1]. The possibility to generate pyrimidine and azolopyrimidine systems based thereon, which exhibit a wide spectrum of biological activity due to structural similarity with nitrogenous bases, is of a special interest [2-5].
Interaction of non-fluorinated 2-ethoxymethylidene-3-oxo esters with aminoazoles either stops at the formation of open-chain 2-(azolylamino)methylidene-3-oxo esters [6] or leads directly to azolo[1,5-a]pyrimidines [7-9] depending on the structure of the starting reagents and reaction conditions. We have recently found that the cyclization of polyfluoroalkyl-containing 2-ethoxymethylidene-3-oxo esters with aminoazoles in contrast to non-fluorinated analogues results in the stable dihydroazolo[1,5-a]pyrimidines containing a gem-aminoalcohol fragment at the polyfluoroalkyl substituent [10,11]. The reactions of ethyl 2-ethoxymethylidene-3-oxo-3-(polyfluoroalkyl)propionates with 3-amino-5-hydroxypyrazole allowed to obtain not only dihydropyrazolo[1,5-a]pyrimidines but also pyrazolo[3,4-b]pyridines due to the peculiarities of the binucleophile used [12].
To the best of our knowledge, there is no published data about the interaction of 2-ethoxymethylidene-3-oxo esters and their analogues with 5-aminotetrazole (5-AT), although these reactions can be used to generate functionalized tetrazolo[1,5-a]pyrimidines. Derivatives of these heterocycles are promising objects for biological testing, because substances possessing apoptotic and antitumor [13], antiviral [14], antimicrobial and antioxidant activity [15] have been found among them. The known tetrazolo[1,5-a]pyrimidines were synthesized by cyclocondensation of 5-AT with 1,3-dicarbonyl compounds or their derivatives [16]. Moreover, a convenient method for obtaining this heterocyclic skeleton is the three-component Biginelli condensation of 3-oxo esters, aldehyde and 5-AT [17,18] or its modification starting from 2-benzylidene-3-oxo esters and 5-AT [19,20].
It may be expected that the use of 5-AT as a nucleophile in the reactions with 2-ethoxymethylidene-3-oxo esters will alter the traditional ways of cyclization. Such changes may be caused by lower basicity of 5-AT (pKb = 12.18 [21]) compared with other aminoazoles and the ability of its derivatives to azide–tetrazole isomerism [22,23].
The present paper focuses on studying the peculiarities of interaction of 2-ethoxymethylidene-3-oxo esters 1a–d and their analogues (diethyl 2-ethoxymethylidenemalonate (1e), ethyl 2-ethoxymethylidenecyanoacetate (1f)) with 5-AT as a synthetic approach to various azahetrocycles.
Results and Discussion
It has been found that 2-ethoxymethylidene-3-oxo esters 1a–c react with 5-AT in ethanol under reflux to form inseparable mixtures of the products, and while conducting this reaction in refluxing 1,4-dioxane even for a prolonged time (32 h) we observed incomplete conversion of the starting material and low selectivity of transformations. However, 2-azidopyrimidines 2a–c instead of the expected tetrazolylaminomethylidene-3-oxo esters В or tetrazolo[1,5-a]pyrimidines С, D were obtained in 2,2,2-trifluoroethanol (TFE) under reflux (Scheme 1).
Scheme 1: Interaction of 2-ethoxymethylidene-3-oxo esters 1a–c with 5-AT. R = CF3 (a), (CF2)2H (b), Me (c). Conditions, i: TFE, Δ, 32–38 h; ii: Air, rt, 12 days; iii: EtOH, rt, 9 days.
Scheme 1: Interaction of 2-ethoxymethylidene-3-oxo esters 1a–c with 5-AT. R = CF3 (a), (CF2)2H (b), Me (c). C...
Apparently, at first esters 1a–c interact with 5-AT at the ethoxymethylidene group to give adduct A, which after the elimination of ethanol affords the intermediate tetrazolylaminomethylidene derivative B. As a result of regiospecific addition of NH-group to acyl fragment, the intermediate B gives dihydrotetrazolo[1,5-a]pyrimidine C, which is further transformed into tetrazolo[1,5-a]pyrimidine D after elimination of water. Because of the ability of tetrazole to ring opening at the N1–N8 bond, tetrazolo[1,5-a]pyrimidine D undergoes azide–tetrazole isomerism to form isomeric 2-azidopyrimidines 2a–c. The electron-withdrawing substituents in the heterocycle are known to facilitate the opening of the fused tetrazole ring because of decreased electron density at the bridgehead nitrogen atom [24]. Obviously, the ethoxycarbonyl group at C-6 in compounds 2a–c leads to a significant decrease in the stability of the tetrazole ring and shifts the equilibrium towards the azide isomer.
The azide structure of compounds 2a–c was confirmed by the presence of absorption bands at ν 2144–2146 cm–1, which are typical for the vibration of the azide group in the IR sperctrum [25]. The 13C NMR spectra of compounds 2a–c in CDCl3 showed the resonance of the carbon atom C-2 at δ 163.39–163.89 ppm, which is characteristic of the azide form [22,23].
In contrast to polyfluoroalkylated analogues 2a,b, 4-methyl-2-azidopyrimidine 2c is not stable and converts into compound 3 during standing on open air for 9 days without a solvent. Compound 3 was obtained also by the reaction of ester 1c with 5-AT in ethanol at room temperature; azidopyrimidine 2с was detected by TLC as an intermediate in this reaction.
The structure of bis-heterocycle 3 was confirmed by 1H and 13C NMR spectra, including 2D 1H,13C HSQC/HMBC experiments. So, in the 13C NMR spectrum the signal of C-3a carbon of the one heterocyclic fragment was observed at δ 149.71 ppm, which is characteristic of the bridgehead carbon atom in 4,7-dihydrotetrazolopyrimidines [20]; and the signal of C-2' carbon of another hetaryl moiety was observed at δ 163.41 ppm, which is typical for the C-2 carbon in 2-azidopyrimidines 2a–c. The HMBC cross-peaks between NH proton (δ 10.7 ppm) and carbons of the methyl group (δ 19.42 ppm), C-6 (δ 97.77 ppm) and C-3a (δ 149.71 ppm) in tetrazolopyrimidine fragment, as well as cross-peaks between H-6’ proton (δ 9.02 ppm) and C-5’ (δ 120.17 ppm) and C-2’ (δ 163.41 ppm) carbons in azidopyrimidine system supported structure 3.
The formation of bis-heterocycle 3 is due to the unique structure of the starting 2-azidopyrimidine 2c bearing the nucleophilic Me group and the electrophilic CH centre. Evidently, Me group of pyrimidine 2c reacts with CH-active centre of the another pyrimidine molecule through the formation of intermediate E followed by azido-tetrazole rearrangement.
In addition, we have found that the use of catalytic amounts of sodium acetate in the reaction of fluorinated esters 1a,b with 5-AT in 1,4-dioxane under reflux leads to the formation of ethyl 2-amino-4-(polyfluoroalkyl)pyrimidine-5-carboxylates 4a,b (Scheme 2). In the case of 1a (R = CF3), ethyl 2-(1H-tetrazol-5-ylamino)-4-(trifluoromethyl)-pyrimidine-5-carboxylate (5) was isolated as a by-product in the reaction of ester 1a and 5-AT (Scheme 2).
Scheme 2: Synthesis of pyrimidines 4a,b and 5. R= CF3 (a), (CF2)2H (b). Conditions: i: 1,4-dioxane, NaOAc, Δ, 16–18 h; ii DMF, NaOAc, 80 °C, 24–26 h; iii: 1,4-dioxane, Et3N, Δ, 40 h.
Scheme 2: Synthesis of pyrimidines 4a,b and 5. R= CF3 (a), (CF2)2H (b). Conditions: i: 1,4-dioxane, NaOAc, Δ,...
Apparently, in this reaction azidopyrimidines 2a,b acted as intermediates that were decomposed under heating in 1,4-dioxane with elimination of nitrogen and nitrenes [26] (Scheme 2). The latter can cleave a hydrogen atom from the other substrates (in our case, from 5-AT) to yield 2-aminopyrimidines 4a,b.
In addition, the counter synthesis of pyrimidines 4a,b was realized by the reaction of esters 1a,b with guanidine carbonate under similar conditions (Scheme 2). Earlier, pyrimidine 4a that exhibited antiviral activity against HSV-1 was obtained by cyclization of ethyl 2-dimethylaminomethyliden-4,4,4-trifluoroacetoacetate [27].
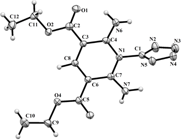
The formation of 2-(tetrazolylamino)pyrimidine 5 is the result of nucleophilic substitution of the azide group in intermediate 2a by the aminotetrazole fragment, as the azide group is a good nucleofuge [28]. Indeed, the reaction of azidopyrimidine 2a with 5-AT made it possible to obtain 2-(tetrazolylamino)pyrimidine 5 in good yield (Scheme 2).
The structure of pyrimidine 5 was confirmed by X-ray diffraction analysis (Figure 1).
Figure 1: X-ray crystal structure of compound 5 (ORTEP drawing, 50% probability level).
Figure 1: X-ray crystal structure of compound 5 (ORTEP drawing, 50% probability level).
Further in this reaction we used 2-ethoxymethylidenemalonate (1e) as an analogue of 3-oxo esters having the ester fragment instead of an acyl group. So the interaction of diester 1e with 5-AT in refluxing ethanol in the presence of catalytic amounts of triethylamine proceeded in a classical way and resulted in 2-tetrazolylaminomethylidene malonate 6 that was cyclised in ethyl-7-hydroxytetrazolo[1,5-a]pyrimidine-6-carboxylate (7) (Scheme 3). The most suitable condition for the formation of heterocycle 7 was a prolonged refluxing in ethanol in the presence of triethylamine. In the absence of catalyst, the complete conversion of diester 1e into amino derivative 6 was not observed even after refluxing for 48 h. Cyclization of compound 6 into tetrazolopyrimidine 7 was performed under prolonged heating without the base.
Scheme 3: Interaction of 2-ethoxymethylidene malonate 1e with 5-AT. Conditions: i: EtOH, Et3N, Δ; ii: EtOH, Δ.
Scheme 3: Interaction of 2-ethoxymethylidene malonate 1e with 5-AT. Conditions: i: EtOH, Et3N, Δ; ii: EtOH, Δ....
The structure of tetrazolo[1,5-a]pyrimidine 7 was confirmed by IR, 1H, 13C, 2D 1H,13C and 2D 1H,15N HMBC NMR spectra. Thus, the IR spectrum of compound 7 in the solid state did not have the absorption band of the azide group at ν 2100–2200 cm−1, but contained the absorption bands of hydroxy groups O–H (ν 3419 cm−1) and carbonyl fragments C=O (ν 1715 cm-1). The 1H and 13C NMR spectra in DMSO-d6 contained one set of the signals corresponding to the tetrazole form with a resonance of C-3a at δ 158.63 ppm. Two low-field carbons C-7 and C-3a (δC 153.48 and 158.63 ppm) in the 13C NMR spectrum cannot be distinguished by HMBC experiment, since both give cross-peaks with the proton H-5 due to the constant 3JC,H through three bonds. However, the value of the constant for bridgehead carbon C-3a should be greater than that for C-7 [29,30]. The values of the spin–spin coupling constants obtained from the proton-coupled 13C NMR spectrum (3JC-3a,H-5 = 16.6 Hz, 3JC-7,H-5 = 7.6 Hz) enable us to assign the shift at δ 158.63 ppm to the C-3a carbon.
We carried out a series of 2D 1H,15N HMBC experiments for compound 7 varying evolution delay time. In the HMBC spectra correlations between the CH proton (δH = 8.7 ppm) and three 15N atoms at δN = 210.6, 247.4, 306.3 ppm were observed. Based on the published data [22,31], we have assigned these chemical shifts to nitrogens N-4, N-8, and N-3, respectively, in the structure 7. In the HMBC spectrum of an alternative isomeric structure of ethyl-5-hydroxytetrazolo[1,5-a]pyrimidine-6-carboxylate formed as a result of tetrazole rearrangement, it should be expected the intense correlation between CH-proton and tetrazole nitrogen with the chemical shift in the range of 350–400 ppm. However such correlation did not appear in HMBC experiments, which allows us to exclude this structure from consideration.
We have found that replacing of the alkyl group by the phenyl residue in 3-oxo ester affects the reaction with 5-AT. So the reaction of ethyl 2-benzoyl-3-ethoxyprop-2-enoate (1d) with 5-AT in ethanol under reflux led to a complex mixture of products. Separation of the reaction mixture by column chromatography afforded only ethyl benzoylacetate (8) that is likely to be formed as a result of decomposition of starting ester 1d. The decomposition of 2-alkoxymethylidene-containing 3-oxo esters and their analogues to the corresponding esters in the reactions with N- and C-nucleophiles is known [32,33].
When this reaction was carried out in refluxing TFE, we also obtained a mixture of products. However, in this case we managed to isolate tetrazolylaminomethylidene derivative 9 and compound 10 in addition to ester 8 (Scheme 4).
Scheme 4: The reaction of 3-oxo ester 1d with 5-AT. Conditions, i: TFE, Δ, 48 h.
Scheme 4: The reaction of 3-oxo ester 1d with 5-AT. Conditions, i: TFE, Δ, 48 h.
Ethyl 2-benzoyl-3-(1H-tetrazol-5-ylamino)prop-2-enoate (9) exists as a mixture of Z-and E-isomers stabilized by the intramolecular H-bond in contrast to the symmetrical malonate derivative 6.
The structure of compound 10 was established by 1H and 13C NMR including 2D 1H,13C HSQC/HMBC spectra. According to the 1D NMR spectra, compound 10 has two ethoxycarbonyl groups, two phenyl moieties, two sp3-C atoms of methine group with vicinal coupling constant JH2'-H7 = 2.8 Hz, and NH-group (δ 10.48 ppm). The protonated carbons of 10 were directly assigned through the 1JCH connectivities provided by the HSQC experiment. The most informative cross-peaks of HMBC spectrum in CDCl3 for compound 10 were as follows: H-2'→C-1', C-3'; H-2'→C-6, C-7; H-7→C-5, C-6, C-9, and C-1'; NH→C-6, C-3a, Cipso. The carbonyl carbons were identified by long-range connectivities with protons OCH2 (C-9 and C-1') and Hortho (C-3').
It can be assumed the formation of heterocycle 10 proceeds via tetrazolopyrimidine intermediate F (Scheme 4). The mass spectrum of amino derivative 9 shows the possibility of tetrazolopyrimidine F formation since it has the peak of (m/z 269 [M − H2O]+). Then tetrazolopyrimidine F adds benzoylacetic ester (8) as a C-nucleophile at the electrophilic CH-center. The reaction is accompanied by tetrazole rearrangement through the formation of intermediate G to give heterocycle 10. Compound 10 was isolated as one diastereomer, but the relative configuration of its stereogenic centers was not determined.
Moreover, we studied the reaction of ethyl 2-ethoxymethylidenecyanoacetate (1f) with 5-AT. It has been found that this reaction does not occur either in refluxing ethanol or in refluxing TFE, but addition of catalytic amounts of triethylamine resulted in compound 11 in good yield (Scheme 5).
Scheme 5: Interaction of ester 1f with 5-AT. Conditions i: EtOH (or TFE), Et3N, Δ, 40–60 min; ii: AcOH (or EtOH, AcOH), Δ, 32 h.
Scheme 5: Interaction of ester 1f with 5-AT. Conditions i: EtOH (or TFE), Et3N, Δ, 40–60 min; ii: AcOH (or Et...
The IR spectrum of compound 11 has strong absorption bands of the amino group (ν 3292, 3238 cm−1) and the carbonyl substituent (ν 1699 cm−1). The 1H NMR spectral data allowed us to conclude that the molecule of compound 11 is symmetric and bears one methine proton, two amino groups and two ethoxycarbonyl substituents. The final structure of compound 11 as 5-[2,6-diamino-3,5-bis(ethoxycarbonyl)pyridinium-1-yl]tetrazol-1-ide was confirmed by X-ray diffraction (Figure 2).
Figure 2: X-ray crystal structure of compound 11 (ORTEP drawing, 50% probability level).
Figure 2: X-ray crystal structure of compound 11 (ORTEP drawing, 50% probability level).
The preparation of compound 11 in the reaction of ester 1f with 5-AT was unexpected, because it is known that ester 1f interacts with 3-amino-1,2,4-triazole in refluxing ethanol [8] and with substituted 5-amino-1,2,4-triazoles in acetic acid [34] to afford triazolo[1,5-a]pyrimidines. However, we did not observe the complete conversion of ester 1f in the reaction with 5-AT even under prolonged reflux in acetic acid. According to GC–MS data, the reaction mixture contained cyanoacetic ester (12) (m/z 113 [М]+) and ethyl 3-(1H-tetrazol-5-ylamino)prop-2-enoate (13) (m/z 182 [М + 2]+) along with ester 1f (m/z 169 [М]+) (Scheme 5).
It can be assumed that ethyl cyanoacetate (12), formed as a result of ethoxymethylidene group migration to 5-AT, reacts with ester 1f to give intermediate diester 14 (Scheme 5). The latter is cyclised with 5-AT into pyridine 11 via intermediates H and I. We carried out the three-component reaction of ester 1f, cyanoacetic ester 12 and 5-AT in the presence of triethylamine to confirm the proposed mechanism. The product 11 was obtained in excellent yield. Moreover, we managed to isolate diethyl 2,4-dicyanopent-2-enedioate (14, Scheme 5), which was previously obtained as a sodium salt [35].
Conclusion
In summary, we can conclude that 2-ethoxymethylidene-substituted esters 1a–f show different ability to react with 5-AT depending on their structure. Besides, these conversions differ from known cyclisations with other aminoazoles [7-12]. These differences can be explained by the properties of 5-AT. Thus, due to the tendency of the tetrazole ring towards isomerisation to an azide group, 3-oxo esters 1a–c with alkyl substituents form 2-azidopyrimidines 2a–c that are capable for further modification at the electrophilic centre C-6 and the azide group. Another difference is the weak basicity of 5-AT, which requires the basic catalysis in the reaction of 2-ethoxymethylidenecyanoacetate 1f with 5-AT. This resulted in an alternative reaction pathway with a partial decomposition of the starting ester 1f to cyanoacetic ester 12 and subsequent formation of pyridine 11.
Thus, we have found an effective and simple reaction for the preparation of substituted pyrimidine and pyridine derivatives. The resulting compounds are important pharmacophores or may be used as a starting material for synthesis of other functionalized pyrimidines through nucleophilic substitution.
Supporting Information
| Supporting Information File 1: Experimental section and the copies of all 1H, 13C, and 19F NMR spectra of all new compounds. | ||
| Format: PDF | Size: 1.4 MB | Download |
Acknowledgements
This research was financially supported by the Russian Foundation for Basic Research (Grant 13-03-00617), the Ural Branch of Russian Academy of Sciences (Project 15-21-3-9) and the State Program for Supporting of Leading Scientific School of the Russian Federation (Grant 3656.2014.3).
References
-
Kudyakova, Yu. S.; Bazhin, D. N.; Goryaeva, M. V.; Burgart, Y. V.; Saloutin, V. I. Russ. Chem. Rev. 2014, 83, 120–142. doi:10.1070/RC2014v083n02ABEH004388
Return to citation in text: [1] -
Ram, V. J.; Pratibha, S.; Singh, S. K.; Kandpal, M.; Tekwani, B. L. Bioorg. Med. Chem. Lett. 1997, 7, 1087–1090. doi:10.1016/S0960-894X(97)00166-2
Return to citation in text: [1] -
Kuribayashi, S.; Goto, K.; Naito, S.; Kamataki, T.; Yamazaki, H. Chem. Res. Toxicol. 2009, 22, 323–331. doi:10.1021/tx8003592
Return to citation in text: [1] -
Maddry, J. A.; Ananthan, S.; Goldman, R. C.; Hobrath, J. V.; Kwong, C. D.; Maddox, C.; Rasmussen, L.; Reynolds, R. C.; Secrist, J. A.; Sosa, M. I.; White, E. L.; Zhang, W. Tuberculosis 2009, 89, 354–363. doi:10.1016/j.tube.2009.07.006
Return to citation in text: [1] -
Ruisi, G.; Canfora, L.; Bruno, G.; Rotondo, A.; Mastropietro, T. F.; Debbia, E. A.; Girasolo, M. A.; Megna, B. J. Organomet. Chem. 2010, 695, 546–551. doi:10.1016/j.jorganchem.2009.11.019
Return to citation in text: [1] -
Sunthankar, S. V.; Vaidya, S. D. Indian J. Chem., Sect. B 1977, 15B, 349.
Return to citation in text: [1] -
Auzzi, G.; Cecchi, L.; Costanzo, A.; Pecori, V. L.; Bruni, F.; Pirisino, R.; Ciottoli, G. B. Farmaco, Ed. Sci. 1979, 34, 478–485.
Return to citation in text: [1] [2] -
Danagulyan, G. G.; Mkrtchan, A. D.; Panosyan, G. A. Chem. Heterocycl. Compd. 2005, 41, 485–491. doi:10.1007/s10593-005-0176-6
Return to citation in text: [1] [2] [3] -
Shikhaliev, K. S.; Krylski, D. V.; Potapov, A. Y.; Nefedov, S. E.; Sidorenko, O. E. Russ. Chem. Bull. 2008, 57, 1268–1272. doi:10.1007/s11172-008-0163-z
Return to citation in text: [1] [2] -
Pryadeina, M. V.; Burgart, Y. V.; Saloutin, V. I.; Chupakhin, O. N. Mendeleev Commun. 2008, 18, 276–277. doi:10.1016/j.mencom.2008.09.017
Return to citation in text: [1] [2] -
Goryaeva, M. V.; Burgart, Y. V.; Saloutin, V. I.; Sadchikova, E. V.; Ulomskii, E. N. Heterocycles 2009, 78, 435–447. doi:10.3987/COM-08-11524
Return to citation in text: [1] [2] -
Goryaeva, M. V.; Burgart, Y. V.; Saloutin, V. I. J. Fluorine Chem. 2013, 147, 15–21. doi:10.1016/j.jfluchem.2013.01.005
Return to citation in text: [1] [2] -
Hussein, A. M.; Ahmed, O. M. Bioorg. Med. Chem. 2010, 18, 2639–2644. doi:10.1016/j.bmc.2010.02.028
Return to citation in text: [1] -
Dougherty, A. M.; Guo, H.; Westby, G.; Liu, Y.; Simsek, E.; Guo, J.-T.; Mehta, A.; Norton, P.; Gu, B.; Block, T.; Cuconati, A. Antimicrob. Agents Chemother. 2007, 51, 4427–4437. doi:10.1128/AAC.00541-07
Return to citation in text: [1] -
Raju, C.; Madhaiyan, K.; Uma, R.; Sridhar, R.; Ramakrishna, S. RSC Adv. 2012, 2, 11657–11663. doi:10.1039/c2ra21330c
Return to citation in text: [1] -
El Ashry, E. S. H.; Rashed, N. Adv. Heterocycl. Chem. 1998, 72, 127–224. doi:10.1016/S0065-2725(08)60316-5
Return to citation in text: [1] -
Kappe, C. O. Tetrahedron 1993, 49, 6937–6963. doi:10.1016/S0040-4020(01)87971-0
Return to citation in text: [1] -
Fedorova, O. V.; Zhidovinova, M. S.; Rusinov, G. L.; Ovchinnikova, I. G. Russ. Chem. Bull. 2003, 52, 1768–1769. doi:10.1023/A:1026052603951
Return to citation in text: [1] -
Atwal, K. S.; Rovnyak, G. C.; O'Reilly, B. C.; Gougoutas, J. Z.; Malley, M. F. Heterocycles 1987, 26, 1189–1192. doi:10.3987/R-1987-05-1189
Return to citation in text: [1] -
Pryadeina, M. V.; Burgart, Ya. V.; Saloutin, V. I.; Kodess, M. I.; Ulomskii, E. N.; Rusinov, V. L. Russ. J. Org. Chem. 2004, 40, 902–907. doi:10.1023/B:RUJO.0000044558.47152.65
Return to citation in text: [1] [2] -
Bensone, F. R. In Heterocyclic Compounds; Elderfield, R. C., Ed.; Wiley: New York, 1967; Vol. 8.
Return to citation in text: [1] -
Deev, S. L.; Shenkarev, Z. O.; Shestakova, T. S.; Chupakhin, O. N.; Rusinov, V. L.; Arseniev, A. S. J. Org. Chem. 2010, 75, 8487–8497. doi:10.1021/jo1017876
Return to citation in text: [1] [2] [3] -
Khalymbadzha, I. A.; Shestakova, T. S.; Deev, S. L.; Rusinov, V. L.; Chupakhin, O. N.; Shenkarev, Z. O.; Arseniev, A. S. Russ. Chem. Bull. 2013, 62, 521–528. doi:10.1007/s11172-013-0072-7
Return to citation in text: [1] [2] -
Pochinok, V. Ya.; Avramenko, L. F.; Grigorenko, P. S.; Skopenko, V. N. Russ. Chem. Rev. 1975, 44, 481–492. doi:10.1070/RC1975v044n06ABEH002355
Return to citation in text: [1] -
Pretsch, E.; Bühlmann, P.; Affolter, C. Structure determination of organic compounds: tables of spectral data; Springer-Verlag: Berlin, 2000. doi:10.1007/978-3-662-04201-4
Return to citation in text: [1] -
Scriven, E. F. V., Ed. Azides and nitrenes. Reactivity and utility; Academic Press: Orlando, 1984.
Return to citation in text: [1] -
Sansebastiano, L.; Mosti, L.; Menozzi, G.; Schenone, P.; Muratore, O.; Petta, A.; Debbia, E.; Schito, A. P.; Schito, G. C. Farmaco 1993, 48, 335–355.
Return to citation in text: [1] -
Gorbunov, E. B.; Novikova, R. K.; Plekhanov, P. V.; Slepukhin, P. A.; Rusinov, G. L.; Rusinov, V. L.; Charushin, V. N.; Chupakhin, O. N. Chem. Heterocycl. Compd. 2013, 49, 766–775. doi:10.1007/s10593-013-1308-z
Return to citation in text: [1] -
Krivopoalov, V. P.; Mamatyuk, V. O.; Mamaev, V. P. Chem. Heterocycl. Compd. 1990, 26, 1370–1375. doi:10.1007/BF00473966
Return to citation in text: [1] -
Uzawa, J.; Uramoto, M. Org. Magn. Reson. 1979, 12, 612–615. doi:10.1002/mrc.1270121103
Return to citation in text: [1] -
Shestakova, T. S.; Shenkarev, Z. O.; Deev, S. L.; Chupakhin, O. N.; Khalymbadzha, I. A.; Rusinov, V. L.; Arseniev, A. S. J. Org. Chem. 2013, 78, 6975–6982. doi:10.1021/jo4008207
Return to citation in text: [1] -
Veale, C. A.; Steelman, G. V.; Chow, M. M. J. Org. Chem. 1993, 58, 4490–4493. doi:10.1021/jo00068a058
Return to citation in text: [1] -
Dyachenko, V. D.; Tkachev, R. P. Russ. J. Org. Chem. 2003, 39, 7573–7793. doi:10.1023/B:RUJO.0000003153.20325.22
Return to citation in text: [1] -
Reiter, J.; Pongo, L.; Dvortsak, P. J. Heterocycl. Chem. 1987, 24, 1149–1154. doi:10.1002/jhet.5570240443
Return to citation in text: [1] -
Ruhemann, S.; Browning, K. C. J. Chem. Soc., Trans. 1898, 73, 280–286. doi:10.1039/CT8987300280
Return to citation in text: [1]
| 7. | Auzzi, G.; Cecchi, L.; Costanzo, A.; Pecori, V. L.; Bruni, F.; Pirisino, R.; Ciottoli, G. B. Farmaco, Ed. Sci. 1979, 34, 478–485. |
| 8. | Danagulyan, G. G.; Mkrtchan, A. D.; Panosyan, G. A. Chem. Heterocycl. Compd. 2005, 41, 485–491. doi:10.1007/s10593-005-0176-6 |
| 9. | Shikhaliev, K. S.; Krylski, D. V.; Potapov, A. Y.; Nefedov, S. E.; Sidorenko, O. E. Russ. Chem. Bull. 2008, 57, 1268–1272. doi:10.1007/s11172-008-0163-z |
| 10. | Pryadeina, M. V.; Burgart, Y. V.; Saloutin, V. I.; Chupakhin, O. N. Mendeleev Commun. 2008, 18, 276–277. doi:10.1016/j.mencom.2008.09.017 |
| 11. | Goryaeva, M. V.; Burgart, Y. V.; Saloutin, V. I.; Sadchikova, E. V.; Ulomskii, E. N. Heterocycles 2009, 78, 435–447. doi:10.3987/COM-08-11524 |
| 12. | Goryaeva, M. V.; Burgart, Y. V.; Saloutin, V. I. J. Fluorine Chem. 2013, 147, 15–21. doi:10.1016/j.jfluchem.2013.01.005 |
| 1. | Kudyakova, Yu. S.; Bazhin, D. N.; Goryaeva, M. V.; Burgart, Y. V.; Saloutin, V. I. Russ. Chem. Rev. 2014, 83, 120–142. doi:10.1070/RC2014v083n02ABEH004388 |
| 10. | Pryadeina, M. V.; Burgart, Y. V.; Saloutin, V. I.; Chupakhin, O. N. Mendeleev Commun. 2008, 18, 276–277. doi:10.1016/j.mencom.2008.09.017 |
| 11. | Goryaeva, M. V.; Burgart, Y. V.; Saloutin, V. I.; Sadchikova, E. V.; Ulomskii, E. N. Heterocycles 2009, 78, 435–447. doi:10.3987/COM-08-11524 |
| 24. | Pochinok, V. Ya.; Avramenko, L. F.; Grigorenko, P. S.; Skopenko, V. N. Russ. Chem. Rev. 1975, 44, 481–492. doi:10.1070/RC1975v044n06ABEH002355 |
| 7. | Auzzi, G.; Cecchi, L.; Costanzo, A.; Pecori, V. L.; Bruni, F.; Pirisino, R.; Ciottoli, G. B. Farmaco, Ed. Sci. 1979, 34, 478–485. |
| 8. | Danagulyan, G. G.; Mkrtchan, A. D.; Panosyan, G. A. Chem. Heterocycl. Compd. 2005, 41, 485–491. doi:10.1007/s10593-005-0176-6 |
| 9. | Shikhaliev, K. S.; Krylski, D. V.; Potapov, A. Y.; Nefedov, S. E.; Sidorenko, O. E. Russ. Chem. Bull. 2008, 57, 1268–1272. doi:10.1007/s11172-008-0163-z |
| 25. | Pretsch, E.; Bühlmann, P.; Affolter, C. Structure determination of organic compounds: tables of spectral data; Springer-Verlag: Berlin, 2000. doi:10.1007/978-3-662-04201-4 |
| 21. | Bensone, F. R. In Heterocyclic Compounds; Elderfield, R. C., Ed.; Wiley: New York, 1967; Vol. 8. |
| 2. | Ram, V. J.; Pratibha, S.; Singh, S. K.; Kandpal, M.; Tekwani, B. L. Bioorg. Med. Chem. Lett. 1997, 7, 1087–1090. doi:10.1016/S0960-894X(97)00166-2 |
| 3. | Kuribayashi, S.; Goto, K.; Naito, S.; Kamataki, T.; Yamazaki, H. Chem. Res. Toxicol. 2009, 22, 323–331. doi:10.1021/tx8003592 |
| 4. | Maddry, J. A.; Ananthan, S.; Goldman, R. C.; Hobrath, J. V.; Kwong, C. D.; Maddox, C.; Rasmussen, L.; Reynolds, R. C.; Secrist, J. A.; Sosa, M. I.; White, E. L.; Zhang, W. Tuberculosis 2009, 89, 354–363. doi:10.1016/j.tube.2009.07.006 |
| 5. | Ruisi, G.; Canfora, L.; Bruno, G.; Rotondo, A.; Mastropietro, T. F.; Debbia, E. A.; Girasolo, M. A.; Megna, B. J. Organomet. Chem. 2010, 695, 546–551. doi:10.1016/j.jorganchem.2009.11.019 |
| 22. | Deev, S. L.; Shenkarev, Z. O.; Shestakova, T. S.; Chupakhin, O. N.; Rusinov, V. L.; Arseniev, A. S. J. Org. Chem. 2010, 75, 8487–8497. doi:10.1021/jo1017876 |
| 23. | Khalymbadzha, I. A.; Shestakova, T. S.; Deev, S. L.; Rusinov, V. L.; Chupakhin, O. N.; Shenkarev, Z. O.; Arseniev, A. S. Russ. Chem. Bull. 2013, 62, 521–528. doi:10.1007/s11172-013-0072-7 |
| 15. | Raju, C.; Madhaiyan, K.; Uma, R.; Sridhar, R.; Ramakrishna, S. RSC Adv. 2012, 2, 11657–11663. doi:10.1039/c2ra21330c |
| 17. | Kappe, C. O. Tetrahedron 1993, 49, 6937–6963. doi:10.1016/S0040-4020(01)87971-0 |
| 18. | Fedorova, O. V.; Zhidovinova, M. S.; Rusinov, G. L.; Ovchinnikova, I. G. Russ. Chem. Bull. 2003, 52, 1768–1769. doi:10.1023/A:1026052603951 |
| 14. | Dougherty, A. M.; Guo, H.; Westby, G.; Liu, Y.; Simsek, E.; Guo, J.-T.; Mehta, A.; Norton, P.; Gu, B.; Block, T.; Cuconati, A. Antimicrob. Agents Chemother. 2007, 51, 4427–4437. doi:10.1128/AAC.00541-07 |
| 19. | Atwal, K. S.; Rovnyak, G. C.; O'Reilly, B. C.; Gougoutas, J. Z.; Malley, M. F. Heterocycles 1987, 26, 1189–1192. doi:10.3987/R-1987-05-1189 |
| 20. | Pryadeina, M. V.; Burgart, Ya. V.; Saloutin, V. I.; Kodess, M. I.; Ulomskii, E. N.; Rusinov, V. L. Russ. J. Org. Chem. 2004, 40, 902–907. doi:10.1023/B:RUJO.0000044558.47152.65 |
| 13. | Hussein, A. M.; Ahmed, O. M. Bioorg. Med. Chem. 2010, 18, 2639–2644. doi:10.1016/j.bmc.2010.02.028 |
| 12. | Goryaeva, M. V.; Burgart, Y. V.; Saloutin, V. I. J. Fluorine Chem. 2013, 147, 15–21. doi:10.1016/j.jfluchem.2013.01.005 |
| 16. | El Ashry, E. S. H.; Rashed, N. Adv. Heterocycl. Chem. 1998, 72, 127–224. doi:10.1016/S0065-2725(08)60316-5 |
| 26. | Scriven, E. F. V., Ed. Azides and nitrenes. Reactivity and utility; Academic Press: Orlando, 1984. |
| 22. | Deev, S. L.; Shenkarev, Z. O.; Shestakova, T. S.; Chupakhin, O. N.; Rusinov, V. L.; Arseniev, A. S. J. Org. Chem. 2010, 75, 8487–8497. doi:10.1021/jo1017876 |
| 23. | Khalymbadzha, I. A.; Shestakova, T. S.; Deev, S. L.; Rusinov, V. L.; Chupakhin, O. N.; Shenkarev, Z. O.; Arseniev, A. S. Russ. Chem. Bull. 2013, 62, 521–528. doi:10.1007/s11172-013-0072-7 |
| 20. | Pryadeina, M. V.; Burgart, Ya. V.; Saloutin, V. I.; Kodess, M. I.; Ulomskii, E. N.; Rusinov, V. L. Russ. J. Org. Chem. 2004, 40, 902–907. doi:10.1023/B:RUJO.0000044558.47152.65 |
| 34. | Reiter, J.; Pongo, L.; Dvortsak, P. J. Heterocycl. Chem. 1987, 24, 1149–1154. doi:10.1002/jhet.5570240443 |
| 35. | Ruhemann, S.; Browning, K. C. J. Chem. Soc., Trans. 1898, 73, 280–286. doi:10.1039/CT8987300280 |
| 32. | Veale, C. A.; Steelman, G. V.; Chow, M. M. J. Org. Chem. 1993, 58, 4490–4493. doi:10.1021/jo00068a058 |
| 33. | Dyachenko, V. D.; Tkachev, R. P. Russ. J. Org. Chem. 2003, 39, 7573–7793. doi:10.1023/B:RUJO.0000003153.20325.22 |
| 8. | Danagulyan, G. G.; Mkrtchan, A. D.; Panosyan, G. A. Chem. Heterocycl. Compd. 2005, 41, 485–491. doi:10.1007/s10593-005-0176-6 |
| 29. | Krivopoalov, V. P.; Mamatyuk, V. O.; Mamaev, V. P. Chem. Heterocycl. Compd. 1990, 26, 1370–1375. doi:10.1007/BF00473966 |
| 30. | Uzawa, J.; Uramoto, M. Org. Magn. Reson. 1979, 12, 612–615. doi:10.1002/mrc.1270121103 |
| 22. | Deev, S. L.; Shenkarev, Z. O.; Shestakova, T. S.; Chupakhin, O. N.; Rusinov, V. L.; Arseniev, A. S. J. Org. Chem. 2010, 75, 8487–8497. doi:10.1021/jo1017876 |
| 31. | Shestakova, T. S.; Shenkarev, Z. O.; Deev, S. L.; Chupakhin, O. N.; Khalymbadzha, I. A.; Rusinov, V. L.; Arseniev, A. S. J. Org. Chem. 2013, 78, 6975–6982. doi:10.1021/jo4008207 |
| 27. | Sansebastiano, L.; Mosti, L.; Menozzi, G.; Schenone, P.; Muratore, O.; Petta, A.; Debbia, E.; Schito, A. P.; Schito, G. C. Farmaco 1993, 48, 335–355. |
| 28. | Gorbunov, E. B.; Novikova, R. K.; Plekhanov, P. V.; Slepukhin, P. A.; Rusinov, G. L.; Rusinov, V. L.; Charushin, V. N.; Chupakhin, O. N. Chem. Heterocycl. Compd. 2013, 49, 766–775. doi:10.1007/s10593-013-1308-z |
© 2015 Goryaeva et al; licensee Beilstein-Institut.
This is an Open Access article under the terms of the Creative Commons Attribution License (http://creativecommons.org/licenses/by/2.0), which permits unrestricted use, distribution, and reproduction in any medium, provided the original work is properly cited.
The license is subject to the Beilstein Journal of Organic Chemistry terms and conditions: (http://www.beilstein-journals.org/bjoc)