Abstract
Three novel spiroketals were prepared by a one-pot transformation of 6-O-methyl-9(E)-hydroxyiminoerythronolide A. We present the formation of a [4.5]spiroketal moiety within the macrolide lactone ring, but also the unexpected formation of a 10-C=11-C double bond and spontaneous change of stereochemistry at position 8-C. As a result, a thermodynamically stable structure was obtained. The structures of two new diastereomeric, unsaturated spiroketals, their configurations and conformations, were determined by means of NMR spectroscopy and molecular modelling. The reaction kinetics and mechanistic aspects of this transformation are discussed. These rearrangements provide a facile synthesis of novel macrolide scaffolds.
Graphical Abstract
Introduction
Macrolide antibiotics are natural or semi-synthetic products of polyketide origin, containing one or more desoxy sugars attached to a macrocyclic lactone aglycon. This large and structurally diverse category of compounds has traditionally been divided into classes based on the aglycon size, principally 12-, 14-, or 16-membered ring macrolides [1]. The most extensively explored naturally occurring 14-membered macrolide erythromycin A was discovered more than 50 years ago. Subsequently it has become the focus of numerous structural modifications, with the primary aim of increasing its antibacterial spectrum, acid stability, masking the foul taste, improving the pharmacodynamic properties and reducing the associated side effects. The two most successful semisynthetic macrolide antibiotics derived from erythromycin A are azithromycin [2,3] and clarithromycin [4]. Recent investigations have shown that beside their antibacterial activity, some macrolides exhibit anti-inflammatory/immunomodulatory [5-10], antitumor [11-13], antiviral [10] or antimalarial [14,15] activity. These discoveries have sparked a new interest in the structural modification of macrolides.
As a structural subunit, spiroketal ring systems [16,17] are present in a wide range of natural compounds. Their rigidity makes them useful for conformational control in heterocycles, but also for stabilizing a highly specific conformation within otherwise flexible larger natural compounds. For example, in cases of calyculin and okadaic acid it has been proposed [18,19] that the spiroketal unit acts as a β-turn mimic.
Naturally occurring spiroketals exhibit a wide spectrum of biological activity: anticancer [20-22], antibiotic [23,24], antifungal [25], anthelmintic [26] and anti-HIV [27]. A previously mentioned example of a protein phosphatase inhibitor okadaic acid is a toxin associated with diarrheic shellfish poisoning [28]. Another example are structurally complex tubulin polymerization-inhibiting macrolides such as spongistatins, a family of compounds isolated from marine sponges, which display extraordinary antitumor activity [29]. At the same time, the spiroketal-containing integramycin acts as an HIV-1 protease inhibitor [27].
The studies of Hayashi et al. have shown that the integrity of the spiroketal subunit is essential for the inhibition of telomerase by rubromycins [30] and it seems that simplified but characteristic spiroketals derived from the parent natural products can retain biological activity [31]. Therefore, the spiroketal unit can be regarded as a biologically validated framework and having a macrolide with spiroketal moiety can lead to new compounds with potentially interesting biological profiles.
Results and Discussion
For several decades now, our continuing primary interest lay in 14-membered macrolides and their semi-synthetic 15-membered derivatives targeting therapeutic areas of bacterial [32-34] and parasitic [35] infections, as well as inflammation [36-38]. In the search for novel scaffolds to be used as a fresh starting point for further derivatisation [39], we explored modifications to the macrocyclic ring. Oxidative deoximation of 1 in mild acidic media, shown in Scheme 1, led us to an unexpected macrolide-spiroketal 2 which sparked our interest, not only because the spiroketal is a biologically relevant subunit whose incorporation into macrolide could yield interesting biological activity, but also because this unit provides unique rigidity to the 6-C to 12-C region of the macrocycle allowing for specific orientations of the functional groups.
Scheme 1: Synthetic route to spiroketals 2–4. Reaction conditions: a) Na2S2O5/HCOOH/EtOH/water/70 °C, b) DCl/CDCl3/rt.
Scheme 1: Synthetic route to spiroketals 2–4. Reaction conditions: a) Na2S2O5/HCOOH/EtOH/water/70 °C, b) DCl/...
The spiroketal unit in erythromycin derivatives is not unknown in the literature, though. As the principal product of erythromycin A acid degradation, anhydroerythromycin A has been studied [40,41] since erythromycin A started being used in human medicine as an antibiotic. This 14-membered macrolide contains a [4.4]spiroketal unit connecting 6-C–O–9-C–O–12-C. Stereochemistry at position 9-C of this spiroketal was determined by combination of NMR spectroscopy and molecular modelling [42]. The kinetics of its formation has also been extensively studied [43-46]. Most recently, in the latest revision of the reaction pathway Hassanzadeh et al. showed that this macrolide spiroketal in acid media exists in equilibrium with the 9,12-hemiacetal of erythromycin A [47]. The closely related antibiotic clarithromycin (structurally related to our starting aglycon 1) in acid medium does not degrade to the spiroketal but instead loses the cladinose sugar [48,49]. The degradation process terminates with decladinosyl clarithromycin in equilibrium with the 9,12-hemiacetal decladinosyl clarithromycin [50].
Unlike the acid degradation product anhydroerythromycin A, the spiroketal 2 exhibits the much less common [4.5]spiroketal unit connecting 5-C–O–9-C–O–12-C; its existence is made possible by the free 5-OH functionality of the starting aglycon 1 [39,51]. Native macrolide aglycons are rarely found in nature [52], most likely because they are quickly glycosylated even before macrolactonisation [53]. The [4.5]ring system identified in the spiroketal 2 has been rarely explored in the literature: one example being the corresponding derivative of erythronolide B [54] unexpectedly formed during the acid-catalysed removal of a 3,5-acetonide protecting group, with the structure and stereochemistry confirmed by X-ray crystallography. The two others were obtained during a total synthesis of erythronolide Al [55,56], as a result of deprotection of the 3,5-benzylidene acetal of erythronolide A (with or without a triethylsilyl protecting group on 6-O). However, no additional data was presented to confirm the stereochemistry at 8-C and 9-C.
While characterising spiroketal 2 we noticed that, though stable in DMSO-d6, it degrades in CDCl3 (results not shown). Unstabilised CDCl3 slowly decomposes to produce acidic byproducts, ultimately producing traces of hydrochloric acid which we assumed was the cause of further transformations of spiroketal 2. Since the erythromycin A acid degradation ends the with formation of the spiroketal, we were interested to characterise these unexpected products derived from spiroketal 2. Erythronolides as polyhydroxyketones could undergo skeletal transformations such as epimerisations, spiroketalisation, translactonisation, dehydroxylations, etc. [57]. Grover et al. [58] have previously shown that during the oximation of erythromycin A, unexpected side reactions led to the formation of a 6,9-intramolecular enol ether, translactonisation or formation of anhydroerythromycin A, perhaps resulting from acetic acid traces generated during the reaction acting upon either the starting material, or deoximation of the intended product. We therefore repeated the experiment in fresh, stabilised chloroform to study the reaction kinetics and to isolate and fully characterise the products.
Structure elucidation of compound 2
Analysis of HMBC spectra, as well as chemical shift comparison with the parent compound 1 [39], showed that the 9-C-signal of 2 exhibits a large upfield shift to 107.1 ppm (168.1 ppm in 1), as well as intense HMBC cross-peaks with 4-H and 5-H. At the same time, the carbon signal of 12-C in 2 is found at 81.8 ppm (73.4 ppm in 1). These suggest their participation in a [4.5]spiroketal ring system. Such types of spiroketals usually appear in two conformations – typically in a more stable anomeric and most often in a less stable nonanomeric form [23]. To determine the configuration at 9-C and elucidate the conformation of 2, nOe analysis was performed (Tables SI1 and SI2, in Supporting Information File 1), followed by molecular modelling. Very strong nOe correlations between 2-H, 5-H and 10-H observed in both DMSO-d6 and CDCl3 attest to their close spatial proximity (2.0–2.6 Å). Other characteristic observed nOe interactions are: very strong 4-H↔6-Me, 8-Me↔10-Me, 3-H↔4-Me, 5-H↔7-Hax, 5-H↔6-Me, 5-H↔10-Me correlations and a weak interaction between 4-Me and 5-H.
To simplify the generation of the three-dimensional structure and avoid time-consuming molecular dynamic simulations, the starting model of 2 was created from the X-ray single crystal structure of tricyclic spiroketal (CSD entry: ERYTHR) [55], with replacement of the 6-hydroxy group by 6-methoxy. A two-step minimization process consisted of adding energy constraints to the X-ray structure followed by unconstrained minimization. Significant conformational changes were not expected due to the rigidity of the tricyclic system. A low energy conformation of 2 is presented in Figure 1.
Figure 1: Modelling-derived structure of 2 showing key nOe interactions (calculated distances in Å).
Figure 1: Modelling-derived structure of 2 showing key nOe interactions (calculated distances in Å).
Analogous to pyranoside conformations, the highly substituted tetrahydropyran ring is in a 5C8 conformation [59] and it is not anomerically stabilised. The bulky 6-OMe group and 10-C are axially oriented while 4-C, 6-Me, 8-Me and 12-O are equatorial. Experimental evidences for such 5C8 conformation is the large 3J7-H,8-H coupling constant (14 Hz) suggesting equatorial orientation of 8-Me. The strong 1,3-axial interactions between 5-H and axial 7-H confirms their proximity and equatorial orientation of 4-C. Strong correlation between 6-OMe and equatorial 7-H with absence of interactions with axial 7-H suggests that 6-OMe is axially oriented. The alternative 8C5 conformation would be unfavourable due to adverse 1,3-diaxial interactions between the four substituents.
Having determined the stereochemistry at position 9-C to be R, we compared the chemical shifts of 2 to the 6-OTES protected spiroketal reported by Carreira [56]. The close correspondence of the chemical shifts between the two suggests that both compounds share the same configuration.
Reaction kinetics
Dissolution in fresh stabilised CDCl3 showed no evidence of change, suggesting that observed transformations were caused by acidic species arising from chloroform decomposition. It was shown [16,23,60] that acidic media can catalyse polyhydroxy ketone transformations to spiroketals. Therefore, we undertook the study of the acid-promoted transformation of 2 by accumulation of time-dependent 1H NMR spectra at constant temperature (Figure 2).
Figure 2: Time-dependent 1H NMR spectra of 2, 3 and 4 (13-H multiplets region). The experiments were performed on 0.1 M chloroform-d1 solution of 2 at 25 °C. Spectra were recorded at appropriate time intervals after the initial addition of 10 μL of 1 M HCl.
Figure 2: Time-dependent 1H NMR spectra of 2, 3 and 4 (13-H multiplets region). The experiments were performe...
The mole fractions of the species in the mixture were calculated from the collected spectra using the 13-H integrals and used to examine the kinetics (Figure 3), as well as gain insight into the reaction mechanism. The model of consecutive first-order reactions with a reversible second step [61]:
was used to describe the observed time-dependencies of each species in the mixture, giving calculated rate constants k1 of 1.15 × 10−6 s−1 for the first reaction step, with k2 and k3 of 3.63 × 10−7 s−1 and 5.28 × 10−8 s−1, respectively, for the second (equilibrium) reaction (R2 = 0.9978113).
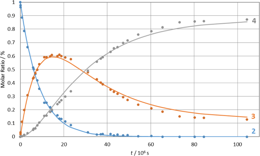
Figure 3: Interconversion kinetics of compounds 2 (blue), 3 (orange) and 4 (grey).
Figure 3: Interconversion kinetics of compounds 2 (blue), 3 (orange) and 4 (grey).
Conversion of 2 into compounds 3 and 4 proceeds to completion after approximately 47 days ([2]/[2] 0 = 1% at 1123 h). The concentration of compound 3 first increases reaching the maximum after 18 days and then decreases, while the concentration of compound 4 steadily increases throughout the experiment. The reaction ends in an apparent equilibrium with relative concentrations of 13% and 87%, for 3 and 4, respectively. These findings indicate that 3 is the kinetic and 4 the thermodynamic product. In an effort to effect full conversion of 3 to 4, after 120 days the mixture was heated in a microwave reactor for 30 minutes at 120 °C. However, the product ratio was found to be unchanged.
Structure elucidation of compound 3
The main feature of compound 3 is the appearance of a double bond between 10-C and 11-C, as evidenced by the signal in the 1H NMR spectrum at 5.65 ppm and relevant HMBC correlations. The initial 3D structure of the compound was generated from the previously modelled conformation of 2 by eliminating 10-H and 11-OH, forming an endocyclic double bond. Minimization of this structure resulted, as expected, in small changes at positions 10-C and 11-C (Figure 4), while all other atoms remained in almost identical positions. The tetrahydropyran ring in 3 also assumes 5C8 conformation which explains the observed system of nOe correlations between 2-H, 5-H and 10-Me (2.2–2.9 Å), as well as 8-Me↔10-Me (2.7 Å) and 11-H ↔14b-H (2.8 Å) interactions, all shown in Table SI3, in Supporting Information File 1. The coupling constants 3J8-H,7-Ha and 3J8-H,7-Hb (one strong, antiperiplanar and one weak, synclinal) suggest an axial orientation of 8-H and equatorial position of 8-Me. Similar to 2, the six-membered tetrahydropyran assumes an anomerically non-stabilised chair conformation with the larger 6-methoxy substituent in the axial position.
Figure 4: Modelling-derived structure of 3 showing key nOe interactions (calculated distances in Å).
Figure 4: Modelling-derived structure of 3 showing key nOe interactions (calculated distances in Å).
Structure elucidation of compound 4
Determining the structure of the thermodynamically stable product 4 proved to be more challenging. Our initial hypothesis was that it was an anomerically stabilised 8C5 conformer of 3 with the 6-methoxy group in the more stable equatorial position. Molecular mechanics calculations, however, showed that such a structure should be energetically unfavourable due to 1,3-repulsion between the axial 6-methyl and 8-methyl groups. Therefore, nOe interactions (Table SI4, Supporting Information File 1) and proton–proton coupling constants (Table SI5, Supporting Information File 1) were introduced into the modelling calculations as distance and angle constraints.
Various conformations of the proposed structure were analysed by molecular mechanics calculations, but only one structure (Figure 5), with inverted stereochemistry at the 8-C position (8S) was consistent with all measured nOe contacts and vicinal coupling constants.
Figure 5: Modelling-derived structure of compound 4 showing key nOe interactions (calculated distances in Å).
Figure 5: Modelling-derived structure of compound 4 showing key nOe interactions (calculated distances in Å).
Numerous nOe interactions support the proposed structure. Correlations of 5-H with both substituents at position 6 suggest that this hydrogen atom is in equatorial position, placing 4-C axially. For comparison, only the strong interaction 5-H↔6-Me is observed in both 2 and 3. Furthermore, the absence of nOe correlation between 5-H and either of the 7-Hs (contrary to both 2 and 3) confirms its equatorial position. Strong interactions of 8-H with both 6-Me and 10-Me, as well as large 3J7-H, 8-H suggest equatorial orientation for 8-Me.
Structural comparisons
The most significant structural changes between 3 and 4 are a consequence of the configurational change within the tetrahydropyran ring (Figure 6).
Figure 6: Comparison of the spiroketal ring system stereochemistry and conformations in compounds 2–4.
Figure 6: Comparison of the spiroketal ring system stereochemistry and conformations in compounds 2–4.
Compound 4 is approximately 0.9 kcal mol−1 more stable than 3 (calculated in CHCl3 using the MMFF94 force field). Obviously, the anomeric effect has a strong influence on the preferred conformation of the spiroketal ring. In 4 the tetrahydropyran ring adopts the 8C5-conformation with the 6-methoxy group in the equatorial and the three substituents in the axial positions (12-O bridge, 4-C and 6-Me). Inversion of the 8-C configuration results in 8-Me adopting the equatorial position, removing unfavourable steric interactions (Figure 7).
Figure 7: Overlay of the computed structures of 3 (green) and 4 (blue).
Figure 7: Overlay of the computed structures of 3 (green) and 4 (blue).
Reaction mechanism
Although uncommon, epimerisation at position 8-C was reported earlier [62] in structurally similar compounds when exposed to analogous reaction conditions. A plausible mechanism of the transformations as discussed is presented in Scheme 2.
Scheme 2: Postulated mechanism for the formation of compounds 2–4.
Scheme 2: Postulated mechanism for the formation of compounds 2–4.
The whole equilibrium process most likely consists of a series of hemiketal and enol ether transformations. Thus the elusive intermediate A in acidic media forms a hemiketal B (B1 or B2). From our data and literature precedents it is not clear if the 6-membered (B1) or the 5-membered (B2) intermediate is formed first. Based on chemical calculations Hassanzadeh et al. suggested 12-O-enol ether formation (type C2) and final spiroketalisation [42] via the corresponding oxocarbenium type transition state. Carreira et al. on the other hand isolated a 6-membered enol ether (type C1) and further transformed it into a [4.5]spiroketal [56]. Whichever pathway is applicable, it transpires through loss and regain of chirality either at 8-C (C1) or 10-C (C2) and final formation of the spiroketal 2. Loss and regain of chirality at 8-C proceeds with complete retention of the configuration with the methyl group in an equatorial position on the tetrahydropyran ring. Prolonged acidic treatment of 2 leads either back to C1 or to its isomer C2. The latter loses a molecule of water via an intramolecular SN2’ mechanism forming the unsaturated spiroketal 3. Repeated spiroketal opening leads to the conjugated enol ether E with loss of the chiral centre at 8-C. Reports on clarithromycin acid degradation suggest that enol ethers of this type exist as mixtures of 8E, 10Z and 8Z, 10Z isomers [49], that might even equilibrate [50]. It is not clear which step is C-8 stereo determining but we might assume that spiroketalisation of each of E isomers goes through an oxocarbenium type transition state that have different stereochemistry on C-8. That reflects in formation of the two isomeric products 3 and 4, with the latter anomerically stabilized and thermodynamically more stable. In this case the complete epimerization to 8S occurs with the methyl group again occupying an equatorial position.
A structurally similar acid-catalyzed erythromycin A decomposition product, erythralosamine [40,41] containing a [4.4] rather than [4.5]spiroketal ring and double bond between 10-C and 11-C has been characterised by X-ray analysis [63]. Only one enantiomer at 8-C was isolated, showing retention of stereochemistry. This would support the hypothesis that the difference in energies of the 6-membered ring anomers relative to a 5-membered ring is sufficient to drive the conversion of 3 to 4.
Conclusion
In this paper we have presented the acid-promoted modification of 6-O-methyl-9(E)-hydroxyiminoerythronolide A into three rigid tricyclic spiroketal systems 2, 3 and 4. Compound 2 proved to be stable in non-acidic media. After acidic treatment two new dehydrated molecules are formed: compound 3 which with time spontaneously transforms into the thermodynamically more stable 4. The most significant structural change is inversion of configuration at 8-C accompanied by a conformational change of the tetrahydropyran ring from one chair conformation 5C8 into another, anomerically stabilised, 8C5 conformation. These transformations give a facile route for the synthesis of novel macrolide spiroketals.
Experimental
Materials
Oxime 1 was synthesized according to the previously published procedure [39,51,64]. The structures of all compounds were confirmed by NMR spectroscopy, LC–HRMS and molecular modelling. Both NMR spectroscopy and LC-MS were used to ascertain purity (greater than 95% for all compounds).
Reaction kinetics
30 mg of 2 was dissolved in 0.7 mL chloroform-d1 giving the final compound concentration of 0.1 M. Comparison of the proton spectrum taken immediately after dilution and the proton spectrum taken after 3 days showed no differences at all. Moments prior to the beginning of the kinetics experiment 10 μL of 1 M HCl was added into the NMR tube. Immediately the reaction started and was monitored by 1H NMR spectroscopy at 25 °C. The rate constants were calculated using Microsoft Excel 2013 (32 bit) for Microsoft Windows 8.1 (64 bit) with Solver add-in (see Supporting Information File 1).
NMR Spectroscopy
One and two-dimensional NMR spectra (1H, APT, COSY, NOESY, ROESY, edited-HSQC and HMBC) were recorded on Bruker Avance III 600 and Bruker Avance DRX 500 spectrometers, both equipped with 5 mm diameter inverse detection probe with z-gradient accessory, as well as a Bruker Avance DPX 300 spectrometer using a 5 mm DUL 1H/13C probe. All spectra were recorded using standard Bruker pulse sequences on compounds dissolved in DMSO-d6 and CDCl3 at 25 °C, with TMS as the internal standard. NOESY spectra were obtained with a 400 ms mixing time. NMR analysis of compound 2 was performed in both DMSO-d6 and CDCl3. Initial full assignment and conformational analysis of compound 3 was performed at the point of maximum concentration of compound 3. The final kinetics reaction mixture was evaporated to dryness and re-dissolved in DMSO-d6 for the structure elucidation of 4, as signal broadening occurred in the NMR spectra recorded in CDCl3. The compounds 3 and 4 were later re-synthesised, isolated by preparative HPLC–MS and fully assigned as individual compounds.
Molecular modelling
The model of 2 was generated from the single crystal X-ray structure of erythronolide A anhydro derivative (CSDC refcode: ERYTHR [55]) and minimized with constraints of 1000 kcal on all atoms with known X-ray coordinates. The model of 3 was generated from the model of compound 2. The model of 4 was obtained by molecular modelling with NMR constraints: strong nOe correlations were converted to a distance constraint of 2.0–2.5 Å, medium as 2.5–3.5 Å and weak as 3.5–5.0 Å, while vicinal coupling constants were converted to angle constraints. All calculations were performed using the MMFF94 force field implemented in Schrodinger Maestro 2015-1 [65].
Preparative LC–MS
Compounds were purified using a Waters Mass Directed AutoPurification System using a XBridge MS C18 column (19 × 100 mm, 5 µm) and isocratic technique (using mixture of eluents 40% 10 mM NH4HCO3/pH 10 and 60% CH3CN). The flow rate was maintained at 17 mL/min.
LC–HRMS
Positive ion mass spectra were acquired on a Micromass Q-Tof-2 equipped with a Z-spray interface, operated in positive ion mode over a mass range of 100–1000 Da, with a scan time of 1.0 s and an interscan delay of 0.1 s. Reserpine was used as the external calibrant lock mass ([M + H]+ = 609.2812 Da). Ionization was achieved with a spray voltage of 3.5 kV, a cone voltage of 20 V, with cone and desolvation gas flows of 20–30 and 500 L/h, respectively. The source block and desolvation temperatures were maintained at 125 °C and 150 °C, respectively. The elemental composition was calculated using MassLynx v4.1 for the [M + H]+ (or other mentioned adducts) and the mass error quoted as ppm. Chromatography was performed using an Agilent 1100 HPLC instrument equipped with a XBridge 2.1 × 150 mm 3.5 μm column (Waters, Milford, USA). Gradient elution was carried out with the mobile phases as (A) 10 mM NH4HCO3, pH 10 and (B) CH3CN.
Synthesis
Preparation of compound 2
6-O-Methyl-9(E)-hydroxyiminoerythronolide A (1) (0.6 g, 1.341 mmol) was dissolved in EtOH (20 mL). Water was added (24 mL), followed by HCOOH (142.2 µL, 3.75 mmol) and Na2S2O5 (1.02 g, 5.37 mmol) with continuous stirring at room temperature. The reaction mixture was heated to about 70 °C and after 45 minutes the additional amount of Na2S2O5 (1.02 g, 6.38 mmol) was added. After 4 hours the heating was turned off and the reaction mixture was left to stir overnight at room temperature. The reaction mixture was concentrated and extracted with DCM (6 × 20 mL). Combined organics were washed with sat. aq. NaHCO3 (3 × 10 mL), brine (2 × 10 mL) and dried over Na2SO4. Evaporation of solvent afforded crude product 2 which was further purified by column chromatography on silica-gel (LC-Packing 60 mL, 20 g, Supelco) eluting with 100→95% CH2Cl2/(MeOH/NH4OH 9:1.5). The product was obtained as white powder. 0.197 g (33.9%).
1H NMR (600 MHz, DMSO-d6) δ 0.71 (t, J = 7.4 Hz, 3H, 15-H), 0.89 (d, J = 7.5 Hz, 3H, 8-Me), 0.98 (s, 3H, 6-Me), 1.04 (d, J = 7.5 Hz, 3H, 4-Me), 1.16 (s, 3H, 12-Me), 1.23 (d, J = 7.0 Hz, 3H, 2-Me), 1.27 (d, J = 7.3 Hz, 3H, 10-Me), 1.48–1.54 (m, 1H, 14-H), 1.54–1.60 (dd, J = 14.0 Hz, 1H, 7-H), 1.76–1.84 (m, 1H, 8-H), 1.88 (dd, J = 14.8, 3.5 Hz, 1H, 7-H), 1.93–1.99 (m, 1H, 14-H), 1.97–2.02 (m, 1H, 4-H), 2.34 (dq, J = 9.2, 6.9 Hz, 1H, 2-H), 2.97–3.05 (m, 1H, 10-H), 3.01 (s, 3H, 6-OMe), 3.27 (ddd, J = 9.2, 5.4, 1.3 Hz, 1H, 3-H), 3.36 (dd, J = 10.6, 6.0 Hz, 1H, 11-H), 3.52 (s, 1H, 5-H), 4.63 (dd, J = 12.0, 3.1 Hz, 1H, 13-H), 4.77 (d, J = 5.4 Hz, 1H, 3-OH), 5.26 (d, J = 6.1 Hz, 1H, 11-OH); 13C NMR (150 MHz, DMSO-d6) δ 10.6 (15-C), 14.8 (8-Me), 15.1 (4-Me), 15.4 (10-Me), 18.5 (2-Me), 20.5 (6-Me), 23.7 (12-Me), 23.8 (14-C), 34.1 (8-C), 34.8 (7-C), 41.5 (4-C), 44.9 (2-C), 47.0 (10-C), 47.9 (6-OMe), 74.4 (6-C), 76.0 (5-C), 77.9 (3-C), 80.1 (13-C), 81.8 (12-C), 85.8 (11-C), 107.1 (9-C), 173.3 (1-C); 1H NMR (500 MHz, CDCl3) δ 0.86 (t, J = 7.3 Hz, 3H, 15-H), 0.98 (d, J = 7.3 Hz, 3H, 8-Me), 1.07 (s, 3H, 6-Me), 1.26 (d, J = 7.5 Hz, 3H, 4-Me), 1.31 (s, 3H, 12-Me), 1.40 (d, J = 6.7 Hz, 3H, 2-Me), 1.41 (d, J = 7.3 Hz, 3H, 10-Me), 1.60 (dd, J = 14.8, 13.9 Hz, 1H, 7-H), 1.74 (dqd, J = 14.0, 7.4, 3.5 Hz, 1H, 14-H), 1.86 (dqd, J = 14.6, 11.9, 7.3 Hz, 1H, 14-H), 1.85 (br. s., 1H, 3-OH), 1.95 (dd, J = 14.9, 3.6 Hz, 1H, 7-H), 1.99 (d, J = 11.8 Hz, 1H, 11-OH), 2.08 (q, J = 7.6 Hz, 1H, 4-H), 2.12 (dqd, J = 10.1, 7.1, 3.5 Hz, 1H, 8-H), 2.46 (dq, J = 9.2, 6.9 Hz, 1H, 2-H), 2.87 (dq, J = 9.8, 7.5 Hz, 1H, 10-H), 3.09 (s, 3H, 6-OMe), 3.52 (dd, J = 11.5, 9.8 Hz, 1H, 11-H), 3.54 (s, 1H, 5-H), 3.69 (dd, J = 9.5, 1.5 Hz, 1H, 3-H), 5.06 (dd, J = 12.1, 3.5 Hz, 1H, 13-H); 13C NMR (126 MHz, CDCl3) δ 10.5 (15-C), 15.0 (4-Me), 15.1 (8-Me), 16.1 (10-Me), 18.4 (2-Me), 20.9 (6-Me), 23.9 (12-Me), 25.0 (14-C), 34.2 (8-C), 35.6 (7-C), 42.6 (4-C), 45.3 (2-C), 48.2 (6-OMe), 50.5 (10-C), 74.4 (6-C), 77.2 (5-C), 79.3 (3-C), 82.1 (13-C), 83.0 (12-C), 89.1 (11-C), 107.9 (9-C), 173.0 (1-C) ppm; HRMS: [M + H]+ measured 415.2679, calculated 415.2696, error −4.1 ppm
Preparation of compounds 3 and 4
Two drops of 38% DCl solution in D2O were added to the solution of compound 2 (82.6 mg) in CDCl3 (5.5 mL). The reaction mixture was left to stir and its progress was monitored with 1H NMR, until the starting compound disappeared and the 3 to 4 ratio was approximately 50:50. The reaction mixture was then evaporated and purified by preparative LC–MS (Instrument: Waters purification system – ZQ) to give compounds 3 (16 mg, purity: 98.7%) and 4 (37 mg, purity: 98.5%) as white solids.
Compound 3: 1H NMR (600 MHz, CDCl3) δ 0.85 (d, J = 7.3 Hz, 3H, 8-Me), 0.87 ( t, J = 7.3 Hz, 3H,15-H), 1.10 (s, 3H, 6-Me), 1.23 (d, J = 7.5 Hz, 3H, 4-Me), 1.27 (s, 3H, 12-Me), 1.32 (d, J = 7.2 Hz, 3H, 2-Me), 1.35 (ddq, J = 14.0, 11.9, 7.3 Hz, 1H, 14-H), 1.46 (dd, J = 14.1 Hz, 1H, 7-H), 1.66 (dqd, J = 14.0, 7.3, 3.0 Hz, 1H, 14-H), 1.95 (dd, J = 14.7, 3.1 Hz, 1H, 7-H), 2.02 (d, J = 1.4 Hz, 3H, 10-Me), 2.15–2.23 (m, 1H, 4-H), 2.15–2.21 (m, 1H, 8-H), 2.65 (dq, J = 7.3 Hz, 1H, 2-H), 3.10 (s, 3H, 6-OMe), 3.77 (dd, J = 7.4, 3.4 Hz, 1H, 3-H), 4.02 (d, J = 2.1 Hz, 1H, 5-H), 4.97 (dd, J = 11.5, 2.8 Hz, 1H, 13-H), 5.65 (d, J = 1.4 Hz, 1H, 11-H); 13C NMR (75 MHz, CDCl3) δ 10.4 (15-C), 14.0 (4-Me), 15.3 (8-Me), 16.3 (10-Me), 18.2 (2-Me), 21.4 (6-Me), 22.5 (12-Me), 24.4 (14-C), 32.1 (8-C), 36.4 (7-C), 41.9 (4-C), 46.3 (2-C), 48.3 (6-OMe), 74.3 (6-C), 78.8 (3-C), 78.9 (5-C), 79.0 (13-C), 88.9 (12-C), 112.1 (9-C), 131.2 (11-C), 138.8 (10-C), 174.0 (1-C); HRMS: [M + H]+ measured 397.2586, calculated 397.2590, error −1 ppm.
Compound 4: 1H NMR (600 MHz, CDCl3) δ 0.78 (d, J = 6.6 Hz, 3H, 8-Me), 0.93 (t, J = 7.3 Hz, 3H, 15-H), 1.18 (d, J = 7.7 Hz, 3H, 4-Me), 1.24 (s, 3H, 12-Me), 1.27 (d, J = 6.8 Hz, 3H, 2-Me), 1.40 (s, 3H, 6-Me), 1.42 (ddq, J = 14.0, 11.0, 7.3 Hz, 1H, 14-H), 1.61 (dd, J = 12.4, 4.0 Hz, 1H, 7-H), 1.68 (dqd, J = 14.0, 7.3, 2.4 Hz, 1H, 14-H), 1.67–1.72 (m, 1H, 7-H), 1.72 (d, J = 1.6 Hz, 3H, 10-Me), 1.87 (dqd, J = 13.3, 6.7, 4.2 Hz, 1H, 8-H), 2.31 (q, J = 7.1 Hz, 1H, 4-H), 2.89 (dq, J = 7.5 Hz, 1H, 2-H), 3.21 (s, 3H, 6-OMe), 3.77 (dd, J = 7.4, 3.4 Hz, 1H, 3-H), 4.24 (br. s., 1H, 5-H), 4.77 (dd, J = 11.3, 2.5 Hz, 1H, 13-H), 5.53 (d, J = 1.4, 1H, 11-H); 13C NMR (75 MHz, CDCl3) δ 10.8 (15-C), 11.7 (10-Me), 14.7 (4-Me), 17.4 (2-Me), 17.5 (8-Me), 22.8 (12-Me), 24.1 (14-C), 24.8 (6-Me), 31.8 (8-C), 34.1 (7-C), 41.6 (4-C), 43.3 (2-C), 48.9 (6-OMe), 73.3 (6-C), 78.9 (13-C), 79.6 (3-C, 5-C), 89.6 (12-C), 111.1 (9-C), 125.7 (11-C), 139.6 (10-C), 176.1 (1-C); 1H NMR (600 MHz, DMSO-d6) δ 0.71 (d, J = 6.6 Hz, 3H, 8-Me), 0.80 (t, J = 7.3 Hz, 3H, 15-H), 1.01 (d, J = 7.9 Hz, 3H, 4-Me), 1.09 (d, J = 6.8 Hz, 3H, 2-Me), 1.18 (s, 3H, 12-Me), 1.33 (s, 3H, 6-Me), 1.35 (ddq, J = 14.5, 11.3, 7.2 Hz, 1H, 14-H), 1.50 (dd, J = 12.7 Hz, 1H, 7-H), 1.62 (dd, J = 12.0, 3.7 Hz, 1H, 7-H), 1.67 (dqd, J = 14.0, 7.5, 2.4 Hz, 1H, 14-H), 1.66 (d, J = 1.6 Hz, 3H, 10-Me), 1.86 (dqd, J = 13.4, 6.6, 3.8 Hz, 1H, 8-H), 2.18 (qdd, J = 7.8, 3.0, 2.0 Hz, 1H, 4-H), 2.63 (dq, J = 10.3, 6.8 Hz, 1H, 2-H), 3.12 (s, 3H, 6-OMe), 3.37–3.40 (m, 1H, 3-H), 4.17 (s, 1H, 5-H), 4.59 (dd, J = 11.3, 2.4 Hz, 1H, 13-H), 4.87 (br. s., 1H, 3-OH), 5.66 (q, J = 1.4 Hz, 1H, 11-H) ppm; 13C NMR (151 MHz, DMSO-d6) δ 10.6 (15-C), 11.4 (10-Me), 14.7 (4-Me), 17.3 (8-Me), 17.5 (2-Me), 22.5 (12-Me), 23.3 (14-C), 24.4 (6-Me), 31.2 (8-C), 33.7 (7-C), 40.6 (4-C), 42.7 (2-C), 48.5 (6-OMe), 72.7 (6-C), 77.6 (3-C), 78.2 (13-C), 79.0 (5-C), 89.3 (12-C), 110.5 (9-C), 126.0 (11-C), 138.3 (10-C), 175.6 (1-C) ppm; HRMS: [M + H]+ measured 397.2588, calculated 397.2590, error −0.5 ppm
Supporting Information
| Supporting Information File 1: Observed nOe contacts (Tables SI1–4), proton vicinal coupling constants used for molecular modelling calculations (Table SI5) and accurate mass measurements (Table SI7) for compounds 2–4, as well as HRMS fragmentation for compound 2 (Figures SI1 and SI2, Table SI6). Details of the reaction kinetics calculation. | ||
| Format: PDF | Size: 767.7 KB | Download |
| Supporting Information File 2: Results of molecular modelling for compounds 2–4 in mol2 format. | ||
| Format: ZIP | Size: 5.7 KB | Download |
| Supporting Information File 3: NMR spectra of compounds 2–4. | ||
| Format: ZIP | Size: 2.0 MB | Download |
References
-
Mutak, S. J. Antibiot. 2007, 60, 85–122. doi:10.1038/ja.2007.10
Return to citation in text: [1] -
Djokić, S.; Kobrehel, G.; Lopotar, N.; Kamenar, B.; Nagl, A.; Mrvoš, D. J. Chem. Res., Synop. 1988, 152–153.
Return to citation in text: [1] [2] [3] -
Djokić, S.; Kobrehel, G.; Lazarevski, G.; Lopotar, N.; Tamburašev, Z.; Kamenar, B.; Nagl, A.; Vicković, I. J. Chem. Soc., Perkin Trans. 1 1986, 1881–1890. doi:10.1039/p19860001881
Return to citation in text: [1] -
Morimoto, S.; Takahashi, Y.; Watanabe, Y.; Omura, S. J. Antibiot. 1984, 37, 187–189. doi:10.7164/antibiotics.37.187
Return to citation in text: [1] -
Čulić, O.; Eraković, V.; Parnham, M. J. Eur. J. Pharmacol. 2001, 429, 209–229. doi:10.1016/S0014-2999(01)01321-8
Return to citation in text: [1] -
Shinkai, M.; Henke, M. O.; Rubin, B. K. Pharmacol. Ther. 2008, 117, 393–405. doi:10.1016/j.pharmthera.2007.11.001
Return to citation in text: [1] -
Alzolibani, A. A.; Zedan, K. Mediators Inflammation 2012, No. 159354. doi:10.1155/2012/159354
Return to citation in text: [1] -
Kwiatkowska, B.; Maślińska, M. Mediators Inflammation 2012, No. 636157. doi:10.1155/2012/636157
Return to citation in text: [1] -
Ogrendik, M. Int. J. Gen. Med. 2014, 43–47. doi:10.2147/IJGM.S56957
Return to citation in text: [1] -
Wong, E. H. C.; Porter, J. D.; Edwards, M. R.; Johnston, S. L. Lancet Respir. Med. 2014, 2, 657–670. doi:10.1016/S2213-2600(14)70107-9
Return to citation in text: [1] [2] -
Mikasa, K.; Sawaki, M.; Kita, E.; Hamada, K.; Teramoto, S.; Sakamoto, M.; Maeda, K.; Konishi, M.; Narita, N. Chemotherapy 1997, 43, 288–296. doi:10.1159/000239580
Return to citation in text: [1] -
Hamada, K.; Mikasa, K.; Yunou, Y.; Kurioka, T.; Majima, T.; Narita, N.; Kita, E. Chemotherapy 2000, 46, 49–61. doi:10.1159/000007256
Return to citation in text: [1] -
Altman, J. K.; Platanias, L. C. Leuk. Lymphoma 2012, 53, 1255–1256. doi:10.3109/10428194.2012.661857
Return to citation in text: [1] -
Andersen, S. L.; Oloo, A. J.; Gordon, D. M.; Ragama, O. B.; Aleman, G. M.; Berman, J. D.; Tang, D. B.; Dunne, M. W.; Shanks, G. D. Clin. Infect. Dis. 1998, 26, 146–150. doi:10.1086/516281
Return to citation in text: [1] -
Taylor, W. R. J.; Richie, T. L.; Fryauff, D. J.; Picarima, H.; Ohrt, C.; Tang, D.; Braitman, D.; Murphy, G. S.; Widjaja, H.; Tjitra, E.; Ganjar, A.; Jones, T. R.; Basri, H.; Berman, J. Clin. Infect. Dis. 1999, 28, 74–81. doi:10.1086/515071
Return to citation in text: [1] -
Perron, F.; Albizati, K. F. Chem. Rev. 1989, 89, 1617–1661. doi:10.1021/cr00097a015
Return to citation in text: [1] [2] -
Mead, K. T.; Brewer, B. N. Curr. Org. Chem. 2003, 7, 227–256. doi:10.2174/1385272033372969
Return to citation in text: [1] -
Sheppeck, J. E., II; Gauss, C.-M.; Chamberlin, A. R. Bioorg. Med. Chem. 1997, 5, 1739–1750. doi:10.1016/S0968-0896(97)00146-6
Return to citation in text: [1] -
Lindvall, M. K.; Pihko, P. M.; Koskinen, A. M. P.; Chem, C. F. B. J. B. Biochemistry 1997, 272, 23312–23316.
Return to citation in text: [1] -
Pettit, G. R.; Inoue, M.; Kamano, Y.; Herald, D. L.; Arm, C.; Dufresne, C.; Christie, N. D.; Schmidt, J. M.; Doubek, D. L.; Krupa, T. S. J. Am. Chem. Soc. 1988, 110, 2006–2007. doi:10.1021/ja00214a078
Return to citation in text: [1] -
Xu, Q.; Huang, K.-C.; Tendyke, K.; Marsh, J.; Liu, J.; Qiu, D.; Littlefield, B. A.; Nomoto, K.; Atasoylu, O.; Risatti, C. A.; Sperry, J. B.; Smith, A. B. I. Anticancer Res. 2011, 31, 2773–2780.
Return to citation in text: [1] -
Lorente, A.; Makowski, K.; Albericio, F. Ann. Mar. Biol. Res. 2014, 1, 1003–1013.
Return to citation in text: [1] -
Aho, J. E.; Pihko, P. M.; Rissa, T. K. Chem. Rev. 2006, 105, 4406–4440. doi:10.1021/cr050559n
Return to citation in text: [1] [2] [3] -
Koshino, H.; Takahashi, H.; Osada, H.; Isono, K. J. Antibiot. 1992, 45, 1420–1427. doi:10.7164/antibiotics.45.1420
Return to citation in text: [1] -
Sato, S.; Iwata, F.; Yamada, S.; Katayama, M. J. Nat. Prod. 2012, 75, 1974–1982. doi:10.1021/np300719g
Return to citation in text: [1] -
Tsukamoto, Y.; Kajino, H.; Sato, K.; Tanaka, K.; Yanai, T. Biosci., Biotechnol., Biochem. 1997, 61, 806–812. doi:10.1271/bbb.61.806
Return to citation in text: [1] -
Singh, S. B.; Zink, D. L.; Heimbach, B.; Genilloud, O.; Teran, A.; Silverman, K. C.; Lingham, R. B.; Felock, P.; Hazuda, D. J. Org. Lett. 2002, 4, 1123–1124. doi:10.1021/ol025539b
Return to citation in text: [1] [2] -
Munday, R. Toxins 2013, 5, 267–285. doi:10.3390/toxins5020267
Return to citation in text: [1] -
Gerber-Lemaire, S.; Vogel, P. C. R. Chim. 2008, 11, 1382–1418. doi:10.1016/j.crci.2008.04.016
Return to citation in text: [1] -
Ueno, T.; Takahashi, H.; Oda, M.; Mizunuma, M.; Yokoyama, A.; Goto, Y.; Mizushina, Y.; Sakaguchi, K.; Hayashi, H. Biochemistry 2000, 39, 5995–6025. doi:10.1021/bi992661i
Return to citation in text: [1] -
Uckun, F. M.; Mao, C.; Vassilev, A. O.; Huang, H.; Jan, S.-T. Bioorg. Med. Chem. Lett. 2000, 10, 541–545. doi:10.1016/S0960-894X(00)00044-5
Return to citation in text: [1] -
Alihodžić, S.; Fajdetić, A.; Kobrehel, G.; Lazarevski, G.; Mutak, S.; Pavlović, D.; Štimac, V.; Čipčić, H.; Dominis Kramarić, M.; Eraković, V.; Hasenohrl, A.; Maršić, N.; Schoenfeld, W. J. Antibiot. 2006, 59, 753–769. doi:10.1038/ja.2006.100
Return to citation in text: [1] -
Fajdetić, A.; Vinter, A.; Paljetak, H. Č.; Padovan, J.; Jakopović, I. P.; Kapić, S.; Alihodžić, S.; Filić, D.; Modrić, M.; Košutić-Hulita, N.; Antolović, R.; Schoenfeld, Z. I.; Mutak, S.; Haber, V. E.; Spaventi, R. Eur. J. Med. Chem. 2011, 46, 3388–3397. doi:10.1016/j.ejmech.2011.05.002
Return to citation in text: [1] -
Kapić, S.; Fajdetić, A.; Koštrun, S.; Čikoš, A.; Paljetak, H. Č.; Antolović, R.; Holmes, D. J.; Alihodžić, S. Bioorg. Med. Chem. 2011, 19, 7270–7280. doi:10.1016/j.bmc.2011.07.011
Return to citation in text: [1] -
Starčević, K.; Pešić, D.; Toplak, A.; Landek, G.; Alihodžić, S.; Herreros, E.; Ferrer, S.; Spaventi, R.; Perić, M. Eur. J. Med. Chem. 2012, 49, 365–378. doi:10.1016/j.ejmech.2012.01.039
Return to citation in text: [1] -
Tomašković, L.; Komac, M.; Makaruha Stegić, O.; Munić, V.; Ralić, J.; Stanić, B.; Banjanac, M.; Marković, S.; Hrvačić, B.; Čipčić Paljetak, H.; Padovan, J.; Glojnarić, I.; Eraković Haber, V.; Mesić, M.; Merćep, M. Bioorg. Med. Chem. 2013, 21, 321–332. doi:10.1016/j.bmc.2012.10.036
Return to citation in text: [1] -
Nujić, K.; Smith, M.; Lee, M.; Belamarić, D.; Tomašković, L.; Alihodžić, S.; Malnar, I.; Polančec, D.; Schneider, K.; Haber, V. E. Eur. J. Pharmacol. 2012, 677, 163–172. doi:10.1016/j.ejphar.2011.12.022
Return to citation in text: [1] -
Bosnar, M.; Kragol, G.; Koštrun, S.; Vujasinović, I.; Bošnjak, B.; Mihaljević, V. B.; Ištuk, Z. M.; Kapić, S.; Hrvačić, B.; Brajša, C.; Tavčar, B.; Jelić, D.; Glojnarić, I.; Verbanac, D.; Čulić, O.; Padovan, J.; Alihodžić, S.; Eraković Haber, V.; Spaventi, R. J. Med. Chem. 2012, 55, 6111–6123. doi:10.1021/jm300356u
Return to citation in text: [1] -
Ćaleta, I.; Čikoš, A.; Žiher, D.; Đilović, I.; Dukši, M.; Gembarovski, D.; Grgičević, I.; Krajačić, M. B.; Filić, D.; Matković-Čalogović, D.; Malnar, I.; Alihodžić, S. Struct. Chem. 2012, 23, 1785–1796. doi:10.1007/s11224-012-9984-3
Return to citation in text: [1] [2] [3] [4] -
Flynn, E. H.; Sigal, M. V., Jr.; Wiley, P. F.; Gerzon, K. J. Am. Chem. Soc. 1954, 76, 3121–3131. doi:10.1021/ja01641a005
Return to citation in text: [1] [2] -
Kurath, P.; Jones, P. H.; Egan, R. S.; Perun, T. J. Experientia 1971, 27, 362. doi:10.1007/BF02137246
Return to citation in text: [1] [2] -
Hassanzadeh, A.; Helliwell, M.; Barber, J. Org. Biomol. Chem. 2006, 4, 1014–1019. doi:10.1039/b518182h
Return to citation in text: [1] [2] -
Atkins, P. J.; Herbert, T. O.; Jones, N. B. Int. J. Pharm. 1986, 30, 199–207. doi:10.1016/0378-5173(86)90079-7
Return to citation in text: [1] -
Cachet, T.; Van den Mooter, G.; Hauchecorne, R.; Vinckier, C.; Hoogmartens, J. Int. J. Pharm. 1989, 55, 59–65. doi:10.1016/0378-5173(89)90277-9
Return to citation in text: [1] -
Vinckier, C.; Hauchecorne, R.; Cachet, T.; Van den Mooter, G.; Hoogmartens, J. Int. J. Pharm. 1989, 55, 67–76. doi:10.1016/0378-5173(89)90278-0
Return to citation in text: [1] -
Kim, Y.-H.; Heinze, T. M.; Beger, R.; Pothuluri, J. V.; Cerniglia, C. E. Int. J. Pharm. 2004, 271, 63–76. doi:10.1016/j.ijpharm.2003.10.023
Return to citation in text: [1] -
Hassanzadeh, A.; Barber, J.; Morris, G. A.; Gorry, P. A. J. Phys. Chem. A 2007, 111, 10098–10104. doi:10.1021/jp073030y
Return to citation in text: [1] -
Nakagawa, Y.; Itai, S.; Yoshida, T.; Nagai, T. Chem. Pharm. Bull. 1992, 40, 725–728. doi:10.1248/cpb.40.725
Return to citation in text: [1] -
Morimoto, S.; Misawa, Y.; Asaka, T.; Kondoh, H.; Watanabe, Y. J. Antibiot. 1990, 43, 570–573. doi:10.7164/antibiotics.43.570
Return to citation in text: [1] [2] -
Mordi, M. N.; Pelta, M. D.; Boote, V.; Morris, G. A.; Barber, J. J. Med. Chem. 2000, 43, 467–474. doi:10.1021/jm9904811
Return to citation in text: [1] [2] -
O’Donnell, T.; Brook Knight, M.; McArthur, H. A. I.; Dirlam, J. P. EP1024145A2 2000, 36.
Return to citation in text: [1] [2] -
Huang, S.-X.; Zhao, L.-X.; Tang, S.-K.; Jiang, C.-L.; Duan, Y.; Shen, B. Org. Lett. 2009, 11, 1353–1356. doi:10.1021/ol900143j
Return to citation in text: [1] -
Kao, C.-L.; Borisova, S. A.; Kim, H. J.; Liu, H.-w. J. Am. Chem. Soc. 2006, 128, 5606–5607. doi:10.1021/ja058433v
Return to citation in text: [1] -
Auricchio, S.; Fronza, G.; Mele, A.; Favara, D. J. Org. Chem. 1992, 57, 452–455. doi:10.1021/jo00028a014
Return to citation in text: [1] -
Schomburg, D.; Hopkins, P. B.; Lipscomb, W. N.; Corey, E. J. J. Org. Chem. 1980, 45, 1544–1546. doi:10.1021/jo01296a051
Return to citation in text: [1] [2] [3] -
Muri, D.; Carreira, E. M. J. Org. Chem. 2009, 74, 8695–8712. doi:10.1021/jo901817b
Return to citation in text: [1] [2] [3] -
Kibwage, I. O.; Busson, R.; Janssen, G.; Hoogmartens, J.; Vanderhaeghe, H.; Brake, J. J. Org. Chem. 1987, 52, 990–996. doi:10.1021/jo00382a004
Return to citation in text: [1] -
Grover, R. K.; Joshi, B. S.; Batra, S.; Roy, R.; Bhaduri, A. P. Magn. Reson. Chem. 2001, 39, 355–360. doi:10.1002/mrc.858
Return to citation in text: [1] -
For presentation of the conformation of the tetrahydropyran rings in the presented spiroketals we adopted the IUPAC recommendations for nomenclature of carbohydrates: http://www.chem.qmul.ac.uk/iupac/2carb/06n07.html#07. For all three spiroketals (2, 3 and 4) 6-C, 7-C, 9-C, 5-O form the reference plane of the chair conformation (“C”), while 5-C and 8-C are exoplanar atoms. Thus the tetrahydropyran ring in compounds 2 and 3 is in 5C8 conformation, while in 4 it is in 8C5. Eur. J. Biochem. / FEBS 1980, 111, 295–298.
Return to citation in text: [1] -
Zinzalla, G.; Milroy, L.-G.; Ley, S. V. Org. Biomol. Chem. 2006, 4, 1977–2002. doi:10.1039/b603015g
Return to citation in text: [1] -
Bamford, C. H.; Tipper, C. F. H., Eds. The theory of kinetics, 1st ed.; Comprehensive Chemical Kinetics, Vol. 2; Elsevier Scientific Publishing: Amsterdam, Netherlands, 1969. doi:10.1016/B978-0-444-40674-3.50006-7
Return to citation in text: [1] -
Perun, T. J. J. Org. Chem. 1967, 32, 2324–2330. doi:10.1021/jo01282a051
Return to citation in text: [1] -
Gunnes, S.; Rømming, C.; Undheim, K. Tetrahedron 2006, 62, 6090–6099. doi:10.1016/j.tet.2006.03.098
Return to citation in text: [1] -
Stepanić, V.; Koštrun, S.; Malnar, I.; Hlevnjak, M.; Butković, K.; Ćaleta, I.; Dukši, M.; Kragol, G.; Makaruha-Stegić, O.; Mikac, L.; Ralić, J.; Tatić, I.; Tavčar, B.; Valko, K.; Zulfikari, S.; Munić, V. J. Med. Chem. 2011, 54, 719–733. doi:10.1021/jm101317f
Return to citation in text: [1] -
Maestro, Version 10.1, Schrödinger Release 2015-1; Schrödinger LLC: New York, NY, U.S.A., 2015.
Return to citation in text: [1]
| 48. | Nakagawa, Y.; Itai, S.; Yoshida, T.; Nagai, T. Chem. Pharm. Bull. 1992, 40, 725–728. doi:10.1248/cpb.40.725 |
| 49. | Morimoto, S.; Misawa, Y.; Asaka, T.; Kondoh, H.; Watanabe, Y. J. Antibiot. 1990, 43, 570–573. doi:10.7164/antibiotics.43.570 |
| 50. | Mordi, M. N.; Pelta, M. D.; Boote, V.; Morris, G. A.; Barber, J. J. Med. Chem. 2000, 43, 467–474. doi:10.1021/jm9904811 |
| 39. | Ćaleta, I.; Čikoš, A.; Žiher, D.; Đilović, I.; Dukši, M.; Gembarovski, D.; Grgičević, I.; Krajačić, M. B.; Filić, D.; Matković-Čalogović, D.; Malnar, I.; Alihodžić, S. Struct. Chem. 2012, 23, 1785–1796. doi:10.1007/s11224-012-9984-3 |
| 51. | O’Donnell, T.; Brook Knight, M.; McArthur, H. A. I.; Dirlam, J. P. EP1024145A2 2000, 36. |
| 39. | Ćaleta, I.; Čikoš, A.; Žiher, D.; Đilović, I.; Dukši, M.; Gembarovski, D.; Grgičević, I.; Krajačić, M. B.; Filić, D.; Matković-Čalogović, D.; Malnar, I.; Alihodžić, S. Struct. Chem. 2012, 23, 1785–1796. doi:10.1007/s11224-012-9984-3 |
| 23. | Aho, J. E.; Pihko, P. M.; Rissa, T. K. Chem. Rev. 2006, 105, 4406–4440. doi:10.1021/cr050559n |
| 57. | Kibwage, I. O.; Busson, R.; Janssen, G.; Hoogmartens, J.; Vanderhaeghe, H.; Brake, J. J. Org. Chem. 1987, 52, 990–996. doi:10.1021/jo00382a004 |
| 58. | Grover, R. K.; Joshi, B. S.; Batra, S.; Roy, R.; Bhaduri, A. P. Magn. Reson. Chem. 2001, 39, 355–360. doi:10.1002/mrc.858 |
| 54. | Auricchio, S.; Fronza, G.; Mele, A.; Favara, D. J. Org. Chem. 1992, 57, 452–455. doi:10.1021/jo00028a014 |
| 55. | Schomburg, D.; Hopkins, P. B.; Lipscomb, W. N.; Corey, E. J. J. Org. Chem. 1980, 45, 1544–1546. doi:10.1021/jo01296a051 |
| 56. | Muri, D.; Carreira, E. M. J. Org. Chem. 2009, 74, 8695–8712. doi:10.1021/jo901817b |
| 52. | Huang, S.-X.; Zhao, L.-X.; Tang, S.-K.; Jiang, C.-L.; Duan, Y.; Shen, B. Org. Lett. 2009, 11, 1353–1356. doi:10.1021/ol900143j |
| 53. | Kao, C.-L.; Borisova, S. A.; Kim, H. J.; Liu, H.-w. J. Am. Chem. Soc. 2006, 128, 5606–5607. doi:10.1021/ja058433v |
| 55. | Schomburg, D.; Hopkins, P. B.; Lipscomb, W. N.; Corey, E. J. J. Org. Chem. 1980, 45, 1544–1546. doi:10.1021/jo01296a051 |
| 59. | For presentation of the conformation of the tetrahydropyran rings in the presented spiroketals we adopted the IUPAC recommendations for nomenclature of carbohydrates: http://www.chem.qmul.ac.uk/iupac/2carb/06n07.html#07. For all three spiroketals (2, 3 and 4) 6-C, 7-C, 9-C, 5-O form the reference plane of the chair conformation (“C”), while 5-C and 8-C are exoplanar atoms. Thus the tetrahydropyran ring in compounds 2 and 3 is in 5C8 conformation, while in 4 it is in 8C5. Eur. J. Biochem. / FEBS 1980, 111, 295–298. |
| 56. | Muri, D.; Carreira, E. M. J. Org. Chem. 2009, 74, 8695–8712. doi:10.1021/jo901817b |
| 56. | Muri, D.; Carreira, E. M. J. Org. Chem. 2009, 74, 8695–8712. doi:10.1021/jo901817b |
| 49. | Morimoto, S.; Misawa, Y.; Asaka, T.; Kondoh, H.; Watanabe, Y. J. Antibiot. 1990, 43, 570–573. doi:10.7164/antibiotics.43.570 |
| 42. | Hassanzadeh, A.; Helliwell, M.; Barber, J. Org. Biomol. Chem. 2006, 4, 1014–1019. doi:10.1039/b518182h |
| 2. | Djokić, S.; Kobrehel, G.; Lopotar, N.; Kamenar, B.; Nagl, A.; Mrvoš, D. J. Chem. Res., Synop. 1988, 152–153. |
| 2. | Djokić, S.; Kobrehel, G.; Lopotar, N.; Kamenar, B.; Nagl, A.; Mrvoš, D. J. Chem. Res., Synop. 1988, 152–153. |
| 16. | Perron, F.; Albizati, K. F. Chem. Rev. 1989, 89, 1617–1661. doi:10.1021/cr00097a015 |
| 23. | Aho, J. E.; Pihko, P. M.; Rissa, T. K. Chem. Rev. 2006, 105, 4406–4440. doi:10.1021/cr050559n |
| 60. | Zinzalla, G.; Milroy, L.-G.; Ley, S. V. Org. Biomol. Chem. 2006, 4, 1977–2002. doi:10.1039/b603015g |
| 61. | Bamford, C. H.; Tipper, C. F. H., Eds. The theory of kinetics, 1st ed.; Comprehensive Chemical Kinetics, Vol. 2; Elsevier Scientific Publishing: Amsterdam, Netherlands, 1969. doi:10.1016/B978-0-444-40674-3.50006-7 |
| 40. | Flynn, E. H.; Sigal, M. V., Jr.; Wiley, P. F.; Gerzon, K. J. Am. Chem. Soc. 1954, 76, 3121–3131. doi:10.1021/ja01641a005 |
| 41. | Kurath, P.; Jones, P. H.; Egan, R. S.; Perun, T. J. Experientia 1971, 27, 362. doi:10.1007/BF02137246 |
| 63. | Gunnes, S.; Rømming, C.; Undheim, K. Tetrahedron 2006, 62, 6090–6099. doi:10.1016/j.tet.2006.03.098 |
| 50. | Mordi, M. N.; Pelta, M. D.; Boote, V.; Morris, G. A.; Barber, J. J. Med. Chem. 2000, 43, 467–474. doi:10.1021/jm9904811 |
| 11. | Mikasa, K.; Sawaki, M.; Kita, E.; Hamada, K.; Teramoto, S.; Sakamoto, M.; Maeda, K.; Konishi, M.; Narita, N. Chemotherapy 1997, 43, 288–296. doi:10.1159/000239580 |
| 12. | Hamada, K.; Mikasa, K.; Yunou, Y.; Kurioka, T.; Majima, T.; Narita, N.; Kita, E. Chemotherapy 2000, 46, 49–61. doi:10.1159/000007256 |
| 13. | Altman, J. K.; Platanias, L. C. Leuk. Lymphoma 2012, 53, 1255–1256. doi:10.3109/10428194.2012.661857 |
| 5. | Čulić, O.; Eraković, V.; Parnham, M. J. Eur. J. Pharmacol. 2001, 429, 209–229. doi:10.1016/S0014-2999(01)01321-8 |
| 6. | Shinkai, M.; Henke, M. O.; Rubin, B. K. Pharmacol. Ther. 2008, 117, 393–405. doi:10.1016/j.pharmthera.2007.11.001 |
| 7. | Alzolibani, A. A.; Zedan, K. Mediators Inflammation 2012, No. 159354. doi:10.1155/2012/159354 |
| 8. | Kwiatkowska, B.; Maślińska, M. Mediators Inflammation 2012, No. 636157. doi:10.1155/2012/636157 |
| 9. | Ogrendik, M. Int. J. Gen. Med. 2014, 43–47. doi:10.2147/IJGM.S56957 |
| 10. | Wong, E. H. C.; Porter, J. D.; Edwards, M. R.; Johnston, S. L. Lancet Respir. Med. 2014, 2, 657–670. doi:10.1016/S2213-2600(14)70107-9 |
| 29. | Gerber-Lemaire, S.; Vogel, P. C. R. Chim. 2008, 11, 1382–1418. doi:10.1016/j.crci.2008.04.016 |
| 4. | Morimoto, S.; Takahashi, Y.; Watanabe, Y.; Omura, S. J. Antibiot. 1984, 37, 187–189. doi:10.7164/antibiotics.37.187 |
| 26. | Tsukamoto, Y.; Kajino, H.; Sato, K.; Tanaka, K.; Yanai, T. Biosci., Biotechnol., Biochem. 1997, 61, 806–812. doi:10.1271/bbb.61.806 |
| 2. | Djokić, S.; Kobrehel, G.; Lopotar, N.; Kamenar, B.; Nagl, A.; Mrvoš, D. J. Chem. Res., Synop. 1988, 152–153. |
| 3. | Djokić, S.; Kobrehel, G.; Lazarevski, G.; Lopotar, N.; Tamburašev, Z.; Kamenar, B.; Nagl, A.; Vicković, I. J. Chem. Soc., Perkin Trans. 1 1986, 1881–1890. doi:10.1039/p19860001881 |
| 27. | Singh, S. B.; Zink, D. L.; Heimbach, B.; Genilloud, O.; Teran, A.; Silverman, K. C.; Lingham, R. B.; Felock, P.; Hazuda, D. J. Org. Lett. 2002, 4, 1123–1124. doi:10.1021/ol025539b |
| 18. | Sheppeck, J. E., II; Gauss, C.-M.; Chamberlin, A. R. Bioorg. Med. Chem. 1997, 5, 1739–1750. doi:10.1016/S0968-0896(97)00146-6 |
| 19. | Lindvall, M. K.; Pihko, P. M.; Koskinen, A. M. P.; Chem, C. F. B. J. B. Biochemistry 1997, 272, 23312–23316. |
| 23. | Aho, J. E.; Pihko, P. M.; Rissa, T. K. Chem. Rev. 2006, 105, 4406–4440. doi:10.1021/cr050559n |
| 24. | Koshino, H.; Takahashi, H.; Osada, H.; Isono, K. J. Antibiot. 1992, 45, 1420–1427. doi:10.7164/antibiotics.45.1420 |
| 65. | Maestro, Version 10.1, Schrödinger Release 2015-1; Schrödinger LLC: New York, NY, U.S.A., 2015. |
| 16. | Perron, F.; Albizati, K. F. Chem. Rev. 1989, 89, 1617–1661. doi:10.1021/cr00097a015 |
| 17. | Mead, K. T.; Brewer, B. N. Curr. Org. Chem. 2003, 7, 227–256. doi:10.2174/1385272033372969 |
| 25. | Sato, S.; Iwata, F.; Yamada, S.; Katayama, M. J. Nat. Prod. 2012, 75, 1974–1982. doi:10.1021/np300719g |
| 14. | Andersen, S. L.; Oloo, A. J.; Gordon, D. M.; Ragama, O. B.; Aleman, G. M.; Berman, J. D.; Tang, D. B.; Dunne, M. W.; Shanks, G. D. Clin. Infect. Dis. 1998, 26, 146–150. doi:10.1086/516281 |
| 15. | Taylor, W. R. J.; Richie, T. L.; Fryauff, D. J.; Picarima, H.; Ohrt, C.; Tang, D.; Braitman, D.; Murphy, G. S.; Widjaja, H.; Tjitra, E.; Ganjar, A.; Jones, T. R.; Basri, H.; Berman, J. Clin. Infect. Dis. 1999, 28, 74–81. doi:10.1086/515071 |
| 39. | Ćaleta, I.; Čikoš, A.; Žiher, D.; Đilović, I.; Dukši, M.; Gembarovski, D.; Grgičević, I.; Krajačić, M. B.; Filić, D.; Matković-Čalogović, D.; Malnar, I.; Alihodžić, S. Struct. Chem. 2012, 23, 1785–1796. doi:10.1007/s11224-012-9984-3 |
| 51. | O’Donnell, T.; Brook Knight, M.; McArthur, H. A. I.; Dirlam, J. P. EP1024145A2 2000, 36. |
| 64. | Stepanić, V.; Koštrun, S.; Malnar, I.; Hlevnjak, M.; Butković, K.; Ćaleta, I.; Dukši, M.; Kragol, G.; Makaruha-Stegić, O.; Mikac, L.; Ralić, J.; Tatić, I.; Tavčar, B.; Valko, K.; Zulfikari, S.; Munić, V. J. Med. Chem. 2011, 54, 719–733. doi:10.1021/jm101317f |
| 10. | Wong, E. H. C.; Porter, J. D.; Edwards, M. R.; Johnston, S. L. Lancet Respir. Med. 2014, 2, 657–670. doi:10.1016/S2213-2600(14)70107-9 |
| 20. | Pettit, G. R.; Inoue, M.; Kamano, Y.; Herald, D. L.; Arm, C.; Dufresne, C.; Christie, N. D.; Schmidt, J. M.; Doubek, D. L.; Krupa, T. S. J. Am. Chem. Soc. 1988, 110, 2006–2007. doi:10.1021/ja00214a078 |
| 21. | Xu, Q.; Huang, K.-C.; Tendyke, K.; Marsh, J.; Liu, J.; Qiu, D.; Littlefield, B. A.; Nomoto, K.; Atasoylu, O.; Risatti, C. A.; Sperry, J. B.; Smith, A. B. I. Anticancer Res. 2011, 31, 2773–2780. |
| 22. | Lorente, A.; Makowski, K.; Albericio, F. Ann. Mar. Biol. Res. 2014, 1, 1003–1013. |
| 55. | Schomburg, D.; Hopkins, P. B.; Lipscomb, W. N.; Corey, E. J. J. Org. Chem. 1980, 45, 1544–1546. doi:10.1021/jo01296a051 |
| 31. | Uckun, F. M.; Mao, C.; Vassilev, A. O.; Huang, H.; Jan, S.-T. Bioorg. Med. Chem. Lett. 2000, 10, 541–545. doi:10.1016/S0960-894X(00)00044-5 |
| 27. | Singh, S. B.; Zink, D. L.; Heimbach, B.; Genilloud, O.; Teran, A.; Silverman, K. C.; Lingham, R. B.; Felock, P.; Hazuda, D. J. Org. Lett. 2002, 4, 1123–1124. doi:10.1021/ol025539b |
| 30. | Ueno, T.; Takahashi, H.; Oda, M.; Mizunuma, M.; Yokoyama, A.; Goto, Y.; Mizushina, Y.; Sakaguchi, K.; Hayashi, H. Biochemistry 2000, 39, 5995–6025. doi:10.1021/bi992661i |
| 43. | Atkins, P. J.; Herbert, T. O.; Jones, N. B. Int. J. Pharm. 1986, 30, 199–207. doi:10.1016/0378-5173(86)90079-7 |
| 44. | Cachet, T.; Van den Mooter, G.; Hauchecorne, R.; Vinckier, C.; Hoogmartens, J. Int. J. Pharm. 1989, 55, 59–65. doi:10.1016/0378-5173(89)90277-9 |
| 45. | Vinckier, C.; Hauchecorne, R.; Cachet, T.; Van den Mooter, G.; Hoogmartens, J. Int. J. Pharm. 1989, 55, 67–76. doi:10.1016/0378-5173(89)90278-0 |
| 46. | Kim, Y.-H.; Heinze, T. M.; Beger, R.; Pothuluri, J. V.; Cerniglia, C. E. Int. J. Pharm. 2004, 271, 63–76. doi:10.1016/j.ijpharm.2003.10.023 |
| 47. | Hassanzadeh, A.; Barber, J.; Morris, G. A.; Gorry, P. A. J. Phys. Chem. A 2007, 111, 10098–10104. doi:10.1021/jp073030y |
| 40. | Flynn, E. H.; Sigal, M. V., Jr.; Wiley, P. F.; Gerzon, K. J. Am. Chem. Soc. 1954, 76, 3121–3131. doi:10.1021/ja01641a005 |
| 41. | Kurath, P.; Jones, P. H.; Egan, R. S.; Perun, T. J. Experientia 1971, 27, 362. doi:10.1007/BF02137246 |
| 42. | Hassanzadeh, A.; Helliwell, M.; Barber, J. Org. Biomol. Chem. 2006, 4, 1014–1019. doi:10.1039/b518182h |
| 36. | Tomašković, L.; Komac, M.; Makaruha Stegić, O.; Munić, V.; Ralić, J.; Stanić, B.; Banjanac, M.; Marković, S.; Hrvačić, B.; Čipčić Paljetak, H.; Padovan, J.; Glojnarić, I.; Eraković Haber, V.; Mesić, M.; Merćep, M. Bioorg. Med. Chem. 2013, 21, 321–332. doi:10.1016/j.bmc.2012.10.036 |
| 37. | Nujić, K.; Smith, M.; Lee, M.; Belamarić, D.; Tomašković, L.; Alihodžić, S.; Malnar, I.; Polančec, D.; Schneider, K.; Haber, V. E. Eur. J. Pharmacol. 2012, 677, 163–172. doi:10.1016/j.ejphar.2011.12.022 |
| 38. | Bosnar, M.; Kragol, G.; Koštrun, S.; Vujasinović, I.; Bošnjak, B.; Mihaljević, V. B.; Ištuk, Z. M.; Kapić, S.; Hrvačić, B.; Brajša, C.; Tavčar, B.; Jelić, D.; Glojnarić, I.; Verbanac, D.; Čulić, O.; Padovan, J.; Alihodžić, S.; Eraković Haber, V.; Spaventi, R. J. Med. Chem. 2012, 55, 6111–6123. doi:10.1021/jm300356u |
| 39. | Ćaleta, I.; Čikoš, A.; Žiher, D.; Đilović, I.; Dukši, M.; Gembarovski, D.; Grgičević, I.; Krajačić, M. B.; Filić, D.; Matković-Čalogović, D.; Malnar, I.; Alihodžić, S. Struct. Chem. 2012, 23, 1785–1796. doi:10.1007/s11224-012-9984-3 |
| 32. | Alihodžić, S.; Fajdetić, A.; Kobrehel, G.; Lazarevski, G.; Mutak, S.; Pavlović, D.; Štimac, V.; Čipčić, H.; Dominis Kramarić, M.; Eraković, V.; Hasenohrl, A.; Maršić, N.; Schoenfeld, W. J. Antibiot. 2006, 59, 753–769. doi:10.1038/ja.2006.100 |
| 33. | Fajdetić, A.; Vinter, A.; Paljetak, H. Č.; Padovan, J.; Jakopović, I. P.; Kapić, S.; Alihodžić, S.; Filić, D.; Modrić, M.; Košutić-Hulita, N.; Antolović, R.; Schoenfeld, Z. I.; Mutak, S.; Haber, V. E.; Spaventi, R. Eur. J. Med. Chem. 2011, 46, 3388–3397. doi:10.1016/j.ejmech.2011.05.002 |
| 34. | Kapić, S.; Fajdetić, A.; Koštrun, S.; Čikoš, A.; Paljetak, H. Č.; Antolović, R.; Holmes, D. J.; Alihodžić, S. Bioorg. Med. Chem. 2011, 19, 7270–7280. doi:10.1016/j.bmc.2011.07.011 |
| 35. | Starčević, K.; Pešić, D.; Toplak, A.; Landek, G.; Alihodžić, S.; Herreros, E.; Ferrer, S.; Spaventi, R.; Perić, M. Eur. J. Med. Chem. 2012, 49, 365–378. doi:10.1016/j.ejmech.2012.01.039 |
© 2015 Čikoš et al; licensee Beilstein-Institut.
This is an Open Access article under the terms of the Creative Commons Attribution License (http://creativecommons.org/licenses/by/2.0), which permits unrestricted use, distribution, and reproduction in any medium, provided the original work is properly cited.
The license is subject to the Beilstein Journal of Organic Chemistry terms and conditions: (http://www.beilstein-journals.org/bjoc)