Abstract
The Michael addition of dibenzylamine to (+)-tert-butyl perillate (3) and to (+)-tert-butyl phellandrate (6), derived from (S)-(−)-perillaldehyde (1), resulted in diastereomeric β-amino esters 7A–D in a moderately stereospecific reaction in a ratio of 76:17:6:1. After separation of the diastereoisomers, the major product, cis isomer 7A, was quantitatively isomerized to the minor component, trans-amino ester 7D. All four isomers were transformed to the corresponding β-amino acids 10A–D, which are promising building blocks for the synthesis of β-peptides and 1,3-heterocycles in three steps. The steric effects of the isopropyl group at position 4 and of the α-methyl substituent of (R)-N-benzyl-N-α-methylbenzylamine on the reactivity were also studied and, upon application of a chiral amine, excellent stereoselectivity of the conjugate addition was observed. Amino ester 11 was obtained as a single product and transformed to the corresponding amino acids 10A and 10D in good yields on the gram scale.
Graphical Abstract
Introduction
In the past decade, cyclic β-amino acids proved to be versatile building blocks both in pharmacological developments and asymmetric syntheses [1-8]. Alicyclic and bicyclic chiral β-amino acids have played a key role in the synthesis of β-peptide-type foldamers, where through the selection of an appropriate alicyclic or bicyclic ring system, the backbone stereochemistry, stereochemical patterning or additional functional groups, well-defined β-helical (e.g., β-H12, β-H14, β-H16 or β-H18) or β-sheet structures can be prepared [9-13]. While it is primarily the backbone stereochemistry that determines the secondary structure of foldamers, the introduction of well-designed hydrophilic or hydrophobic substituents on the alicyclic ring of β-amino acids can modify the fine structure of β-peptides.
There are several powerful synthetic methods through which alicyclic or bicyclic β-amino acid enantiomers can be obtained. These include the selective reduction of β-enamino ester enantiomers [14], enzyme-catalyzed kinetic resolution [15], and a variety of asymmetric syntheses, for example, the enantioselective syntheses of β-lactams followed by ring opening [16,17], or the enantioselective desymmetrization of achiral anhydrides followed by Curtius degradation [18-20].
The highly stereoselective Michael addition of lithium amide-type nucleophiles to α,β-unsaturated esters also proved to be a very efficient and useful method for the preparation of alicyclic β-amino acids in homochiral form [21,22]. Generally, in these transformations, the source of chirality is served by chiral lithium amides, and there are only few examples where chiral α,β-unsaturated esters are applied [23-27].
Easily obtainable chiral monoterpenes, such as (+)-3-carene as well as all the enantiomers of pulegone, α-pinene and verbenone, have frequently been used as starting materials for the preparation of chiral reagents and as unique synthons in asymmetric syntheses of β-amino acids and 1,3-amino alcohols, which in turn can be applied as chiral additives, catalysts or building blocks [17,28-34]. From this aspect, chiral, monoterpene-based α,β-unsaturated esters might be excellent starting materials, in which the natural monoterpene skeleton may serve as the chiral origin for the stereoselective construction of the β-amino acid moiety.
Our present aim was the synthesis of new, limonene-based chiral β-amino acid derivatives derived from commercially available (−)-perillaldehyde (1). These 4-isopropyl-substituted analogues of ACHC (2-aminocyclohexanecarboxylic acid) might serve as promising building blocks for the synthesis of chiral 1,3-heterocycles and foldamers [7,11,23,35].
Results and Discussion
The key intermediate Michael acceptor, tert-butyl perillate (3), was prepared by a combination of literature protocols, starting from commercially available (−)-(4S)-perillaldehyde (1) in a two-step reaction. First, oxidation of 1 led to perillic acid (2) [36], which was subsequently converted to the tert-butyl ester (3) [37]. In order to study the steric effect of the more bulky isopropyl group on the Michael addition, (4S)-tert-butyl phellandrate (6) was prepared via (4S)-phellandral (4) and (4S)-phellandric acid (5) (Scheme 1) [38-40].
Scheme 1: Reagents and conditions: (i) 2-methyl-2-butene, t-BuOH, NaClO2 (aq), NaH2PO4 (aq), yield: 60%; (ii) (CF3CO)2O, dry toluene, t-BuOH, rt, yield: 53%; (iii) 5% Pt/C, 1 atm H2, n-hexane/EtOAc 1:1, 12 h, rt, yield: 77%; (iv) 2-methyl-2-butene, t-BuOH, NaClO2 (aq), NaH2PO4 (aq), yield: 58%; (v) (CF3CO)2O, dry toluene, t-BuOH, rt, yield: 48%.
Scheme 1: Reagents and conditions: (i) 2-methyl-2-butene, t-BuOH, NaClO2 (aq), NaH2PO4 (aq), yield: 60%; (ii)...
The asymmetric Michael addition was accomplished by the reaction of in situ generated achiral lithium dibenzylamide with compound 3 following a published protocol [23], to exploit the effect of the isopropenyl group on the cyclohexene ring. An NMR study of the crude product demonstrated the good stereoselectivity of the addition. The 1H NMR measurements of the crude product indicated that all four possible diastereosomers are formed in a ratio 7A:7B:7C:7D = 76:17:6:1 (Scheme 2). The diastereoisomers 7A–D could be successfully separated through a two-step chromatographic process, and their relative configurations were determined by 2D NMR techniques. Remarkable nOe correlations were observed between C2-H and C9-Me (10A and 10D), between C1-H and C8-H (10A), and a weak effect was found between C1-H and C8-H (10B) (see Figure 1 for numbering).
Scheme 2: Reagents and conditions: (i) 2.4 equiv LiNBn2, dry THF, −78 °C, 6 h, then NH4Cl (aq), overall yield: 87% (isomeric mixture), ratio 7A:7B:7C:7D = 76:17:6:1; (ii) 5% Pt/C, n-hexane/EtOAc 1:1, 1 atm. H2, rt, 16 h, yield: 90–92%; (iii) 5% Pd/C, n-hexane/EtOAc 1:1, 1 atm H2, rt, 24 h, yield: 92–95%; (iv) 10% HCl (aq), rt, 24 h, yield: 90–94%.
Scheme 2: Reagents and conditions: (i) 2.4 equiv LiNBn2, dry THF, −78 °C, 6 h, then NH4Cl (aq), overall yield...
Amino esters 7A–D were transformed to the appropriate amino acids 10A–D in three steps. The selective reduction of the isopropenyl double bond over a Pt/C catalyst resulted in 8A–D. The subsequent removal of the benzyl groups by hydrogenolysis over palladium on carbon (Pd/C) in a 1:1 mixture of n-hexane/EtOAc for 24 h gave primary amino esters 9A–D in excellent yields. The final hydrolysis of the ester groups under acidic conditions successfully led to amino acids 10A–D.
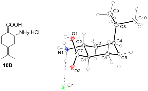
In addition to the NOESY experiments, the relative configuration of 10D was determined by means of X-ray crystallography (Figure 1).
Figure 1: Structure of 10D and an ORTEP plot of its configuration.
Figure 1: Structure of 10D and an ORTEP plot of its configuration.
The Michael addition was also carried out on 6, the 7,8-dihydro analogue of tert-butyl perillate (3), however the saturation of the isopropenyl function at position 4 proved to have no effect on the stereoselectivity of the reaction (Scheme 3).
Scheme 3: Reagents and conditions: (i) 2.4 equiv LiNBn2, dry THF, −78 °C, 6 h, then NH4Cl (aq), overall yield: 85% (isomeric mixture).
Scheme 3: Reagents and conditions: (i) 2.4 equiv LiNBn2, dry THF, −78 °C, 6 h, then NH4Cl (aq), overall yield...
When N-benzyl-N-α-methylbenzylamine was applied as a chiral nucleophile in the conjugate addition, the steric effect of the α-methyl substituent could be investigated. The addition was proven highly stereoselective (de > 99%), based on the 1H NMR data of the crude product and cis-amino ester 11 as a single product was obtained in gram-scale quantities and high yield (Scheme 4). In addition to the NOESY examinations, the relative stereochemistry of 11 was also proven through its conversion to 9A in two steps.
Scheme 4: Reagents and conditions: (i) 2.4 equiv lithium (R)-N-benzyl-N-α-methylbenzylamide, dry THF, −78 °C, 6 h, then NH4Cl (aq), yield: 88%; (ii) 5% Pt/C, n-hexane/EtOAc 1:1, 1 atm H2, rt, 16 h, yield: 91%; (iii) 5% Pd/C, n-hexane/EtOAc 1:1, 1 atm H2, rt, 16 h, yield: 90%.
Scheme 4: Reagents and conditions: (i) 2.4 equiv lithium (R)-N-benzyl-N-α-methylbenzylamide, dry THF, −78 °C,...
Applying (S)-N-benzyl-N-α-methylbenzylamide as a chiral lithium amide, only formation of the mixture of diastereoisomers with very low yield (ca. 10%) was observed.
Under alkaline conditions, cis-amino esters 7A and 11 underwent isomerization at the carboxylic function, resulting in trans-amino esters 7D and 13 in excellent yields (Scheme 5). The relative stereochemistry of 13 was proven through its conversion to 9D in two steps. This rapid and quantitative isomerization allows the gram-scale synthesis of the minor component amino acid 10D (see Scheme 2).
Scheme 5: Reagents and conditions: (i) 0.2 equiv KOt-Bu/t-BuOH, 40 °C, 24 h, yield: 93% (7D), 91% (13); (ii) 5% Pt/C, n-hexane/EtOAc 1:1, 1 atm H2, rt, 16 h, yield: 90% (8D), 91% (14); (iii) 5% Pd/C, n-hexane/EtOAc 1:1, 1 atm H2, rt, 16 h, yield: 92%.
Scheme 5: Reagents and conditions: (i) 0.2 equiv KOt-Bu/t-BuOH, 40 °C, 24 h, yield: 93% (7D), 91% (13); (ii) ...
Conclusion
In conclusion, the highly stereoselective Michael addition of lithium dibenzylamide and (R)-N-benzyl-N-α-methylbenzylamide to tert-butyl perillate (3) proved to be an efficient method for the preparation of limonene-based β-amino acids through the three-step transformation of the resulting N,N-dialkyl β-amino esters 7A–D and 11. The minor component, trans-amino acid 10D, was successfully prepared on gram-scale quantities through the facile isomerization of the cis-amino esters under alkaline conditions. It appears likely that the resulting new monomers 10A–D incorporated in a β-peptide sequence will be able to force the formation of unique β-helix or β-sheet structures, thereby affording a novel route to promising β-peptides.
Supporting Information
| Supporting Information File 1: General information, experimental details, characterization data and copies of 1H and 13C NMR spectra. | ||
| Format: PDF | Size: 1.5 MB | Download |
References
-
Kuhl, A.; Hahn, M. G.; Dumić, M.; Mittendorf, J. Amino Acids 2005, 29, 89–100. doi:10.1007/s00726-005-0212-y
Return to citation in text: [1] -
Juaristi, E.; Soloshonok, V. A., Eds. Enantioselective Synthesis of β-Amino Acids, 2nd ed.; Wiley-VCH: New York, 2005. doi:10.1002/0471698482
Return to citation in text: [1] -
Fülöp, F. Chem. Rev. 2001, 101, 2181–2204. doi:10.1021/cr000456z
Return to citation in text: [1] -
Fülöp, F.; Martinek, T. A.; Tóth, G. K. Chem. Soc. Rev. 2006, 35, 323–334. doi:10.1039/b501173f
Return to citation in text: [1] -
Trabocchi, A.; Scarpi, D.; Guarna, A. Amino Acids 2008, 34, 1–24. doi:10.1007/s00726-007-0588-y
Return to citation in text: [1] -
Torres, E.; Acosta-Silva, C.; Rúa, F.; Álvarez-Larena, Á.; Parella, T.; Branchadell, V.; Ortuño, R. M. Tetrahedron 2009, 65, 5669–5675. doi:10.1016/j.tet.2009.05.039
Return to citation in text: [1] -
Szakonyi, Z.; Fülöp, F. Amino Acids 2011, 41, 597–608. doi:10.1007/s00726-011-0891-5
Return to citation in text: [1] [2] -
Kiss, L.; Fülöp, F. Chem. Rev. 2014, 114, 1116–1169. doi:10.1021/cr300454h
Return to citation in text: [1] -
Cheng, R. P.; Gellman, S. H.; DeGrado, W. F. Chem. Rev. 2001, 101, 3219–3232. doi:10.1021/cr000045i
Return to citation in text: [1] -
Mándity, I. M.; Wéber, E.; Martinek, T. A.; Olajos, G.; Tóth, G. K.; Vass, E.; Fülöp, F. Angew. Chem., Int. Ed. 2009, 48, 2171–2175. doi:10.1002/anie.200805095
Return to citation in text: [1] -
Hetényi, A.; Szakonyi, Z.; Mándity, I. M.; Szolnoki, É.; Tóth, G. K.; Martinek, T. A.; Fülöp, F. Chem. Commun. 2009, 177–179. doi:10.1039/b812114a
Return to citation in text: [1] [2] -
Fernandes, C.; Faure, S.; Pereira, E.; Théry, V.; Declerck, V.; Guillot, R.; Aitken, D. J. Org. Lett. 2010, 12, 3606–3609. doi:10.1021/ol101267u
Return to citation in text: [1] -
Martinek, T. A.; Fülöp, F. Chem. Soc. Rev. 2012, 41, 687–702. doi:10.1039/c1cs15097a
Return to citation in text: [1] -
Cimarelli, C.; Palmieri, G. J. Org. Chem. 1996, 61, 5557–5563. doi:10.1021/jo960107y
Return to citation in text: [1] -
Forró, F.; Fülöp, F. Mini-Rev. Org. Chem. 2004, 1, 93–102. doi:10.2174/1570193043488908
Return to citation in text: [1] -
Alcaide, B.; Almendros, P.; Aragoncillo, C. Chem. Rev. 2007, 107, 4437–4492. doi:10.1021/cr0307300
Return to citation in text: [1] -
Szakonyi, Z.; Martinek, T. A.; Sillanpää, R.; Fülöp, F. Tetrahedron: Asymmetry 2008, 19, 2296–2303. doi:10.1016/j.tetasy.2008.09.026
Return to citation in text: [1] [2] -
Bolm, C.; Schiffers, I.; Dinter, C. L.; Defrère, L.; Gerlach, A.; Raabe, G. Synthesis 2001, 1719–1730. doi:10.1055/s-2001-16745
Return to citation in text: [1] -
Atodiresei, L.; Schiffers, I.; Bolm, C. Chem. Rev. 2007, 107, 5683–5712. doi:10.1021/cr068369f
Return to citation in text: [1] -
Hameršak, Z.; Roje, M.; Avdagić, A.; Šunjic, V. Tetrahedron: Asymmetry 2007, 18, 635–644. doi:10.1016/j.tetasy.2007.02.019
Return to citation in text: [1] -
Davies, S. G.; Smith, A. D.; Price, P. D. Tetrahedron: Asymmetry 2005, 16, 2833–2891. doi:10.1016/j.tetasy.2005.08.006
Return to citation in text: [1] -
Davies, S. G.; Fletcher, A. M.; Roberts, P. M.; Thomson, J. E. Tetrahedron: Asymmetry 2012, 23, 1111–1153. doi:10.1016/j.tetasy.2012.08.009
Return to citation in text: [1] -
Szakonyi, Z.; Balázs, Á.; Martinek, T. A.; Fülöp, F. Tetrahedron: Asymmetry 2010, 21, 2498–2504. doi:10.1016/j.tetasy.2010.09.009
Return to citation in text: [1] [2] [3] -
Davies, S. G.; Durbin, M. J.; Goddard, E. C.; Kelly, P. M.; Kurosawa, W.; Lee, J. A.; Nicholson, R. L.; Price, P. D.; Roberts, P. M.; Russell, A. J.; Scott, P. M.; Smith, A. D. Org. Biomol. Chem. 2009, 7, 761–776. doi:10.1039/b818298a
Return to citation in text: [1] -
Magano, J.; Bowles, D.; Conway, B.; Nanninga, T. N.; Winkle, D. D. Tetrahedron Lett. 2009, 50, 6325–6328. doi:10.1016/j.tetlet.2009.08.119
Return to citation in text: [1] -
Davies, S. G.; Ichihara, O.; Roberts, P. M.; Thomson, J. E. Tetrahedron 2011, 67, 216–227. doi:10.1016/j.tet.2010.10.067
Return to citation in text: [1] -
Cailleau, T.; Cooke, J. W. B.; Davies, S. G.; Ling, K. B.; Naylor, A.; Nicholson, R. L.; Price, P. D.; Roberts, P. M.; Russell, A. J.; Smith, A. D.; Thomson, J. E. Org. Biomol. Chem. 2007, 5, 3922–3931. doi:10.1039/b712937h
Return to citation in text: [1] -
Ager, D., Ed. Handbook of Chiral Chemicals; Taylor & Francis: Boca Raton, 2006.
Return to citation in text: [1] -
Lait, S. M.; Rankic, D. A.; Keay, B. A. Chem. Rev. 2007, 107, 767–796. doi:10.1021/cr050065q
Return to citation in text: [1] -
Szakonyi, Z.; Balázs, Á.; Martinek, T. A.; Fülöp, F. Tetrahedron: Asymmetry 2006, 17, 199–204. doi:10.1016/j.tetasy.2005.12.011
Return to citation in text: [1] -
Makaev, F. Z.; Malkov, A. V. Tetrahedron: Asymmetry 2006, 62, 9–29. doi:10.1016/j.tet.2005.09.001
Return to citation in text: [1] -
Singh, R.; Ding, P.; Holland, S.; Goff, D. Pinane-substituted pyrimidinediamine derivatives useful as Axl inhibitors. WO Pat. Appl. WO2008/045978 A1, April 17, 2008.
Return to citation in text: [1] -
Makaev, F. Z.; Vlad, L. A.; Bets, L. P.; Malinovskii, S. T.; Gavrilov, K. N.; Gdanets, M. Chem. Nat. Compd. 2010, 46, 528–533. doi:10.1007/s10600-010-9669-3
Return to citation in text: [1] -
Moglioni, A. G.; García-Expósito, E.; Aguado, G. P.; Parella, T.; Branchadell, V.; Moltrasio, G. Y.; Ortuño, R. M. J. Org. Chem. 2000, 65, 3934–3940. doi:10.1021/jo991773c
Return to citation in text: [1] -
Szolnoki, É.; Hetényi, A.; Martinek, T. A.; Szakonyi, Z.; Fülöp, F. Org. Biomol. Chem. 2012, 10, 255–259. doi:10.1039/c1ob06627g
Return to citation in text: [1] -
Kitahara, T.; Horiguchi, A.; Mori, K. Tetrahedron 1988, 44, 4713–4720. doi:10.1016/S0040-4020(01)86174-3
Return to citation in text: [1] -
Krishnamurti, R.; Kuivila, H. G. J. Org. Chem. 1986, 51, 4947–4953. doi:10.1021/jo00375a036
Return to citation in text: [1] -
Cooke, R. G.; Macbeth, A. K.; Swanson, T. B. J. Chem. Soc. 1940, 808–810. doi:10.1039/jr9400000808
Return to citation in text: [1] -
Suga, T.; Sugimoto, M.; Fujita, K.; Matsuura, T. Bull. Chem. Soc. Jpn. 1966, 39, 2546–2547. doi:10.1246/bcsj.39.2546
Return to citation in text: [1] -
Mori, K. Tetrahedron: Asymmetry 2006, 17, 2133–2142. doi:10.1016/j.tetasy.2006.07.030
Return to citation in text: [1]
| 1. | Kuhl, A.; Hahn, M. G.; Dumić, M.; Mittendorf, J. Amino Acids 2005, 29, 89–100. doi:10.1007/s00726-005-0212-y |
| 2. | Juaristi, E.; Soloshonok, V. A., Eds. Enantioselective Synthesis of β-Amino Acids, 2nd ed.; Wiley-VCH: New York, 2005. doi:10.1002/0471698482 |
| 3. | Fülöp, F. Chem. Rev. 2001, 101, 2181–2204. doi:10.1021/cr000456z |
| 4. | Fülöp, F.; Martinek, T. A.; Tóth, G. K. Chem. Soc. Rev. 2006, 35, 323–334. doi:10.1039/b501173f |
| 5. | Trabocchi, A.; Scarpi, D.; Guarna, A. Amino Acids 2008, 34, 1–24. doi:10.1007/s00726-007-0588-y |
| 6. | Torres, E.; Acosta-Silva, C.; Rúa, F.; Álvarez-Larena, Á.; Parella, T.; Branchadell, V.; Ortuño, R. M. Tetrahedron 2009, 65, 5669–5675. doi:10.1016/j.tet.2009.05.039 |
| 7. | Szakonyi, Z.; Fülöp, F. Amino Acids 2011, 41, 597–608. doi:10.1007/s00726-011-0891-5 |
| 8. | Kiss, L.; Fülöp, F. Chem. Rev. 2014, 114, 1116–1169. doi:10.1021/cr300454h |
| 16. | Alcaide, B.; Almendros, P.; Aragoncillo, C. Chem. Rev. 2007, 107, 4437–4492. doi:10.1021/cr0307300 |
| 17. | Szakonyi, Z.; Martinek, T. A.; Sillanpää, R.; Fülöp, F. Tetrahedron: Asymmetry 2008, 19, 2296–2303. doi:10.1016/j.tetasy.2008.09.026 |
| 15. | Forró, F.; Fülöp, F. Mini-Rev. Org. Chem. 2004, 1, 93–102. doi:10.2174/1570193043488908 |
| 14. | Cimarelli, C.; Palmieri, G. J. Org. Chem. 1996, 61, 5557–5563. doi:10.1021/jo960107y |
| 38. | Cooke, R. G.; Macbeth, A. K.; Swanson, T. B. J. Chem. Soc. 1940, 808–810. doi:10.1039/jr9400000808 |
| 39. | Suga, T.; Sugimoto, M.; Fujita, K.; Matsuura, T. Bull. Chem. Soc. Jpn. 1966, 39, 2546–2547. doi:10.1246/bcsj.39.2546 |
| 40. | Mori, K. Tetrahedron: Asymmetry 2006, 17, 2133–2142. doi:10.1016/j.tetasy.2006.07.030 |
| 9. | Cheng, R. P.; Gellman, S. H.; DeGrado, W. F. Chem. Rev. 2001, 101, 3219–3232. doi:10.1021/cr000045i |
| 10. | Mándity, I. M.; Wéber, E.; Martinek, T. A.; Olajos, G.; Tóth, G. K.; Vass, E.; Fülöp, F. Angew. Chem., Int. Ed. 2009, 48, 2171–2175. doi:10.1002/anie.200805095 |
| 11. | Hetényi, A.; Szakonyi, Z.; Mándity, I. M.; Szolnoki, É.; Tóth, G. K.; Martinek, T. A.; Fülöp, F. Chem. Commun. 2009, 177–179. doi:10.1039/b812114a |
| 12. | Fernandes, C.; Faure, S.; Pereira, E.; Théry, V.; Declerck, V.; Guillot, R.; Aitken, D. J. Org. Lett. 2010, 12, 3606–3609. doi:10.1021/ol101267u |
| 13. | Martinek, T. A.; Fülöp, F. Chem. Soc. Rev. 2012, 41, 687–702. doi:10.1039/c1cs15097a |
| 23. | Szakonyi, Z.; Balázs, Á.; Martinek, T. A.; Fülöp, F. Tetrahedron: Asymmetry 2010, 21, 2498–2504. doi:10.1016/j.tetasy.2010.09.009 |
| 17. | Szakonyi, Z.; Martinek, T. A.; Sillanpää, R.; Fülöp, F. Tetrahedron: Asymmetry 2008, 19, 2296–2303. doi:10.1016/j.tetasy.2008.09.026 |
| 28. | Ager, D., Ed. Handbook of Chiral Chemicals; Taylor & Francis: Boca Raton, 2006. |
| 29. | Lait, S. M.; Rankic, D. A.; Keay, B. A. Chem. Rev. 2007, 107, 767–796. doi:10.1021/cr050065q |
| 30. | Szakonyi, Z.; Balázs, Á.; Martinek, T. A.; Fülöp, F. Tetrahedron: Asymmetry 2006, 17, 199–204. doi:10.1016/j.tetasy.2005.12.011 |
| 31. | Makaev, F. Z.; Malkov, A. V. Tetrahedron: Asymmetry 2006, 62, 9–29. doi:10.1016/j.tet.2005.09.001 |
| 32. | Singh, R.; Ding, P.; Holland, S.; Goff, D. Pinane-substituted pyrimidinediamine derivatives useful as Axl inhibitors. WO Pat. Appl. WO2008/045978 A1, April 17, 2008. |
| 33. | Makaev, F. Z.; Vlad, L. A.; Bets, L. P.; Malinovskii, S. T.; Gavrilov, K. N.; Gdanets, M. Chem. Nat. Compd. 2010, 46, 528–533. doi:10.1007/s10600-010-9669-3 |
| 34. | Moglioni, A. G.; García-Expósito, E.; Aguado, G. P.; Parella, T.; Branchadell, V.; Moltrasio, G. Y.; Ortuño, R. M. J. Org. Chem. 2000, 65, 3934–3940. doi:10.1021/jo991773c |
| 36. | Kitahara, T.; Horiguchi, A.; Mori, K. Tetrahedron 1988, 44, 4713–4720. doi:10.1016/S0040-4020(01)86174-3 |
| 23. | Szakonyi, Z.; Balázs, Á.; Martinek, T. A.; Fülöp, F. Tetrahedron: Asymmetry 2010, 21, 2498–2504. doi:10.1016/j.tetasy.2010.09.009 |
| 24. | Davies, S. G.; Durbin, M. J.; Goddard, E. C.; Kelly, P. M.; Kurosawa, W.; Lee, J. A.; Nicholson, R. L.; Price, P. D.; Roberts, P. M.; Russell, A. J.; Scott, P. M.; Smith, A. D. Org. Biomol. Chem. 2009, 7, 761–776. doi:10.1039/b818298a |
| 25. | Magano, J.; Bowles, D.; Conway, B.; Nanninga, T. N.; Winkle, D. D. Tetrahedron Lett. 2009, 50, 6325–6328. doi:10.1016/j.tetlet.2009.08.119 |
| 26. | Davies, S. G.; Ichihara, O.; Roberts, P. M.; Thomson, J. E. Tetrahedron 2011, 67, 216–227. doi:10.1016/j.tet.2010.10.067 |
| 27. | Cailleau, T.; Cooke, J. W. B.; Davies, S. G.; Ling, K. B.; Naylor, A.; Nicholson, R. L.; Price, P. D.; Roberts, P. M.; Russell, A. J.; Smith, A. D.; Thomson, J. E. Org. Biomol. Chem. 2007, 5, 3922–3931. doi:10.1039/b712937h |
| 37. | Krishnamurti, R.; Kuivila, H. G. J. Org. Chem. 1986, 51, 4947–4953. doi:10.1021/jo00375a036 |
| 21. | Davies, S. G.; Smith, A. D.; Price, P. D. Tetrahedron: Asymmetry 2005, 16, 2833–2891. doi:10.1016/j.tetasy.2005.08.006 |
| 22. | Davies, S. G.; Fletcher, A. M.; Roberts, P. M.; Thomson, J. E. Tetrahedron: Asymmetry 2012, 23, 1111–1153. doi:10.1016/j.tetasy.2012.08.009 |
| 18. | Bolm, C.; Schiffers, I.; Dinter, C. L.; Defrère, L.; Gerlach, A.; Raabe, G. Synthesis 2001, 1719–1730. doi:10.1055/s-2001-16745 |
| 19. | Atodiresei, L.; Schiffers, I.; Bolm, C. Chem. Rev. 2007, 107, 5683–5712. doi:10.1021/cr068369f |
| 20. | Hameršak, Z.; Roje, M.; Avdagić, A.; Šunjic, V. Tetrahedron: Asymmetry 2007, 18, 635–644. doi:10.1016/j.tetasy.2007.02.019 |
| 7. | Szakonyi, Z.; Fülöp, F. Amino Acids 2011, 41, 597–608. doi:10.1007/s00726-011-0891-5 |
| 11. | Hetényi, A.; Szakonyi, Z.; Mándity, I. M.; Szolnoki, É.; Tóth, G. K.; Martinek, T. A.; Fülöp, F. Chem. Commun. 2009, 177–179. doi:10.1039/b812114a |
| 23. | Szakonyi, Z.; Balázs, Á.; Martinek, T. A.; Fülöp, F. Tetrahedron: Asymmetry 2010, 21, 2498–2504. doi:10.1016/j.tetasy.2010.09.009 |
| 35. | Szolnoki, É.; Hetényi, A.; Martinek, T. A.; Szakonyi, Z.; Fülöp, F. Org. Biomol. Chem. 2012, 10, 255–259. doi:10.1039/c1ob06627g |
© 2014 Szakonyi et al; licensee Beilstein-Institut.
This is an Open Access article under the terms of the Creative Commons Attribution License (http://creativecommons.org/licenses/by/2.0), which permits unrestricted use, distribution, and reproduction in any medium, provided the original work is properly cited.
The license is subject to the Beilstein Journal of Organic Chemistry terms and conditions: (http://www.beilstein-journals.org/bjoc)