Abstract
A novel class of chiral phosphanyl-oxazoline (PHOX) ligands with a conformationally rigid cyclopropyl backbone was synthesized and tested in the intermolecular asymmetric Heck reaction. Mechanistic modelling and crystallographic studies were used to predict the optimal ligand structure and helped to design a very efficient and highly selective catalytic system. Employment of the optimized ligands in the asymmetric arylation of cyclic olefins allowed for achieving high enantioselectivities and significantly suppressing product isomerization. Factors affecting the selectivity and the rate of the isomerization were identified. It was shown that the nature of this isomerization is different from that demonstrated previously using chiral diphosphine ligands.
Graphical Abstract
Introduction
The asymmetric Heck reaction is one of the most powerful and versatile processes for the enantioselective construction of new carbon–carbon bonds. Intramolecular versions of this reaction catalysed by palladium complexes with BINAP and related diphosphine ligands [1,2] allow for efficient installation of tertiary and quaternary chiral centres leading to a rapid increase of molecular complexity [3-5]. To date, various modes of this transformation are being successfully employed in the synthesis of complex organic molecules [6-14].
Considerable achievements have also been made towards the application of BINAP-type ligands in the intermolecular asymmetric Heck reaction [15]. This reaction was pioneered by Hayashi [16], who demonstrated the arylation of dihydrofuran (1) with phenyl triflate (2a) (Scheme 1) in the presence of (R)-BINAP [16-18] produced isomeric dihydrofurans 3a and 4a, with the latter being the major product, due to substantial isomerization of the double bond. Depending on the reaction conditions, moderate to good selectivities toward formation of 4a were observed. Remarkably, the obtained products, “normal” 3a and “isomerized” 4a, had the opposite absolute configurations of the stereogenic center at C2. Moreover, it was found that the enantioselectivity improved during the reaction course. The mechanistic rationale proposed by Hayashi [16] fully accounts for the observed stereoselectivity change (Scheme 2). The catalytic cycle begins with the oxidative addition of Pd(0) species 5 into the aryl triflate 2 resulting in the formation of cationic complex 6. The latter can coordinate to either of the prochiral faces of dihydrofuran (1) affording diastereomeric η2-complexes 7 and 10. Subsequent carbopalladation, followed by β-hydride elimination, produces species 9 and 12, respectively. It was proposed that the diastereomeric complex 12 has a higher propensity toward further hydropalladation than 9. Accordingly, the latter species releases the (S)-enantiomer of 2,5-dihydrofuran 3 (path I), while the former undergoes a series of reversible hydropalladations and β-hydride eliminations, resulting in the formation of a thermodynamically more favoured η2-complex 14, which ultimately produces the (R)-enantiomer of the isomeric product 4.
Scheme 1: Intermolecular asymmetric Heck reaction by Hayashi [16].
Scheme 1: Intermolecular asymmetric Heck reaction by Hayashi [16].
Scheme 2: Mechanistic rationale of asymmetric Heck reaction.
Scheme 2: Mechanistic rationale of asymmetric Heck reaction.
Later, a number of research groups pursued the design of alternative diphosphine ligands to achieve better regio- and enantioselectivity in the intramolecular Heck reaction. Several derivatives of BINAP [19,20] and other chiral diphosphines [21-27] including TMBTP [28-31], BIPHEP [32-34], BITIANP [30,35] (Figure 1) were tested, some of which provided improved selectivity. Nevertheless, in all cases predominant or exclusive formation of the isomerized product 4 was observed.
Figure 1: Chiral diphosphine ligands used for intermolecular asymmetric Heck reaction.
Figure 1: Chiral diphosphine ligands used for intermolecular asymmetric Heck reaction.
At the same time, several mixed hetereoatom ligands of the P–S [36,37], P–O [38], and N–N [39,40] type have also been explored in the intermolecular Heck arylation; however, they demonstrated in most cases only marginal regio- and enantioselectivities. On the other hand, superior results were obtained using chiral ligands of the P,N-type [15,41-44]. Particularly, excellent enantioselectivities were achieved using different variations of phosphanyl-oxazoline (PHOX) ligands [45-52], originally introduced by Pfaltz (Figure 2) [53,54]. The remarkable, yet not fully understood feature of PHOX ligands is their low tendency to promote C=C-bond isomerization [45-52]. Thus, in contrast to the diphosphines, PHOX ligands produced dihydrofuran 3 with very high selectivity. Structural modification of the flat ortho-phenylene tether in the Pfaltz ligand through the incorporation of additional chirality elements into the ligand backbone allowed for significant improvement of the enantioselectivity. Thus, ferrocene-based ligands introduced by Dai and Hou [55,56], and Guiry [57,58] (Figure 2) were employed in the asymmetric Heck reaction of different cyclic olefins. Furthermore, Gilbertson demonstrated PHOX ligands featuring apobornene backbone (Figure 2) exhibit outstanding activities and selectivities in the arylation and alkenylation of different cyclic substrates [59]. A highly efficient asymmetric arylation in the presence of sugar-derived phosphite-oxazoline ligands was reported by Diéguez and Pàmies [47,48].
Figure 2: Chiral phosphanyl-oxazoline (PHOX) ligands used for intermolecular asymmetric Heck reaction.
Figure 2: Chiral phosphanyl-oxazoline (PHOX) ligands used for intermolecular asymmetric Heck reaction.
PHOX ligands are very appealing due to their high catalytic potential and modular design, which permits easy preparation of a series of analogues via the same synthetic route. To date, however, general approach to the ligand design has been largely empirical due to a poor understanding of the factors affecting the activity of the corresponding catalytic systems and the operating modes of asymmetric induction imparted by the employed chiral ligands. In our investigation, we decided to benefit from a well-established strategy commonly used in medicinal chemistry. According to this approach conformationally constrained cyclic analogues of biologically active molecules are employed for elucidation of important mechanisms and identifying critical enzyme binding sites. Analogously, we anticipated that incorporation of a three-membered cycle in the ligand structure [60-63] would impart rigidity to the ligand backbone and provide conformationally constrained systems with amplified steric effects, which can be easily modelled and predicted. This, in turn, could be used to rationally design the ligand structure en route to more efficient catalytic systems. In 2008 we communicated the design and synthesis of a novel series of PHOX ligands featuring a chiral cyclopropyl backbone, as well as their employment in the enantioselective intermolecular Heck arylation reaction [64]. Herein we describe the full account on this investigation, including the results of the structure–activity studies and provide our insight into the origins of the enantioselectivity of this transformation and factors controlling the rate of isomerization reaction.
Results and Discussion
Our approach to the PHOX ligands with a chiral cyclopropyl backbone is presented in Scheme 3. The synthesis began from optically active 1-methyl-2,2-dibromocyclopropanecarboxylic acid (15) [65] readily available in both enantiomeric forms. The S-enantiomer of acid 15 was converted into acyl chloride (S)-16. Subsequent acylation of (R)-phenylglycinol with (S)-16 afforded amide 17, which was subjected to cyclization in the presence of mesyl chloride and a base providing dihydrooxazole 18. Diastereoselective partial reduction of the dibromocyclopropane moiety with zinc dust in glacial acetic acid produced a 1:4 mixture of trans- and cis-bromocyclopropanes 19, which were separated by column chromatography. Lithium to halogen exchange followed by trapping of the resulting cyclopropyllithium species with chlorophosphine produced ligand L1 (Scheme 3).
Scheme 3: Synthetic scheme for preparation of PHOX ligands with chiral cyclopropyl backbone.
Scheme 3: Synthetic scheme for preparation of PHOX ligands with chiral cyclopropyl backbone.
Ligand L1 once obtained, was tested in the asymmetric arylation reaction of 2,3-dihydrofuran under various reaction conditions (Table 1). It was found that the reaction proceeded efficiently, yet with only moderate enantioselectivity, in the presence of palladium acetate and Hünig’s base (Table 1, entry 3). Interestingly, the employment of proton sponge as a base resulted in significant isomerization of product 3a into the more thermodynamically stable dihydrofurans 4a and 20a. Close monitoring of the reaction by chiral GC revealed, that the initially formation of “normal” product 3a is observed (Table 1, entry 4); however, by the time when starting material 1 was completely consumed, the entire amount of 3a produced was transformed into 4a (Table 1, entry 5). Remarkably, the absolute configuration at C2 did not change at all through the reaction course; moreover, the optical purity of both products 3a and 4a remained constant (Table 1, entries 4 and 5). This feature makes this isomerization mechanistically distinct from the one reported by Hayashi (vide supra).
Table 1: Selected results on optimization of the reaction conditions for asymmetric Heck arylation using L1.
|
|
|||||||
| Entry | Pd cat. | Base | Solvent | Time/Temp | 3a:4a | ee, %a | conv, %b |
|---|---|---|---|---|---|---|---|
| 1 | Pd2dba3·CHCl3 | EtN(iPr)2 | benzene | 3 d/70 °C | 19:1 | 90 | 15 |
| 2 | Pd2dba3·CHCl3 | EtN(iPr)2 | THF | 20 h/85 °C | 10:1 | 85 | 60 |
| 3 | Pd(OAc)2 | EtN(iPr)2 | THF | 20 h/85 °C | 11:1 | 83 | 99 |
| 4 | Pd(OAc)2 | proton sponge | THF | 20 h/60 °C | 10:1 | 88 | 45 |
| 5 | Pd(OAc)2 | proton sponge | THF | 70 h/60 °C | >1:50c | 85 | 99 |
| 6 | Pd(OAc)2 | proton sponge | THF | 20 h/90 °C | >1:50c | 82 | 99 |
aEe's of major regioisomers are listed. bConversion by GC. cFormation of small amounts of dihydrofuran 20a was observed.
To better understand the factors affecting the selectivity and efficiency of the asymmetric arylation, we have prepared two more analogues of L1: ligand L2, possessing a diphenylphosphanyl group and ligand L3 derived from tert-leucinol (Figure 3). Not surprisingly, installation of the less hindered phosphorus moiety in L2 negatively affected the asymmetric induction: the corresponding product 3a was obtained in only 78–79% ee (Table 2, entries 3 and 4). However, in contrast to L1 (Table 2, entries 1 and 2) the selectivity toward 3a in the reaction using L2 remained high, regardless of the base used.
Figure 3: PHOX ligands with chiral cyclopropyl backbone employed in this study.
Figure 3: PHOX ligands with chiral cyclopropyl backbone employed in this study.
Table 2: Screening of L1–L3 in the asymmetric Heck arylation of dihydrofuran 1.
|
|
|||||
| Entry | Ligand | Base | 3a:4a | ee, %a | conv, %b |
|---|---|---|---|---|---|
| 1 | L1c | EtN(iPr)2 | 11:1 | 83 | 99 |
| 2 | L1c | proton sponge | >1:50 | 82 | 99 |
| 3 | L2 | EtN(iPr)2 | 20:1 | 79 | 99 |
| 4 | L2 | proton sponge | 15:1 | 78 | 99 |
| 5 | L3 | EtN(iPr)2 | 7:1 | 87 | 35 |
| 6 | L3 | proton sponge | 1.4:1 | 84d | 80 |
aEnantioselectivity of a major product. bConversions by GC. cResults from Table 1. dEnantioselectivity of product (R)-4a was 80%.
Modification of the dihydrooxazole moiety by installation of a bulky tert-butyl group was pursued in attempt to improve the enantioinduction of our catalytic system. Indeed, a number of previously reported PHOX ligands derived from tert-leucinol were shown to provide superior enantioselectivities compared to their analogues obtained from less bulky amino alcohols [54,57,59]. However, the arylation carried out in the presence of L3 proceeded much more sluggishly (Table 2, entries 5 and 6), and allowed for only insignificant improvement in enantioselectivity (84–87% ee). Most remarkably, the same (R)-enantiomer of product 3 was obtained, despite the opposite absolute configuration of L3 with respect to L1 (Figure 3). In other words, switching from Ph to t-Bu substituent in the dihydrooxazole ring of the ligand resulted in a reversal of enantioselectivity.
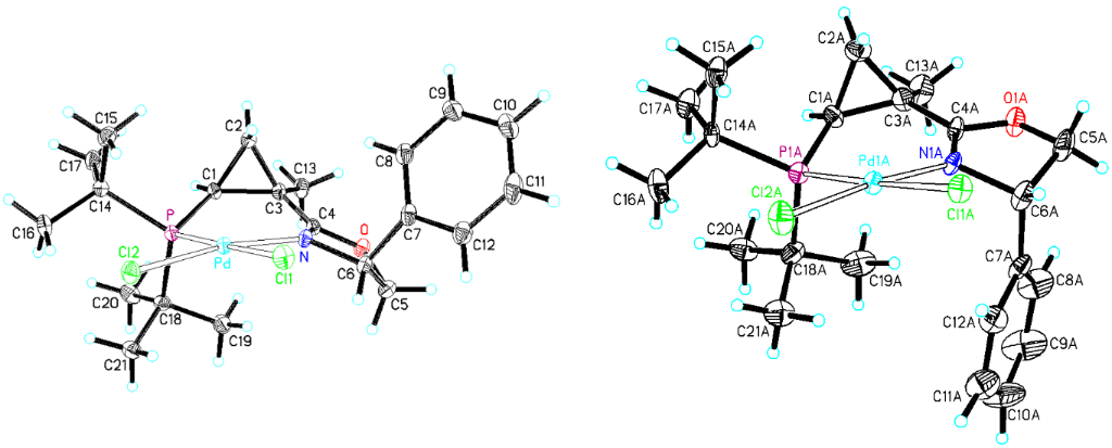
Such an unexpected change in the catalyst selectivity motivated us to perform structural analysis of the key intermediate complexes invoked in the catalytic cycle of the Heck arylation. First, we assessed the possibility of conformational equilibrium for the six-membered arylpalladium species bearing L1 (Scheme 4). The non-planar six-membered palladacycle [66-69] can potentially adopt one of two conformations: I1, in which the syn-tert-butyl substituent at phosphorus assumes a pseudo-equatorial position, whereas the anti-tert-butyl substituent is pseudo-axial; and I2, where this relationship is reversed (Scheme 4). Analysis of these two conformations suggests that steric repulsions between the axial syn-substituent and the methylene group in cyclopropane makes conformation I2 thermodynamically disfavored compared to I1. This hypothesis was also supported by a single crystal X-ray analysis of (L1)PdCl2 complex (Figure 4). The resolved crystal structure clearly shows that the syn-(C14) and anti-substituent (C18) at phosphorus adopt a pseudo-equatorial and a pseudo-axial position, respectively. It would be reasonable to assume that the strained and rigid cyclopropyl backbone renders the six-membered palladacycle particularly inflexible, thus significantly suppressing conformational fluctuations throughout the catalytic cycle. Furthermore, coordination of the soft π-ligand dihydrofuran should take place predominantly trans to a soft phosphorus atom [70-72] (Scheme 5). In this case, the re-face approach (I4) is encumbered by a large pseudo-axial tert-butyl group, while the si-face approach (I3) is also somewhat hindered by a pseudo-axial syn-phenyl substituent in dihydrooxazole ring. As a result, the (R)-enantiomer of the product was predominantly formed, albeit with moderate enantioselectivity. Analogously, in the intermediate I5 derived from chiral ligand L2, the less bulky pseudo-axial phenyl substituent at phosphorus blocks the re-face approach even less efficiently, which ultimately results in a further decrease of enantioselectivity (Scheme 5).
Scheme 4: Conformational equilibrium in cationic arylpalladium(II) complexes with chiral ligand L1.
Scheme 4: Conformational equilibrium in cationic arylpalladium(II) complexes with chiral ligand L1.
Figure 4: X-ray structures of complexes (L1)PdCl2 (left) and (L4)PdCl2 (right). These structures were originally communicated in [64].
Figure 4: X-ray structures of complexes (L1)PdCl2 (left) and (L4)PdCl2 (right). These structures were origina...
Scheme 5: For discussion on asymmetric induction imparted by chiral ligands L1 and L2 (originally published in [64]).
Scheme 5: For discussion on asymmetric induction imparted by chiral ligands L1 and L2 (originally published i...
The reversal of enantioselectivity observed in the reaction carried out in the presence of L3 was explained in a similar fashion (Table 2, entries 5 and 6, Scheme 6). Thus, a bulky tert-butyl group in the dihydrooxazole ring creates the increased steric hindrance, which does not allow for the si-face approach resulting in the reaction proceeding predominantly from the re-face, providing the (S)-enantiomer of 3 (Scheme 6). The fact that in both intermediates I7 and I8 dihydrofuran experiences certain impediment on approach to palladium may also be responsible for the observed decrease in the reaction rate.
Scheme 6: For discussion on asymmetric induction imparted by chiral ligands L3 (originally published in [64]).
Scheme 6: For discussion on asymmetric induction imparted by chiral ligands L3 (originally published in [64]).
Based on this analysis, we rationalized that the “wrong” relative configuration of the stereogenic centers in ligands L1, L2 and L3 could be responsible for the observed marginal enantioselectivity of the corresponding catalytic systems. We envisioned that inverting the absolute configuration of the asymmetric center at C4 in the dihydrooxazole ring might potentially help to improve the enantioselectivity of the arylation reaction. Indeed, it is reasonable to propose that the inversion of the stereogenic center in the dihydrooxazole ring should not significantly affect the thermodynamic equilibrium of the corresponding palladacycle conformations I9 and I10 (Scheme 7), as compared to I1 and I2 (Scheme 4). Thus, the cationic palladacycle with (S,S,S)-ligand L4 would still predominantly adopt conformation I9 to avoid the unfavorable steric interaction between the pseudo-axial syn-tert-butyl group and the methylene group of the cyclopropane (Scheme 7). Accordingly, a synergistic steric effect of both the axial P–t-Bu group and a bulky substituent at C4 in dihydrooxazolyl moiety observed in the alternative (S,S,S)-configuration of the ligand would now provide efficient blocking of the both bottom quadrants thereby completely averting the re-face attack (I12, Scheme 8). On the other hand, the si-face attack should become more favorable after the removal of a bulky group obstructing the top right quadrant (I11, Scheme 8 vs I3, Scheme 5). Ultimately, if the above assumptions are correct, this change should result in enhanced enantioselectivity of the asymmetric arylation in the presence of ligand L4 in favor of the (R)-enantiomer of the product 3.
Scheme 7: Conformational equilibrium in cationic arylpalladium(II) complexes with chiral ligand L4.
Scheme 7: Conformational equilibrium in cationic arylpalladium(II) complexes with chiral ligand L4.
Scheme 8: For discussion on asymmetric induction imparted by chiral ligands L4 (originally published in [64]).
Scheme 8: For discussion on asymmetric induction imparted by chiral ligands L4 (originally published in [64]).
With this idea in mind, we prepared a new series of ligands with the (S,S,S)-absolute configuration using the synthetic approach described above (Scheme 3), starting from acid chloride (S)-16 and (S)-phenylglycinol. Additional diversification of the ligand structure was achieved by varying the chlorophosphine source. Thus, employment of di-tert-butylchlorophosphine, chlorodicyclohexylphosphine, and chlorodiphenylphosphine at the last step of the sequence provided ligands L4, L5, and L6, respectively (Figure 3). Crystallographic data obtained for the (L4)PdCl2 complex (Figure 4) completely confirmed the preference of conformation I9 vs I10 (Scheme 7). It should be pointed out, that the resolved crystal structure of (L4)PdCl2 complex shows four sets of crystallographically independent molecules. However, all of them have nearly identical palladacycle conformations with the molecule shown in Figure 4 [64]. An overlay of X-ray structures obtained for (L1)PdCl2 and (L4)PdCl2 complexes demonstrated that all atoms of the palladacycle, cyclopropyl ring, and both tert-butyl substituents can be almost perfectly superimposed, which for both ligand configurations, confirms the strong preference of a conformation in which the syn-tert-Bu substituent (C14) and the anti-tert-Bu substituent (C18) at phosphorus assume pseudo-equatorial and pseudo-axial positions, respectively. Remarkably, X-ray analysis has also demonstrated that the phenyl substituent at C4 of dihydrooxazole ring adopts a pseudo-axial position thereby completely blocking any potential re-face attack (Scheme 8).
Ligands L4, L5, and L6 once obtained were tested in the asymmetric arylation of dihydrofuran 1 (Table 3). Gratifyingly, right along with our expectations, the entire series of (S,S,S)-ligands L4–L6 not only provided a significant improvement in enantioselectivity, but also helped to suppress the unwanted isomerization of 3 into 4, as compared to the diastereomeric ligand series (L1–L3, Table 2). Remarkably, changing the absolute configuration of the stereocenter in the dihydrooxazole ring did not cause the change of the absolute configuration of the product. This is in contrast to the reactions performed using most known PHOX ligands, in which configuration of the oxazoline moiety usually determines the stereochemical outcome of the reaction (however, in the reactions using PHOX ligands bearing a very bulky planar or axially chiral backbone, the enantiomeric outcome is controlled by the absolute configuration of the backbone rather than that of the oxazoline ring; for discussion, see [15]). Thus, employment of L4 and L5 afforded dihydrofuran (R)-3 with very high enantioselectivity regardless of the base used (Table 3, entries 1–6); however, the reactions proceeded more sluggishly in the presence of Hünig’s base (Table 3, entries 2 and 5). Employment of proton sponge helped boost the reaction rate in the arylation catalyzed by both L4 and L5 (Table 3, entries 3 and 6). Yet, significant isomerization of 3 into 4 was observed with this base when the reaction catalyzed by Pd/L4 complex was allowed to run for an additional 20 h (Table 3, note c). Employment of the diphenylphosphanyl ligand L6 provided lower enantioselectivity (Table 3, entries 7 and 8), which can be attributed to decreased steric demands created by phenyl groups at phosphorus as compared to the tert-butyl (L4) and cyclohexyl (L5) substituents.
Table 3: Screening of L4–L6 in the asymmetric Heck arylation reaction.
|
|
|||||
| Entry | Ligand | Base | 3a:4a | ee (3a), % | Conv, %a |
|---|---|---|---|---|---|
| 1 | L4 | EtN(iPr)2 | >50:1 | 98 | 53 |
| 2 | L4 | EtN(iPr)2 | 16:1 | 98 | 97b |
| 3 | L4 | proton sponge | >50:1c | 98 | 74 |
| 4 | L5 | EtN(iPr)2 | >50:1 | 94 | 71 |
| 5 | L5 | EtN(iPr)2 | 40:1 | 94 | 90b |
| 6 | L5 | proton sponge | 29:1 | 95 | 99 |
| 7 | L6 | EtN(iPr)2 | 16:1 | 88 | 76 |
| 8 | L6 | proton sponge | >50:1 | 86 | 83 |
aConversions by GC. bConversion after 2 days at 85 °C. cWhen the reaction was allowed to stir for an additional 20 h, the product ratio changed to 2:1. The enantioselectivities of products (R)-3a and (R)-4a in this case were found to be 98% and 97%, respectively.
The different tendencies of Pd/L1 and Pd/L4 catalyst systems to promote isomerization of product 3 into 4 can be rationalized as follows. As discussed above (Scheme 2), the isomerization process involves reversible hydropalladation of the double bond of product 3. The migration of the double bond can be realized only when hydropalladation of 3 occurs with addition of palladium to C4 (Scheme 9, path A), whereas the opposite regioselectivity of hydropalladation would ultimately lead, after the subsequent β-hydride elimination, back to compound 3 (Scheme 9, path B). The diastereoselectivity of the hydropalladation of 3 by Pd/L1 hydride species I13 is controlled as shown in Scheme 10. Thus, it seems impossible to realize the si-face approach of palladium hydride species I13 to the double bond of 3 due to severe steric hindrance between the di(tert-butyl)phospanyl group of the ligand and the aryl substituent in 3 on one side, and between the phenyl substituent in dihydrooxazole ring and C5-methylene of dihydrofuran 3 on the other (I15, Scheme 10). However, the absence of any significant steric interference upon alternative re-face approach makes this alternative mechanistic channel available for isomerization (I14, Scheme 10).
Scheme 9: Mechanism of migration of C=C double bond leading to isomerization of product 3 into product 4.
Scheme 9: Mechanism of migration of C=C double bond leading to isomerization of product 3 into product 4.
Scheme 10: For discussion on isomerization 3→4 imparted by Pd/L1 complex (originally published in [64]).
Scheme 10: For discussion on isomerization 3→4 imparted by Pd/L1 complex (originally published in [64]).
Two potential pathways for hydropalladation of 3 by the diastereomeric Pd/L4 hydride species I16 are shown in Scheme 11. In conjunction with L1-derived complex I15 (Scheme 10), complex I18 produced via the si-face approach should be highly disfavored (Scheme 11). In this case, however, an alternative complex I17 resulting from the re-face attack should also experience steric repulsion between the C5-methylene of dihydrofuran 3 and a pseudo-equatorial phenyl substituent in dihydrooxazole ring (Scheme 11). Accordingly, complex I17 should be much more unfavorable compared to L1-derived complex I14, where such interaction does not occur (Scheme 10). As a result, both mechanistic channels for isomerization of compound 3 into 4 should be suppressed in this case. It should be mentioned, however, that electronic density at the phosphine moiety of the ligand also notably affects the propensity of the corresponding catalyst to promote the isomerization. Thus, our experiments indicate that in the series of di(tert-butyl)-, dicyclohexyl-, and diphenylphosphanyl-containing ligands (L4→L6), the former has the highest tendency to induce isomerization while the latter has the lowest (Table 3). A similar electronic effect was previously observed in the asymmetric Heck arylation in the presence of diphosphine-oxazoline ferrocenyl ligands [56].
Scheme 11: For discussion on isomerization 3→4 imparted by Pd/L4 complex (originally published in [64]).
Scheme 11: For discussion on isomerization 3→4 imparted by Pd/L4 complex (originally published in [64]).
Next, the most efficient ligands L4 and L5 were tested in the asymmetric arylation of dihydrofuran 1 against various aryl triflates (Table 4). It was found that all reactions catalyzed by Pd/L4 provided excellent enantioselectivities (98–99%) regardless of the nature of the aryl triflate (Table 4, entries 1–5). However, the reactions carried out in the presence of L4/Hünig’s base combination proceeded much more sluggishly; as a result, the selectivity toward formation of 3 was slightly lower in these cases. Reactions performed in the presence of Pd/L5 catalyst and proton sponge proceeded much faster, albeit providing somewhat lower ee's (Table 4, entries 6–10). In contrast to the Pd/L4-catalyzed reactions, enantioselectivities in this case varied slightly depending on the aryl triflate used, with the highest value obtained from 1-naphthyl triflate (96%, Table 4, entry 9) and the lowest from 2-naphthyl triflate (87%, Table 4, entry 10). Interestingly, the electronic nature of the aryl triflate had a pronounced effect on the reaction rate, which is best seen in the Pd/L5 series of catalyzed reactions. Thus, electron-rich aryl triflates (Table 4, entries 6, 7, and 9) reacted much faster than the electron-poor analog 2d (Table 4, entry 8). Furthermore, a remarkable difference between the reactivity of 1- and 2-naphthyl triflates was also observed, suggesting the reaction is also sensitive to sterics (Table 4, entries 9 and 10).
Table 4: Asymmetric arylation of dihydrofuran with aryl tiflates.
|
|
|||||||
| Entry | Aryl | Ligand/Base | Time, h | 3:4 | ee (3), % | Conv, %a | |
|---|---|---|---|---|---|---|---|
| 1 | p-Me-C6H4 | 2b | L4/Hünig’s base | 48 | 16:1 | 99 | 96 |
| 2 | p-MeO-C6H4 | 2c | L4/Hünig’s base | 20 | 17:1 | 98 | 98 |
| 3 | p-CF3-C6H4 | 2d | L4/Hünig’s base | 48 | >50:1 | 98 | 58 |
| 4 | 1-Nphth | 2e | L4/Hünig’s base | 48 | 18:1 | 98 | 70b |
| 5 | 2-Nphth | 2f | L4/Hünig’s base | 20 | >50:1 | 98 | 32b |
| 6 | p-Me-C6H4 | 2b | L5/proton sponge | 6 | 39:1 | 95 | 93 |
| 7 | p-MeO-C6H4 | 2c | L5/proton sponge | 6 | 35:1 | 92 | 99 |
| 8 | p-CF3-C6H4 | 2d | L5/proton sponge | 20 | 42:1 | 91 | 95 |
| 9 | 1-Nphth | 2e | L5/proton sponge | 6 | 31:1 | 96 | 94b |
| 10 | 2-Nphth | 2f | L5/proton sponge | 20 | 17:1 | 87 | 100c |
aConversion by GC. bFormation of ca.10% of naphthalene was observed. cFormation of ca. 20% of naphthalene was observed.
We also tested all new ligands L1–L6 in the asymmetric Heck arylation of cyclopentene (Table 5). Initial experiments conducted under the conditions optimized for arylation of dihydrofuran 1 provided no reaction with cyclopentene 21. Additional optimization revealed that reasonable reaction rates can be achieved only in the presence of Pd(dba)2 catalyst and proton sponge. It should be mentioned that employment of Pd2(dba)3·CHCl3 catalyst in place of Pd(dba)2 provided no reaction. Generally, the enantioselectivities obtained in this transformation (Table 5) were somewhat lower than those obtained in the arylation of dihydrofuran (Table 2 and Table 3) for all ligands tested except L4. Notably, similarly to the arylation of dihydrofuran (Table 2 and Table 3), the isomerization rates (22→23) in this transformation were significantly lower in the reactions carried out in the presence of ligands with the (S,S,S) absolute configuration (L4–L6, Table 5, entries 4–6), as compared to the ligands in the diastereomeric series (L1–L3, Table 5, entries 1–3).
Table 5: Evaluation of Ligands L1–L6 in the intermolecular asymmetric Heck reaction of phenyl triflate (2a) with cyclopentene (19).
|
|
|||||
| Entry | Ligand | 22:23 | ee (22), % | Conv, %a | Yield, %b |
|---|---|---|---|---|---|
| 1 | L1 | 12:1 | 81 | 99 | 85 |
| 2 | L2 | 15:1 | 86 | 95 | 80 |
| 3 | L3 | 13:1 | 82 | 15 | ND |
| 4 | L4 | 27:1 | 92 | 32 | ND |
| 5 | L5 | 44:1 | 89 | 96 | 80 |
| 6 | L6 | 40:1 | 80 | 60 | ND |
aConversion by GC. bIsolated yields, obtained by standard aqueous work-up of the reaction mixture, followed by fractionation.
Conclusion
In conclusion, a series of novel PHOX ligands featuring a chiral cyclopropyl backbone have been synthesized and examined in the intermolecular asymmetric Heck arylation of cyclic olefins. By lowering degrees of freedom in the catalyst structure through the introduction of additional conformation constrains, we have created a model catalytic system with predictable, tuneable and easily adjustable properties. Structure–activity relationship studies allowed for identifying the key topological and stereochemical features of the ligands, responsible for achieving high enantioselectivity and for suppressing product isomerization. This has resulted in the development of efficient catalytic systems demonstrating excellent enantioselectivities in the asymmetric arylation of dihydrofuran with various aryl triflates. It was also shown that the product isomerization in the presence of these ligands has a different nature from that reported previously using chiral diphosphine ligands. Furthermore, a number of factors were shown to affect the isomerization rate including the absolute configuration of the ligand, its electronic properties, and the base employed.
Supporting Information
| Supporting Information File 1: Detailed experimental procedures of chiral ligands L2, L5, and L6. | ||
| Format: PDF | Size: 468.3 KB | Download |
Acknowledgements
Financial support from the University of Kansas and the National Science Foundation (EEC-0310689) is gratefully acknowledged. We are grateful to International Collaboration Program, supported by the Ministry of Education and Science of the Russian Federation and the Ural Federal University. We also thank National Science Foundation (grant CHE-0079282) for funds to purchase the X-ray instrument and Dr. V. W. Day (X-ray Crystallography Laboratory, University of Kansas) for his assistance with X-ray crystallography.
References
-
Sato, Y.; Sodeoka, M.; Shibasaki, M. J. Org. Chem. 1989, 54, 4738–4739. doi:10.1021/jo00281a007
Return to citation in text: [1] -
Carpenter, N. E.; Kucera, D. J.; Overman, L. E. J. Org. Chem. 1989, 54, 5846–5848. doi:10.1021/jo00286a009
Return to citation in text: [1] -
Oestreich, M. Eur. J. Org. Chem. 2005, 783–792. doi:10.1002/ejoc.200400711
Return to citation in text: [1] -
Guiry, P. J.; Kiely, D. Curr. Org. Chem. 2004, 8, 781–794. doi:10.2174/1385272043370528
Return to citation in text: [1] -
Iserloh, U.; Curran, D. P. Chemtracts 1999, 12, 289–296.
Return to citation in text: [1] -
Dounay, A. B.; Overman, L. E. Chem. Rev. 2003, 103, 2945–2964. doi:10.1021/cr020039h
Return to citation in text: [1] -
Guiry, P. J.; Hennessy, A. J.; Cahill, J. P. Top. Catal. 1997, 4, 311–326. doi:10.1023/A:1019121113063
Return to citation in text: [1] -
Steven, A.; Overman, L. E. Angew. Chem., Int. Ed. 2007, 46, 5488–5508. doi:10.1002/anie.200700612
Return to citation in text: [1] -
Liu, S.; Zhou, J. Chem. Commun. 2013, 49, 11758–11760. doi:10.1039/c3cc47551d
Return to citation in text: [1] -
Hu, J.; Lu, Y.; Li, Y.; Zhou, J. Chem. Commun. 2013, 49, 9425–9427. doi:10.1039/c3cc45233f
Return to citation in text: [1] -
Mei, T.-S.; Werner, E. W.; Burckle, A. J.; Sigman, M. S. J. Am. Chem. Soc. 2013, 135, 6830–6833. doi:10.1021/ja402916z
Return to citation in text: [1] -
Yang, Z.; Zhou, J. J. Am. Chem. Soc. 2012, 134, 11833–11835. doi:10.1021/ja304099j
Return to citation in text: [1] -
Yasui, Y.; Takeda, H.; Takemoto, Y. Chem. Pharm. Bull. 2008, 56, 1567–1574. doi:10.1248/cpb.56.1567
Return to citation in text: [1] -
Dounay, A. B.; Humphreys, P. G.; Overman, L. E.; Wrobleski, A. D. J. Am. Chem. Soc. 2008, 130, 5368–5377. doi:10.1021/ja800163v
Return to citation in text: [1] -
Shibasaki, M.; Vogl, E. M.; Ohshima, T. Adv. Synth. Catal. 2004, 346, 1533–1552. doi:10.1002/adsc.200404203
Return to citation in text: [1] [2] [3] -
Ozawa, F.; Kubo, A.; Hayashi, T. J. Am. Chem. Soc. 1991, 113, 1417–1419. doi:10.1021/ja00004a056
Return to citation in text: [1] [2] [3] [4] -
Ozawa, F.; Kobatake, Y.; Hayashi, T. Tetrahedron Lett. 1993, 34, 2505–2508. doi:10.1016/S0040-4039(00)60453-7
Return to citation in text: [1] -
Ozawa, F.; Hayashi, T. J. Organomet. Chem. 1992, 428, 267–277. doi:10.1016/0022-328X(92)83236-B
Return to citation in text: [1] -
Hopkins, J. M.; Gorobets, E.; Wheatley, B. M. M.; Pravez, M.; Keay, B. A. Synlett 2006, 3120–3124. doi:10.1055/s-2006-950404
Return to citation in text: [1] -
Wöste, T. H.; Oestreich, M. Chem.–Eur. J. 2011, 17, 11914–11918. doi:10.1002/chem.201101695
Return to citation in text: [1] -
Shimizu, H.; Nagasaki, I.; Saito, T. Tetrahedron 2005, 61, 5405–5432. doi:10.1016/j.tet.2005.03.022
Return to citation in text: [1] -
Selvakumar, K.; Valentini, M.; Pregosin, P. S.; Albinati, A.; Eisenträger, F. Organometallics 2000, 19, 1299–1307. doi:10.1021/om990892f
Return to citation in text: [1] -
Tschoerner, M.; Pregosin, P. S.; Albinati, A. Organometallics 1999, 18, 670–678. doi:10.1021/om980783l
Return to citation in text: [1] -
Trabesinger, G.; Albinati, A.; Feiken, N.; Kunz, R. W.; Pregosin, P. S.; Tschoerner, M. J. Am. Chem. Soc. 1997, 119, 6315–6323. doi:10.1021/ja964406g
Return to citation in text: [1] -
Siutkowski, M.; Mercier, F.; Ricard, L.; Mathey, F. Organometallics 2006, 25, 2585–2589. doi:10.1021/om060118+
Return to citation in text: [1] -
Gibson, S. E.; Ibrahim, H.; Pasquier, C.; Swamy, V. M. Tetrahedron: Asymmetry 2003, 14, 1455–1458. doi:10.1016/S0957-4166(03)00204-0
Return to citation in text: [1] -
Gibson, S. E.; Ibrahim, H.; Pasquier, C.; Swamy, V. M. Tetrahedron: Asymmetry 2004, 15, 465–473. doi:10.1016/j.tetasy.2003.11.014
Return to citation in text: [1] -
Tietze, L. F.; Thede, K.; Schimpf, R.; Sannicolò, F. Chem. Commun. 2000, 583–584. doi:10.1039/a909689b
Return to citation in text: [1] -
Benincori, T.; Piccolo, O.; Rizzo, S.; Sannicolò, F. J. Org. Chem. 2000, 65, 8340–8347. doi:10.1021/jo001207d
Return to citation in text: [1] -
Tietze, L. F.; Thede, K. Chem. Commun. 1999, 1811–1812. doi:10.1039/a905309c
Return to citation in text: [1] [2] -
Tietze, L. F.; Thede, K. Synlett 2000, 1470–1472. doi:10.1055/s-2000-7628
Return to citation in text: [1] -
Gorobets, E.; Sun, G.-R.; Wheatley, B. M. M.; Parvez, M.; Keay, B. A. Tetrahedron Lett. 2004, 45, 3597–3601. doi:10.1016/j.tetlet.2004.03.073
Return to citation in text: [1] -
Andersen, N. G.; McDonald, R.; Keay, B. A. Tetrahedron: Asymmetry 2001, 12, 263–269. doi:10.1016/S0957-4166(01)00035-0
Return to citation in text: [1] -
Andersen, N. G.; Parvez, M.; Keay, B. A. Org. Lett. 2000, 2, 2817–2820. doi:10.1021/ol006238+
Return to citation in text: [1] -
Au-Yeung, T. T.-L.; Chan, A. S. C. Coord. Chem. Rev. 2004, 248, 2151–2164. doi:10.1016/j.ccr.2004.08.026
Return to citation in text: [1] -
Mellah, M.; Voituriez, A.; Schulz, E. Chem. Rev. 2007, 107, 5133–5209. doi:10.1021/cr068440h
Return to citation in text: [1] -
Kang, J.; Lee, J. H.; Im, K. S. J. Mol. Catal. A 2003, 196, 55–63. doi:10.1016/S1381-1169(02)00634-9
Return to citation in text: [1] -
Dai, W.-M.; Yeung, K. K. Y.; Wang, Y. Tetrahedron 2004, 60, 4425–4430. doi:10.1016/j.tet.2004.02.062
Return to citation in text: [1] -
Dodd, D. W.; Toews, H. E.; Carneiro, F. d. S.; Jennings, M. C.; Jones, N. D. Inorg. Chim. Acta 2006, 359, 2850–2858. doi:10.1016/j.ica.2005.11.025
Return to citation in text: [1] -
Yoo, K. S.; Park, C. P.; Yoon, C. H.; Sakaguchi, S.; O'Neill, J.; Jung, K. W. Org. Lett. 2007, 9, 3933–3935. doi:10.1021/ol701584f
Return to citation in text: [1] -
Kündig, E. P.; Meier, P. Helv. Chim. Acta 1999, 82, 1360–1370. doi:10.1002/(SICI)1522-2675(19990908)82:9<1360::AID-HLCA1360>3.3.CO;2-M
Return to citation in text: [1] -
Malkov, A. V.; Bella, M.; Stará, I. G.; Kočovský, P. Tetrahedron Lett. 2001, 42, 3045–3048. doi:10.1016/S0040-4039(01)00369-0
Return to citation in text: [1] -
Fitzpatrick, M. O.; Muller-Bunz, H.; Guiry, P. J. Eur. J. Org. Chem. 2009, 1889–1895. doi:10.1002/ejoc.200800761
Return to citation in text: [1] -
Henriksen, S. T.; Norrby, P.-O.; Kaukoranta, P.; Andersson, P. G. J. Am. Chem. Soc. 2008, 130, 10414–10421. doi:10.1021/ja802991y
Return to citation in text: [1] -
Chelucci, G.; Orrù, G.; Pinna, G. A. Tetrahedron 2003, 59, 9471–9515. doi:10.1016/j.tet.2003.09.066
Return to citation in text: [1] [2] -
Liu, D.; Dai, Q.; Zhang, X. Tetrahedron 2005, 61, 6460–6471. doi:10.1016/j.tet.2005.03.111
Return to citation in text: [1] [2] -
Mata, Y.; Diéguez, M.; Pàmies, O.; Claver, C. Org. Lett. 2005, 7, 5597–5599. doi:10.1021/ol052176h
Return to citation in text: [1] [2] [3] -
Mata, Y.; Pàmies, O.; Diéguez, M. Chem.–Eur. J. 2007, 13, 3296–3304. doi:10.1002/chem.200601714
Return to citation in text: [1] [2] [3] -
Drury, W. J., III; Zimmerman, N.; Keenan, M.; Hayashi, M.; Kaiser, S.; Goddard, R.; Pfaltz, A. Angew. Chem., Int. Ed. 2004, 43, 70–74. doi:10.1002/anie.200352755
Return to citation in text: [1] [2] -
Kilroy, T. G.; Cozzi, P. G.; End, N.; Guiry, P. J. Synthesis 2004, 1879–1888. doi:10.1055/s-2004-829168
Return to citation in text: [1] [2] -
Hashimoto, Y.; Horie, Y.; Hayashi, M.; Saigo, K. Tetrahedron: Asymmetry 2000, 11, 2205–2210. doi:10.1016/S0957-4166(00)00157-9
Return to citation in text: [1] [2] -
Gilbertson, S. R.; Xie, D.; Fu, Z. J. Org. Chem. 2001, 66, 7240–7246. doi:10.1021/jo0158231
Return to citation in text: [1] [2] -
Loiseleur, O.; Hayashi, M.; Schmees, N.; Pfaltz, A. Synthesis 1997, 1338–1345. doi:10.1055/s-1997-1341
Return to citation in text: [1] -
Loiseleur, O.; Meier, P.; Pfaltz, A. Angew. Chem., Int. Ed. 1996, 35, 200–202. doi:10.1002/anie.199602001
Return to citation in text: [1] [2] -
Tu, T.; Deng, W.-P.; Hou, X.-L.; Dai, L.-X.; Dong, X.-C. Chem.–Eur. J. 2003, 9, 3073–3081. doi:10.1002/chem.200204450
Return to citation in text: [1] -
Dai, L.-X.; Tu, T.; You, S.-L.; Deng, W.-P.; Hou, X.-L. Acc. Chem. Res. 2003, 36, 659–667. doi:10.1021/ar020153m
Return to citation in text: [1] [2] -
Hennessy, A. J.; Conolly, D. J.; Malone, Y. M.; Guiry, P. J. Tetrahedron Lett. 2000, 41, 7757–7761. doi:10.1016/S0040-4039(00)01325-3
Return to citation in text: [1] [2] -
Kilroy, T. G.; Hennessy, A. J.; Conolly, D. J.; Malone, Y. M.; Farrell, A.; Guiry, P. J. J. Mol. Catal. A 2003, 196, 65–81. doi:10.1016/S1381-1169(02)00635-0
Return to citation in text: [1] -
Gilbertson, S. R.; Fu, Z. Org. Lett. 2001, 3, 161–164. doi:10.1021/ol006747b
Return to citation in text: [1] [2] -
Molander, G. A.; Burke, J. P.; Carrol, P. J. J. Org. Chem. 2004, 69, 8062–8069. doi:10.1021/jo048782s
Return to citation in text: [1] -
Aviron-Violet, P.; Colleuille, Y.; Varagnat, J. J. Mol. Catal. 1979, 5, 41–50. doi:10.1016/0304-5102(79)80080-2
Return to citation in text: [1] -
Okada, Y.; Minami, T.; Yamamoto, T.; Ichikawa, J. Chem. Lett. 1992, 21, 547–550. doi:10.1246/cl.1992.547
Return to citation in text: [1] -
Khlebnikov, A. F.; Kozhushkov, S. I.; Yufit, D. S.; Schill, H.; Reggelin, M.; Spohr, V.; de Meijere, A. Eur. J. Org. Chem. 2012, 1530–1545. doi:10.1002/ejoc.201101715
Return to citation in text: [1] -
Rubina, M.; Sherrill, W. M.; Rubin, M. Organometallics 2008, 27, 6393–6395. doi:10.1021/om801051d
Return to citation in text: [1] [2] [3] [4] [5] [6] [7] [8] -
Baird, M. S.; Licence, P.; Tverezovsky, V. V.; Bolesov, I. G.; Clegg, W. Tetrahedron 1999, 55, 2773–2784. doi:10.1016/S0040-4020(99)00048-4
Return to citation in text: [1] -
Mawo, R. Y.; Johnson, D. M.; Wood, J. L.; Smoliakova, I. P. J. Organomet. Chem. 2008, 693, 33–45. doi:10.1016/j.jorganchem.2007.10.011
Return to citation in text: [1] -
Lee, H. M.; Lu, C. Y.; Chen, C. Y.; Chen, W. L.; Lin, H. C.; Chiu, P. L.; Cheng, P. Y. Tetrahedron 2004, 60, 5807–5825. doi:10.1016/j.tet.2004.04.070
Return to citation in text: [1] -
Benito, M.; López, C.; Morvan, X. Polyhedron 1999, 18, 2583–2595. doi:10.1016/S0277-5387(99)00163-1
Return to citation in text: [1] -
Slawin, A. M. Z.; Smith, M. B.; Woollins, J. D. Polyhedron 1998, 17, 4465–4473. doi:10.1016/S0277-5387(98)00253-8
Return to citation in text: [1] -
Lee, S.; Lim, C. W.; Song, C. E.; Kim, K. M.; Jun, C. H. J. Org. Chem. 1999, 64, 4445–4451. doi:10.1021/jo990126i
Return to citation in text: [1] -
Togni, A.; Burckhardt, U.; Gramlich, V.; Pregosin, P. S.; Salzmann, R. J. Am. Chem. Soc. 1996, 118, 1031–1037. doi:10.1021/ja953031g
Return to citation in text: [1] -
von Matt, P.; Pfaltz, A. Angew. Chem., Int. Ed. Engl. 1993, 32, 566–568. doi:10.1002/anie.199305661
Return to citation in text: [1]
| 54. | Loiseleur, O.; Meier, P.; Pfaltz, A. Angew. Chem., Int. Ed. 1996, 35, 200–202. doi:10.1002/anie.199602001 |
| 57. | Hennessy, A. J.; Conolly, D. J.; Malone, Y. M.; Guiry, P. J. Tetrahedron Lett. 2000, 41, 7757–7761. doi:10.1016/S0040-4039(00)01325-3 |
| 59. | Gilbertson, S. R.; Fu, Z. Org. Lett. 2001, 3, 161–164. doi:10.1021/ol006747b |
| 66. | Mawo, R. Y.; Johnson, D. M.; Wood, J. L.; Smoliakova, I. P. J. Organomet. Chem. 2008, 693, 33–45. doi:10.1016/j.jorganchem.2007.10.011 |
| 67. | Lee, H. M.; Lu, C. Y.; Chen, C. Y.; Chen, W. L.; Lin, H. C.; Chiu, P. L.; Cheng, P. Y. Tetrahedron 2004, 60, 5807–5825. doi:10.1016/j.tet.2004.04.070 |
| 68. | Benito, M.; López, C.; Morvan, X. Polyhedron 1999, 18, 2583–2595. doi:10.1016/S0277-5387(99)00163-1 |
| 69. | Slawin, A. M. Z.; Smith, M. B.; Woollins, J. D. Polyhedron 1998, 17, 4465–4473. doi:10.1016/S0277-5387(98)00253-8 |
| 70. | Lee, S.; Lim, C. W.; Song, C. E.; Kim, K. M.; Jun, C. H. J. Org. Chem. 1999, 64, 4445–4451. doi:10.1021/jo990126i |
| 71. | Togni, A.; Burckhardt, U.; Gramlich, V.; Pregosin, P. S.; Salzmann, R. J. Am. Chem. Soc. 1996, 118, 1031–1037. doi:10.1021/ja953031g |
| 72. | von Matt, P.; Pfaltz, A. Angew. Chem., Int. Ed. Engl. 1993, 32, 566–568. doi:10.1002/anie.199305661 |
| 1. | Sato, Y.; Sodeoka, M.; Shibasaki, M. J. Org. Chem. 1989, 54, 4738–4739. doi:10.1021/jo00281a007 |
| 2. | Carpenter, N. E.; Kucera, D. J.; Overman, L. E. J. Org. Chem. 1989, 54, 5846–5848. doi:10.1021/jo00286a009 |
| 16. | Ozawa, F.; Kubo, A.; Hayashi, T. J. Am. Chem. Soc. 1991, 113, 1417–1419. doi:10.1021/ja00004a056 |
| 38. | Dai, W.-M.; Yeung, K. K. Y.; Wang, Y. Tetrahedron 2004, 60, 4425–4430. doi:10.1016/j.tet.2004.02.062 |
| 64. | Rubina, M.; Sherrill, W. M.; Rubin, M. Organometallics 2008, 27, 6393–6395. doi:10.1021/om801051d |
| 15. | Shibasaki, M.; Vogl, E. M.; Ohshima, T. Adv. Synth. Catal. 2004, 346, 1533–1552. doi:10.1002/adsc.200404203 |
| 39. | Dodd, D. W.; Toews, H. E.; Carneiro, F. d. S.; Jennings, M. C.; Jones, N. D. Inorg. Chim. Acta 2006, 359, 2850–2858. doi:10.1016/j.ica.2005.11.025 |
| 40. | Yoo, K. S.; Park, C. P.; Yoon, C. H.; Sakaguchi, S.; O'Neill, J.; Jung, K. W. Org. Lett. 2007, 9, 3933–3935. doi:10.1021/ol701584f |
| 56. | Dai, L.-X.; Tu, T.; You, S.-L.; Deng, W.-P.; Hou, X.-L. Acc. Chem. Res. 2003, 36, 659–667. doi:10.1021/ar020153m |
| 6. | Dounay, A. B.; Overman, L. E. Chem. Rev. 2003, 103, 2945–2964. doi:10.1021/cr020039h |
| 7. | Guiry, P. J.; Hennessy, A. J.; Cahill, J. P. Top. Catal. 1997, 4, 311–326. doi:10.1023/A:1019121113063 |
| 8. | Steven, A.; Overman, L. E. Angew. Chem., Int. Ed. 2007, 46, 5488–5508. doi:10.1002/anie.200700612 |
| 9. | Liu, S.; Zhou, J. Chem. Commun. 2013, 49, 11758–11760. doi:10.1039/c3cc47551d |
| 10. | Hu, J.; Lu, Y.; Li, Y.; Zhou, J. Chem. Commun. 2013, 49, 9425–9427. doi:10.1039/c3cc45233f |
| 11. | Mei, T.-S.; Werner, E. W.; Burckle, A. J.; Sigman, M. S. J. Am. Chem. Soc. 2013, 135, 6830–6833. doi:10.1021/ja402916z |
| 12. | Yang, Z.; Zhou, J. J. Am. Chem. Soc. 2012, 134, 11833–11835. doi:10.1021/ja304099j |
| 13. | Yasui, Y.; Takeda, H.; Takemoto, Y. Chem. Pharm. Bull. 2008, 56, 1567–1574. doi:10.1248/cpb.56.1567 |
| 14. | Dounay, A. B.; Humphreys, P. G.; Overman, L. E.; Wrobleski, A. D. J. Am. Chem. Soc. 2008, 130, 5368–5377. doi:10.1021/ja800163v |
| 30. | Tietze, L. F.; Thede, K. Chem. Commun. 1999, 1811–1812. doi:10.1039/a905309c |
| 35. | Au-Yeung, T. T.-L.; Chan, A. S. C. Coord. Chem. Rev. 2004, 248, 2151–2164. doi:10.1016/j.ccr.2004.08.026 |
| 64. | Rubina, M.; Sherrill, W. M.; Rubin, M. Organometallics 2008, 27, 6393–6395. doi:10.1021/om801051d |
| 3. | Oestreich, M. Eur. J. Org. Chem. 2005, 783–792. doi:10.1002/ejoc.200400711 |
| 4. | Guiry, P. J.; Kiely, D. Curr. Org. Chem. 2004, 8, 781–794. doi:10.2174/1385272043370528 |
| 5. | Iserloh, U.; Curran, D. P. Chemtracts 1999, 12, 289–296. |
| 36. | Mellah, M.; Voituriez, A.; Schulz, E. Chem. Rev. 2007, 107, 5133–5209. doi:10.1021/cr068440h |
| 37. | Kang, J.; Lee, J. H.; Im, K. S. J. Mol. Catal. A 2003, 196, 55–63. doi:10.1016/S1381-1169(02)00634-9 |
| 15. | Shibasaki, M.; Vogl, E. M.; Ohshima, T. Adv. Synth. Catal. 2004, 346, 1533–1552. doi:10.1002/adsc.200404203 |
| 19. | Hopkins, J. M.; Gorobets, E.; Wheatley, B. M. M.; Pravez, M.; Keay, B. A. Synlett 2006, 3120–3124. doi:10.1055/s-2006-950404 |
| 20. | Wöste, T. H.; Oestreich, M. Chem.–Eur. J. 2011, 17, 11914–11918. doi:10.1002/chem.201101695 |
| 28. | Tietze, L. F.; Thede, K.; Schimpf, R.; Sannicolò, F. Chem. Commun. 2000, 583–584. doi:10.1039/a909689b |
| 29. | Benincori, T.; Piccolo, O.; Rizzo, S.; Sannicolò, F. J. Org. Chem. 2000, 65, 8340–8347. doi:10.1021/jo001207d |
| 30. | Tietze, L. F.; Thede, K. Chem. Commun. 1999, 1811–1812. doi:10.1039/a905309c |
| 31. | Tietze, L. F.; Thede, K. Synlett 2000, 1470–1472. doi:10.1055/s-2000-7628 |
| 64. | Rubina, M.; Sherrill, W. M.; Rubin, M. Organometallics 2008, 27, 6393–6395. doi:10.1021/om801051d |
| 16. | Ozawa, F.; Kubo, A.; Hayashi, T. J. Am. Chem. Soc. 1991, 113, 1417–1419. doi:10.1021/ja00004a056 |
| 32. | Gorobets, E.; Sun, G.-R.; Wheatley, B. M. M.; Parvez, M.; Keay, B. A. Tetrahedron Lett. 2004, 45, 3597–3601. doi:10.1016/j.tetlet.2004.03.073 |
| 33. | Andersen, N. G.; McDonald, R.; Keay, B. A. Tetrahedron: Asymmetry 2001, 12, 263–269. doi:10.1016/S0957-4166(01)00035-0 |
| 34. | Andersen, N. G.; Parvez, M.; Keay, B. A. Org. Lett. 2000, 2, 2817–2820. doi:10.1021/ol006238+ |
| 64. | Rubina, M.; Sherrill, W. M.; Rubin, M. Organometallics 2008, 27, 6393–6395. doi:10.1021/om801051d |
| 16. | Ozawa, F.; Kubo, A.; Hayashi, T. J. Am. Chem. Soc. 1991, 113, 1417–1419. doi:10.1021/ja00004a056 |
| 64. | Rubina, M.; Sherrill, W. M.; Rubin, M. Organometallics 2008, 27, 6393–6395. doi:10.1021/om801051d |
| 16. | Ozawa, F.; Kubo, A.; Hayashi, T. J. Am. Chem. Soc. 1991, 113, 1417–1419. doi:10.1021/ja00004a056 |
| 17. | Ozawa, F.; Kobatake, Y.; Hayashi, T. Tetrahedron Lett. 1993, 34, 2505–2508. doi:10.1016/S0040-4039(00)60453-7 |
| 18. | Ozawa, F.; Hayashi, T. J. Organomet. Chem. 1992, 428, 267–277. doi:10.1016/0022-328X(92)83236-B |
| 21. | Shimizu, H.; Nagasaki, I.; Saito, T. Tetrahedron 2005, 61, 5405–5432. doi:10.1016/j.tet.2005.03.022 |
| 22. | Selvakumar, K.; Valentini, M.; Pregosin, P. S.; Albinati, A.; Eisenträger, F. Organometallics 2000, 19, 1299–1307. doi:10.1021/om990892f |
| 23. | Tschoerner, M.; Pregosin, P. S.; Albinati, A. Organometallics 1999, 18, 670–678. doi:10.1021/om980783l |
| 24. | Trabesinger, G.; Albinati, A.; Feiken, N.; Kunz, R. W.; Pregosin, P. S.; Tschoerner, M. J. Am. Chem. Soc. 1997, 119, 6315–6323. doi:10.1021/ja964406g |
| 25. | Siutkowski, M.; Mercier, F.; Ricard, L.; Mathey, F. Organometallics 2006, 25, 2585–2589. doi:10.1021/om060118+ |
| 26. | Gibson, S. E.; Ibrahim, H.; Pasquier, C.; Swamy, V. M. Tetrahedron: Asymmetry 2003, 14, 1455–1458. doi:10.1016/S0957-4166(03)00204-0 |
| 27. | Gibson, S. E.; Ibrahim, H.; Pasquier, C.; Swamy, V. M. Tetrahedron: Asymmetry 2004, 15, 465–473. doi:10.1016/j.tetasy.2003.11.014 |
| 64. | Rubina, M.; Sherrill, W. M.; Rubin, M. Organometallics 2008, 27, 6393–6395. doi:10.1021/om801051d |
| 53. | Loiseleur, O.; Hayashi, M.; Schmees, N.; Pfaltz, A. Synthesis 1997, 1338–1345. doi:10.1055/s-1997-1341 |
| 54. | Loiseleur, O.; Meier, P.; Pfaltz, A. Angew. Chem., Int. Ed. 1996, 35, 200–202. doi:10.1002/anie.199602001 |
| 15. | Shibasaki, M.; Vogl, E. M.; Ohshima, T. Adv. Synth. Catal. 2004, 346, 1533–1552. doi:10.1002/adsc.200404203 |
| 41. | Kündig, E. P.; Meier, P. Helv. Chim. Acta 1999, 82, 1360–1370. doi:10.1002/(SICI)1522-2675(19990908)82:9<1360::AID-HLCA1360>3.3.CO;2-M |
| 42. | Malkov, A. V.; Bella, M.; Stará, I. G.; Kočovský, P. Tetrahedron Lett. 2001, 42, 3045–3048. doi:10.1016/S0040-4039(01)00369-0 |
| 43. | Fitzpatrick, M. O.; Muller-Bunz, H.; Guiry, P. J. Eur. J. Org. Chem. 2009, 1889–1895. doi:10.1002/ejoc.200800761 |
| 44. | Henriksen, S. T.; Norrby, P.-O.; Kaukoranta, P.; Andersson, P. G. J. Am. Chem. Soc. 2008, 130, 10414–10421. doi:10.1021/ja802991y |
| 64. | Rubina, M.; Sherrill, W. M.; Rubin, M. Organometallics 2008, 27, 6393–6395. doi:10.1021/om801051d |
| 45. | Chelucci, G.; Orrù, G.; Pinna, G. A. Tetrahedron 2003, 59, 9471–9515. doi:10.1016/j.tet.2003.09.066 |
| 46. | Liu, D.; Dai, Q.; Zhang, X. Tetrahedron 2005, 61, 6460–6471. doi:10.1016/j.tet.2005.03.111 |
| 47. | Mata, Y.; Diéguez, M.; Pàmies, O.; Claver, C. Org. Lett. 2005, 7, 5597–5599. doi:10.1021/ol052176h |
| 48. | Mata, Y.; Pàmies, O.; Diéguez, M. Chem.–Eur. J. 2007, 13, 3296–3304. doi:10.1002/chem.200601714 |
| 49. | Drury, W. J., III; Zimmerman, N.; Keenan, M.; Hayashi, M.; Kaiser, S.; Goddard, R.; Pfaltz, A. Angew. Chem., Int. Ed. 2004, 43, 70–74. doi:10.1002/anie.200352755 |
| 50. | Kilroy, T. G.; Cozzi, P. G.; End, N.; Guiry, P. J. Synthesis 2004, 1879–1888. doi:10.1055/s-2004-829168 |
| 51. | Hashimoto, Y.; Horie, Y.; Hayashi, M.; Saigo, K. Tetrahedron: Asymmetry 2000, 11, 2205–2210. doi:10.1016/S0957-4166(00)00157-9 |
| 52. | Gilbertson, S. R.; Xie, D.; Fu, Z. J. Org. Chem. 2001, 66, 7240–7246. doi:10.1021/jo0158231 |
| 64. | Rubina, M.; Sherrill, W. M.; Rubin, M. Organometallics 2008, 27, 6393–6395. doi:10.1021/om801051d |
| 65. | Baird, M. S.; Licence, P.; Tverezovsky, V. V.; Bolesov, I. G.; Clegg, W. Tetrahedron 1999, 55, 2773–2784. doi:10.1016/S0040-4020(99)00048-4 |
| 47. | Mata, Y.; Diéguez, M.; Pàmies, O.; Claver, C. Org. Lett. 2005, 7, 5597–5599. doi:10.1021/ol052176h |
| 48. | Mata, Y.; Pàmies, O.; Diéguez, M. Chem.–Eur. J. 2007, 13, 3296–3304. doi:10.1002/chem.200601714 |
| 60. | Molander, G. A.; Burke, J. P.; Carrol, P. J. J. Org. Chem. 2004, 69, 8062–8069. doi:10.1021/jo048782s |
| 61. | Aviron-Violet, P.; Colleuille, Y.; Varagnat, J. J. Mol. Catal. 1979, 5, 41–50. doi:10.1016/0304-5102(79)80080-2 |
| 62. | Okada, Y.; Minami, T.; Yamamoto, T.; Ichikawa, J. Chem. Lett. 1992, 21, 547–550. doi:10.1246/cl.1992.547 |
| 63. | Khlebnikov, A. F.; Kozhushkov, S. I.; Yufit, D. S.; Schill, H.; Reggelin, M.; Spohr, V.; de Meijere, A. Eur. J. Org. Chem. 2012, 1530–1545. doi:10.1002/ejoc.201101715 |
| 57. | Hennessy, A. J.; Conolly, D. J.; Malone, Y. M.; Guiry, P. J. Tetrahedron Lett. 2000, 41, 7757–7761. doi:10.1016/S0040-4039(00)01325-3 |
| 58. | Kilroy, T. G.; Hennessy, A. J.; Conolly, D. J.; Malone, Y. M.; Farrell, A.; Guiry, P. J. J. Mol. Catal. A 2003, 196, 65–81. doi:10.1016/S1381-1169(02)00635-0 |
| 45. | Chelucci, G.; Orrù, G.; Pinna, G. A. Tetrahedron 2003, 59, 9471–9515. doi:10.1016/j.tet.2003.09.066 |
| 46. | Liu, D.; Dai, Q.; Zhang, X. Tetrahedron 2005, 61, 6460–6471. doi:10.1016/j.tet.2005.03.111 |
| 47. | Mata, Y.; Diéguez, M.; Pàmies, O.; Claver, C. Org. Lett. 2005, 7, 5597–5599. doi:10.1021/ol052176h |
| 48. | Mata, Y.; Pàmies, O.; Diéguez, M. Chem.–Eur. J. 2007, 13, 3296–3304. doi:10.1002/chem.200601714 |
| 49. | Drury, W. J., III; Zimmerman, N.; Keenan, M.; Hayashi, M.; Kaiser, S.; Goddard, R.; Pfaltz, A. Angew. Chem., Int. Ed. 2004, 43, 70–74. doi:10.1002/anie.200352755 |
| 50. | Kilroy, T. G.; Cozzi, P. G.; End, N.; Guiry, P. J. Synthesis 2004, 1879–1888. doi:10.1055/s-2004-829168 |
| 51. | Hashimoto, Y.; Horie, Y.; Hayashi, M.; Saigo, K. Tetrahedron: Asymmetry 2000, 11, 2205–2210. doi:10.1016/S0957-4166(00)00157-9 |
| 52. | Gilbertson, S. R.; Xie, D.; Fu, Z. J. Org. Chem. 2001, 66, 7240–7246. doi:10.1021/jo0158231 |
| 55. | Tu, T.; Deng, W.-P.; Hou, X.-L.; Dai, L.-X.; Dong, X.-C. Chem.–Eur. J. 2003, 9, 3073–3081. doi:10.1002/chem.200204450 |
| 56. | Dai, L.-X.; Tu, T.; You, S.-L.; Deng, W.-P.; Hou, X.-L. Acc. Chem. Res. 2003, 36, 659–667. doi:10.1021/ar020153m |
© 2014 Rubina et al; licensee Beilstein-Institut.
This is an Open Access article under the terms of the Creative Commons Attribution License (http://creativecommons.org/licenses/by/2.0), which permits unrestricted use, distribution, and reproduction in any medium, provided the original work is properly cited.
The license is subject to the Beilstein Journal of Organic Chemistry terms and conditions: (http://www.beilstein-journals.org/bjoc)